Jump to content

Προτεινόμενες αναρτήσεις

Δημοσιεύτηκε

:D Στις 3 Δεκεμβρίου δόθηκε στους αστρονόμους το Early Data Release3 (EDR3), μία πρώτη έκδοση του τρίτου καταλόγου δεδομένων. Περιλαμβάνει τις θέσεις 1,8 δις ουράνιων αντικειμένων, βασικά αστεριών του Γαλαξία μας, και ιδίες ταχύτητες και αποστάσεις 1,5 δις αντικειμένων.

Μερικά από τα βασικά σημεία είναι

.Η ακρίβεια των θέσεων των αστέρων. Για αστέρια μέχρι λαμπρότητα 13 mag η ακρίβεια αντιστοιχεί σε περιθώριο σφάλματος 7 εκατοστών για ένα αντικείμενο στην απόσταση της Σελήνης, και για αστέρια 20 mag αντίστοιχα στα 2 μέτρα σφάλμα. Παρόμοια ακρίβεια υπάρχει και στις μετρήσεις των ιδίων κινήσεων των αστεριών. Επίσης το GAIA πετυχαίνει μεγάλη ακρίβεια στην μέτρηση της λαμπρότητας των αντικειμένων.

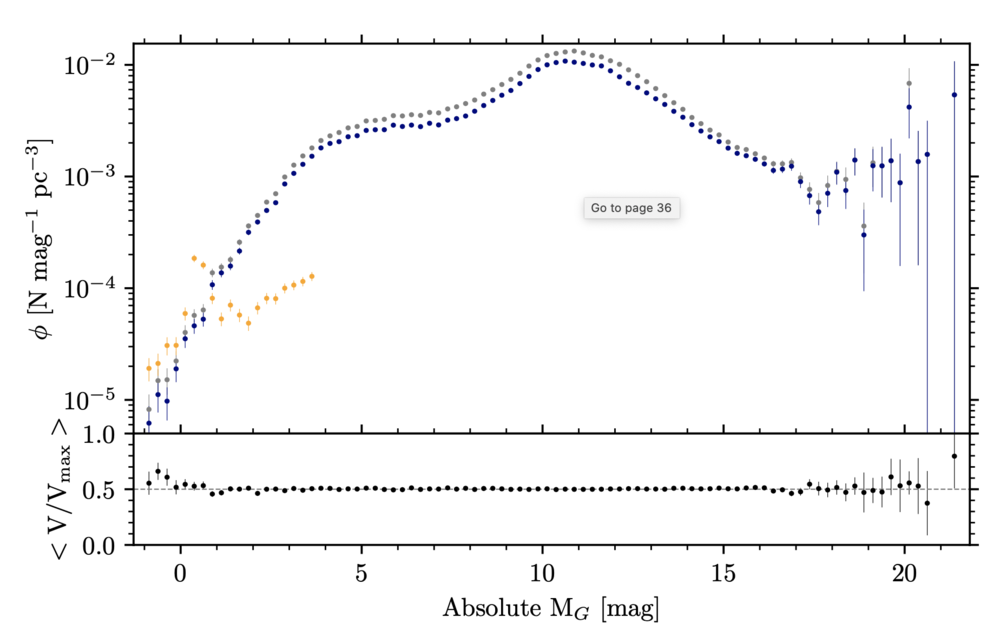
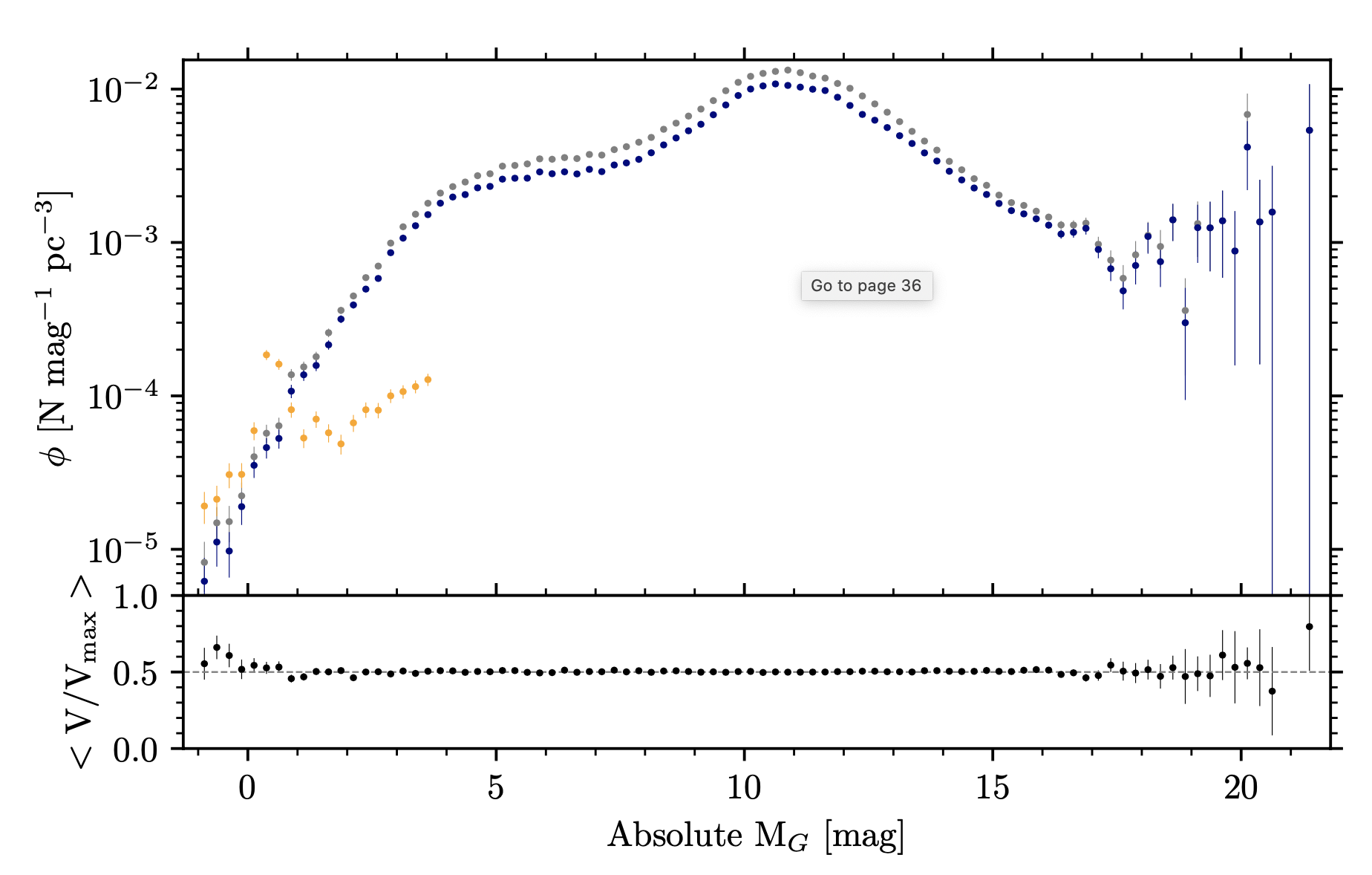
.Γνωρίζουμε 330.000 αστέρια, ως την φασματική κατηγορία L5 (επιφανειακή θερμοκρασία του αστέρα μόλις 1600 Κ) σε απόσταση μέχρι 330 έτη φωτός (Gaia Catalogue of Nearby Stars, GCNS).Το πλήθος των αστεριών αυξάνεται αντίστροφα με την λαμπρότητά τους, με κορύφωση στα αστέρια με 10 mag.

