Δροσος Γεωργιος Δημοσιεύτηκε Ιούλιος 3, 2024 Δημοσιεύτηκε Ιούλιος 3, 2024 Κοσμική προσομοίωση αποκαλύπτει πώς μεγαλώνουν και εξελίσσονται οι μαύρες τρύπες Εικόνα από την προσομοίωση δείχνει μια υπερμαζική μαύρη τρύπα ή κβάζαρ, που περιβάλλεται από έναν στροβιλιζόμενο δίσκο υλικού που ονομάζεται δίσκος προσαύξησης.Μια ομάδα αστροφυσικών με επικεφαλής τον Phil Hopkins του Caltech κατάφερε για πρώτη φορά να προσομοιώσει την εξέλιξη του αρχέγονου αερίου που προέκυψε από το πρώιμο σύμπαν, μέχρι το στάδιο όπου παρασύρεται προς τον σχηματισμό ενός δίσκου ύλης που τροφοδοτεί μια υπερμαζική μαύρη τρύπα. Η νέα προσομοίωση σε υπολογιστή ανατρέπει τις ιδέες των αστρονόμων που κυριαρχούσαν από τη δεκαετία του 1970 και ανοίγει το δρόμο για νέες ανακαλύψεις σχετικά με το πώς μεγαλώνουν και εξελίσσονται οι μαύρες τρύπες και οι γαλαξίες.Στο βίντεο που ακολουθεί ο Phil Hopkins μας εξηγεί πως πραγματοποιήθηκε η οπτικοποίηση της δραστηριότητα γύρω από υπερμαζικές μαύρες τρύπες: Στο επόμενο βίντεο γίνεται διείσδυση στο χάος συγχωνευόμενων γαλαξιών, αστιάζοντας τελικά σε μια ενεργή υπερμαζική μαύρη τρύπα ή κβάζαρ, που περιβάλλεται από έναν στροβιλιζόμενο δίσκο υλικού – τον επονομαζόμενο δίσκο προσαύξησης. Σ’ αυτή τη προσομοίωση, η οποία αντιστοιχεί σε μια χρονική στιγμή, η κλίμακα μεγεθύνεται κατά ένα δισεκατομμύριο. Τα χρώματα δείχνουν την πυκνότητα του αερίου, με τα φωτεινότερα χρώματα να αντιπροσωπεύουν υψηλότερες πυκνότητες: διαβάστε περισσότερα: Cosmic Simulation Reveals How Black Holes Grow and Evolve – https://www.caltech.edu/about/news/cosmic-simulation-reveals-how-black-holes-grow-and-evolve Ο πλανήτης μας ειναι το λίκνο της ανθρωπότητας.Αλλα κανείς δεν περνάει ολη του τη ζωή στο λίκνο. Κονσταντίν Εντουάρντοβιτς Τσιολκόφσκι.
Δροσος Γεωργιος Δημοσιεύτηκε Ιούλιος 11, 2024 Δημοσιεύτηκε Ιούλιος 11, 2024 Εντοπίστηκε μεγάλη μαύρη τρύπα στο γαλαξία μας που ανήκε σε γαλαξία που κατάπιε κυριολεκτικά ο δικός μας. Εντυπωσιακό εύρημα κοσμικού κανιβαλισμου. Αν και ο γαλαξίας μας ανήκει στην κατηγορία των μικρομεσαίων γαλαξιών στο Σύμπαν έχει διαπιστωθεί ότι είναι ένας μοχθηρός… κανίβαλος. Οι επιστήμονες γνώριζαν ότι ο γαλαξίας μας έχει καταφέρει να επιβιώσει από κάποιες συγκρούσεις με γειτονικούς τους γαλαξίες αλλά τα τελευταία χρόνια σειρά μελετών έχουν δείξει ότι ο γαλαξίας μας έχει κερδίσει τουλάχιστον 11 αναμετρήσεις με άλλους γαλαξίες και έχει βγει σε όλες νικητής ακόμη και στις περιπτώσεις που ο αντίπαλος γαλαξίας ήταν μεγαλύτερος σε μέγεθος αν και κατά βάση στις κοσμικές αυτές συγκρούσεις νικητής βγαίνει ο μεγαλύτερος γαλαξίας.