.Ο ήλιος μας κινείται σε τροχιά γύρω από το κέντρο του Γαλαξία, αλλά και προς το κέντρο του Γαλαξία (απόκλιση από μια θεωρητική κυκλική τροχιά γύρω από το γαλαξιακό κέντρο 11 km/s).

.Πριν από 10 δις έτη ο Γαλαξίας μας συγκρούστηκε με έναν γαλαξία που είχε το 1/4 της μάζας του (Gaia-Enceladus Galaxy). Τότε σχηματίστηκαν ο παχύς δίσκος και η εσωτερική γαλαξιακή άλως (μία <σφαιρική> δομή γύρω από το γαλαξιακό κέντρο, που προεξέχει από το γαλαξιακό επίπεδο).

.Από τα δεδομένα 11 εκατομμυρίων αστεριών των Μαγγελανικών νεφών προκύπτει ότι και σε αυτά ,όπως και στον Γαλαξία μας, τα νεαρά αστέρια έχουν μεγαλύτερες ταχύτητες από τα παλαιότερα. Ξεχωρίζει το ρεύμα αστεριών από το μικρό στο μεγάλο Μαγγελανικό νέφος. Τα αστέρια του μεγάλου Μαγγελανικού νέφους κινούνται κατά τη φορά του ρολογιού γύρω από το κέντρο του νάνου γαλαξία, ενώ στο μικρό δεν κυριαρχεί καμία κατεύθυνση περιφοράς των αστεριών γύρω από το κέντρο.

GCNS_LuminosityFunction.thumb.png.a27d8dafdd2207149b9e6e548ca41afc.png

Η αστρονομια μας βοηθαει να κοιταμε ψηλα. www.astrotheory.gr :D

Δημιουργήστε έναν λογαριασμό ή συνδεθείτε για να σχολιάσετε

Πρέπει να είσαι μέλος για να αφήσεις ένα σχόλιο

Δημιουργία λογαριασμού

Εγγραφείτε για έναν νέο λογαριασμό στην κοινότητά μας. Είναι εύκολο!.

Εγγραφή νέου λογαριασμού

Συνδεθείτε

Έχετε ήδη λογαριασμό? Συνδεθείτε εδώ.

Συνδεθείτε τώρα
×
×
  • Δημιουργία νέου...

Σημαντικές πληροφορίες

Όροι χρήσης