Ομάδα αστρονόμων με επικεφαλής επιστήμονες του Ινστιτούτου Αστρονομίας Μαξ Πλανκ στη Γερμανία εντόπισε σε ένα σφαιρωτό σμήνος άστρων του γαλαξία μας την παρουσία μιας άγνωστης μέχρι σήμερα μαύρης τρύπας. Το σμήνος, που ονομάζεται Ωμέγα του Κένταυρου, είναι ένα σφαιρωτό σμήνος που είναι μία πυκνή συγκέντρωση άστρων με σφαιρικό ή σχεδόν σφαιρικό σχήμα, που περιφέρεται γύρω από το κέντρο ενός γαλαξία ως δορυφόρος του. Η μαύρη τρύπα Οι ερευνητές πιστεύουν ότι αυτό το σφαιρωτό σμήνος αποτελεί υπόλειμμα του πυρήνα ενός μικρού γαλαξία τον οποίο… καταβρόχθισε ο δικός μας γαλαξίας πριν από 8 ως 10 δισ. έτη. Οι ερευνητές θεωρούν ότι η ασυνήθιστη κίνηση επτά αστεριών στο σμήνος υποδεικνύει την παρουσία εκεί μιας μαύρης τρύπας που βρίσκεται σε απόσταση περίπου 18 χιλιάδων ετών φωτός από τη Γη και έχει μάζα τουλάχιστον 8,200 φορές μεγαλύτερη από αυτή του Ήλιου.Να σημειωθεί ότι η υπερμεγέθης μαύρη τρύπα που ονομάζεται Τοξότης Α* στο κέντρο του Γαλαξία μας έχει μάζα περίπου 4 εκατομμύρια φορές μεγαλύτερη από τη μάζα του Ήλιου. Οι ερευνητές με δημοσίευση τους στην επιθεώρηση «Nature» πιστεύουν ότι ο γαλαξίας που έπεσε θύμα του δικού μας γαλαξία είχε ίσως μόλις το 10% του μεγέθους του δικού μας γαλαξία. Εκτιμούν ότι αυτή η μαύρη τρύπα που πήρε «λάφυρο» ο γαλαξίας μας αν αφηνόταν αδιατάρακτη θα είχε γίνει υπερμεγέθης αλλά η… αιχμαλωσία της την άφησε παγωμένη στο χρόνο αφού η μαύρη τρύπα επέζησε όχι όμως και η ύλη γύρω από αυτή που θα την τροφοδοτούσε για να αναπτυχθεί. Φωτογραφία του σφαιρωτού σμήνους Ωμεγά του Κενταύρου. Στο κέντρο της εικόνας σημειώνεται η περιοχή που εντοπίστηκε η μαύρη τρύπα. πηγή φωτό. (ESA/Hubble & NASA, M. Haberle (MPIA) https://www.naftemporiki.gr/techscience/1712095/entopistike-megali-mayri-trypa-sto-galaxia-mas-poy-anike-se-galaxia-poy-katapie-kyriolektika-o-dikos-mas/ Ο πλανήτης μας ειναι το λίκνο της ανθρωπότητας.Αλλα κανείς δεν περνάει ολη του τη ζωή στο λίκνο. Κονσταντίν Εντουάρντοβιτς Τσιολκόφσκι.
Δροσος Γεωργιος Δημοσιεύτηκε Ιούλιος 16, 2024 Δημοσιεύτηκε Ιούλιος 16, 2024 Μια σπάνια μαύρη τρύπα στο αστρικό σμήνος Ωμέγα του Κενταύρου. Παρατηρήσεις επτά ταχέως κινούμενων άστρων στο κέντρο ενός πυκνού αστρικού σμήνους στον Γαλαξία μας αποκαλύπτουν την παρουσία μιας μαύρης τρύπας μέσης μάζας, ίσως της πιο αινιγματικής κατηγορίας αυτών των σκοτεινών αντικειμένων.Εικόνα του διαστημικού τηλεσκοπίου Hubble που δείχνει την πιθανή θέση της μαύρης τρύπας ενδιάμεσης μάζας στο αστρικό σμήνος Ωμέγα Κενταύρου.Μια διεθνής ομάδα αστρονόμων χρησιμοποίησε περισσότερες από 500 εικόνες από το διαστημικό τηλεσκόπιο Hubble της NASA/ESA για να ανιχνεύσει επτά άστρα που κινούνται γρήγορα στην εσώτατη περιοχή του σμήνους Ωμέγα του Κενταύρου, του μεγαλύτερου και φωτεινότερου σφαιρικού σμήνους στον ουρανό. Αυτά τα άστρα δίνουν νέα εντυπωσιακά στοιχεία για την παρουσία μιας μαύρης τρύπας ενδιάμεσης μάζας (IMBH=intermediate-mass black hole). Οι μάζες των IMBH κυμαίνονται από 150M☉ έως 105M☉ (M☉= η μάζα του Ήλιου).Η μαύρη τρύπα απέχει από τη Γη 17.000 έτη φωτός, και βρίσκεται πιο κοντά στη Γη από την υπερμαζική μαύρη τρύπα των 4,3 εκατομμυρίων ηλιακών μαζών στο κέντρο του Γαλαξία, που απέχει 26.000 έτη φωτός. Εκτός από το Γαλαξιακό κέντρο, είναι επίσης η μόνη γνωστή περίπτωση που αρκετά άστρα είναι στενά συνδεδεμένα με μια τεράστια μαύρη τρύπα. (α) Η πρώτη εικόνα δείχνει το αστρικό σμήνος Ωμέγα του Κενταύρου, στον αστερισμό του Κενταύρου, που εμφανίζεται ως μια εξαιρετικά πυκνή και πολυπληθής συγκέντρωση άστρων. Καταγράφηκε για πρώτη φορά στον κατάλογο του Πτολεμαίου πριν από σχεδόν 2000 χρόνια ως ένα άστρο. Ο Edmond Halley το ανέφερε ως νεφέλωμα το 1677 και στη δεκαετία του 1830 ο John Herschel ήταν ο πρώτος που το αναγνώρισε ως σφαιρωτό σμήνος. (β) Η δεύτερη εικόνα δείχνει τις λεπτομέρειες της κεντρικής περιοχής αυτού του σμήνος, με μια πιο κοντινή άποψη των μεμονωμένων άστρων. (γ) Η τρίτη εικόνα δείχνει τη θέση μαύρης τρύπας στο σύμπλεγμα. Σύμφωνα με την δημοσίευση «Fast-moving stars around an intermediate-mass black hole in ω Centauri«, από τις ταχύτητες και μόνο των ταχέως κινούμενων άστρων στη γειτονιά της μαύρης τρύπας, προκύπτει ένα σταθερό κατώτερο όριο στη μάζα της, περίπου 8.200 M☉. Εστίαση στην περιοχή της μαύρης τρύπας στο σφαιρωτό σμήνος Ωμέγα του Κενταύρου πηγή: Hubble finds evidence for rare black hole in Omega Centauri – www.esa.int διαβάστε επίσης: Astronomers find the nearest massive black hole – www.mpg.de Ο πλανήτης μας ειναι το λίκνο της ανθρωπότητας.Αλλα κανείς δεν περνάει ολη του τη ζωή στο λίκνο. Κονσταντίν Εντουάρντοβιτς Τσιολκόφσκι.
Δροσος Γεωργιος Δημοσιεύτηκε Αύγουστος 19, 2024 Δημοσιεύτηκε Αύγουστος 19, 2024 Εντοπίστηκε η «κραυγή» ενός άστρου που δέχεται επίθεση θανάτου από τεράστια μαύρη τρύπα. Καταγράφηκε με λεπτομέρεια το εντυπωσιακό κοσμικό φαινόμενο. Χρησιμοποιώντας νέα δεδομένα από τα διαστημικά τηλεσκόπια Chandra, Swift και XMM-Newton της ESA μια ομάδα ερευνητών έκανε σημαντική πρόοδο στην κατανόηση του πώς και πότε μια υπερμεγέθης μαύρη τρύπα συλλαμβάνει διαστημικά σώματα και γενικότερα κοσμική ύλη και την… καταβροχθίζει.Η εικόνα που έδωσε στη δημοσιότητα η NASA δείχνει ένα άστρο που έχει δεχθεί επίθεση από μια τεράστια μαύρη τρύπα στο σύστημα που έχει λάβει την κωδική ονομασία AT2018fyk. Η υπερμεγέθης μαύρη τρύπα στο AT2018fyk έχει περίπου 50 εκατομμύρια φορές μεγαλύτερη μάζα από αυτή του Ήλιου και βρίσκεται στο κέντρο ενός γαλαξία περίπου 860 εκατομμύρια έτη φωτός μακριά από τη Γη.Οι αστρονόμοι έχουν διαπιστώσει ότι το άστρο του συστήματος βρίσκεται σε μια εξαιρετικά ελλειπτική τροχιά γύρω από τη μαύρη τρύπα έτσι ώστε το σημείο της πιο απομακρυσμένης προσέγγισής του από τη μαύρη τρύπα να είναι πολύ μεγαλύτερο από το πλησιέστερο. Κατά την πλησιέστερη προσέγγισή του οι τρομερές βαρυτικές δυνάμεις της μαύρης τρύπας αποσπούν ύλη από το άστρο δημιουργώντας δύο παλιρροϊκές ουρές «αστρικών συντριμμιών».Η εικόνα δείχνει ένα στιγμιότυπο όταν οι παλιρροϊκές ουρές βρίσκονται ακόμα σε κοντινή απόσταση από το άστρο. Η ύλη καταλήγει στη μαύρη τρύπα και χάνει ενέργεια, οδηγώντας σε μεγάλη αύξηση της φωτεινότητας των ακτίνων Χ. Αυτή η διαδικασία επαναλαμβάνεται κάθε φορά που το αστέρι επιστρέφει στο σημείο της πλησιέστερης προσέγγισής του, που είναι περίπου κάθε 3,5 χρόνια. Η εικόνα απεικονίζει το αστέρι κατά τη δεύτερη τροχιά του και τον δίσκο ακτίνων Χ που εκπέμπει αέριο γύρω από τη μαύρη τρύπα που παράγεται ως υποπροϊόν της πρώτης παλιρροϊκής συνάντησης. To παλλιροϊκό φαινόμενο Οι ερευνητές σημείωσαν το AT2018fyk το 2018, όταν η οπτική επίγεια έρευνα ASAS-SN εντόπισε ότι το σύστημα είχε γίνει πολύ πιο φωτεινό. Αφού το παρατήρησαν με τα διαστημικά τηλεσκόπια οι ερευνητές διαπίστωσαν ότι η αύξηση της φωτεινότητας προήλθε από ένα «γεγονός παλιρροϊκής διαταραχής» ή TDE, το οποίο σηματοδοτεί ότι ένα άστρο αφού βρέθηκε κοντά σε μια μαύρη τρύπα διαλύθηκε και η ύλη του έχει καταλήξει σε μεγάλο ποσοστό στη μαύρη τρύπα.Όπως είναι ευνόητο τα ευρήματα της έρευνας φωτίζουν τους μηχανισμούς και τα φαινόμενα των πιο μυστηριωδών κοσμικών σωμάτων, των μαύρων τρυπών. Η εικόνα από το σύστημα που παρατήρησαν οι ερευνητές. https://www.naftemporiki.gr/techscience/1742498/entopistike-i-kraygi-enos-astroy-poy-dechetai-epithesi-thanatoy-apo-terastia-mayri-trypa/ Ο πλανήτης μας ειναι το λίκνο της ανθρωπότητας.Αλλα κανείς δεν περνάει ολη του τη ζωή στο λίκνο. Κονσταντίν Εντουάρντοβιτς Τσιολκόφσκι.
Δροσος Γεωργιος Δημοσιεύτηκε Αύγουστος 27, 2024 Δημοσιεύτηκε Αύγουστος 27, 2024 Δείτε πώς οι μαύρες τρύπες κάνουν… σπαγγέτι τα άστρα (βίντεο) Η πρώτη προσομοίωση της απορρόφησης ύλης από τα μυστηριώδη κοσμικά τέρατα. Είναι γνωστό πώς όταν ένα διαστημικό σώμα και γενικότερα οποιουδήποτε είδους κοσμική δομή και ύλη πέσει στα βαρυτικά δίχτυα μιας μαύρης τρύπας είναι καταδικασμένη σε θάνατο. Αυτό που δεν είναι βέβαιο είναι ο τρόπος και ο χρόνος που θα συμβεί το… μοιραίο για το άτυχο κοσμικό σώμα.Οι επιστήμονες έχουν καταφέρει να αποκρυπτογραφήσουν κάποια από τα φαινόμενα που προκαλούνται από τη βαρυτική έλξη μια μαύρης τρύπας σε άλλα κοσμικά σώματα. Ένα από αυτά είναι η αποκαλούμενη «παλιρροϊκή διατάραξη». Η βαρυτική έλξη της μαύρης τρύπας παραμορφώνει το κοσμικό σώμα ή την ύλη που έχει συλλάβει.Το αντικείμενο παίρνει ένα σχήμα νήματος για αυτό και η επιστημονική κοινότητα ονόμασε το φαινόμενο «σπαγγετοποίηση» αφού η όλη διαδικασία μοιάζει σαν η μαύρη τρύπα να μεταμορφώνει το αντικείμενο σε μακαρόνι πριν τελικά το απορροφήσει ή το καταστρέψει. Με άρθρο της στο διαδικτυακό αρχείο προδημοσιεύσεων arXiv ερευνητική ομάδα παρουσιάζει μια μελέτη για το φαινόμενο της σπαγγετοποίησης στο πλαίσιο της οποίας οι ερευνητές σχεδίασαν προσομοιώσεις οι οποίες όπως υποστηρίζουν είναι οι πρώτες που παρουσιάζουν με λεπτομέρεια αυτό το εντυπωσιακό κοσμικό φαινόμενο. Τι συμβαίνει «Προς μεγάλη μας έκπληξη, ανακαλύψαμε ότι το 1% της ύλη που πέφτει στη μαύρη τρύπα παράγει τόση θερμότητα ώστε να τροφοδοτεί μια εξαιρετικά ισχυρή και σχεδόν σφαιρική εκροή ύλης. Η μαύρη τρύπα όμως όπως φαίνεται δεν μπορεί να απορροφήσει απότομα μεγάλες ποσότητες ύλης και ότι δεν… καταπίνει το απομακρύνει, το εκτοξεύει μακριά. Οι νέες προσομοιώσεις αποκαλύπτουν γιατί τα γεγονότα παλιρροϊκής διαταραχής δημιουργούν ένα περιβάλλον το οποίο μοιάζει με ένα γιγάντιο άστρο μεγέθους όσο το ηλιακό μας σύστημα το οποίο διαστέλλεται με σχετικά μικρή ταχύτητα αλληλεπιδρώντας με τις βαρυτικές δυνάμεις της μαύρης τρύπας γεγονός που επιβεβαιώνει την κρατούσα θεωρία για τη λειτουργία των μαύρων τρυπών» αναφέρει ο Ντάνιελ Πράις, αστροφυσικός του Πανεπιστημίου Monash στην Αυστραλία εκ των επικεφαλής της μελέτης. https://www.naftemporiki.gr/techscience/1749506/deite-pos-oi-mayres-trypes-kanoyn-spaggeti-ta-astra-vinteo/ Ο πλανήτης μας ειναι το λίκνο της ανθρωπότητας.Αλλα κανείς δεν περνάει ολη του τη ζωή στο λίκνο. Κονσταντίν Εντουάρντοβιτς Τσιολκόφσκι.
Δροσος Γεωργιος Δημοσιεύτηκε Σεπτέμβριος 10, 2024 Δημοσιεύτηκε Σεπτέμβριος 10, 2024 Εντοπίστηκαν μαύρες τρύπες που θα κοντραριστούν όπως οι παλαιστές του Σούμο (βίντεο) Μοναδική στο είδος της κοσμική ανακάλυψη. Τα διαστημικά τηλεσκόπια Hubble και Chandra εντόπισαν το πλησιέστερο επιβεβαιωμένο ζευγάρι υπερμεγέθων μαύρων τρυπών που έχει παρατηρηθεί σε στενή γειτνίαση. Αυτές οι μαύρες τρύπες βρίσκονται στο κέντρο δύο γαλαξιών οι οποίοι είναι σε τροχιά σύγκρουσης. Οι δύο γαλαξίες βρίσκονται σε απόσταση 800 εκατ. ετών φωτός από τη Γη και σε απόσταση 300 ετών φωτός μεταξύ τους.Όπως αναφέρει σε δημοσίευση της η NASA οι δύο μαύρες τρύπες τροφοδοτούνται από την αέρια και κοσμική σκόνη με αποτέλεσμα να λάμπουν έντονα ως ενεργοί γαλαξιακές πυρήνες (AGN).Ενώ αρκετές δεκάδες τέτοιου είδους ζεύγη μαύρων τρυπών έχουν εντοπιστεί στο παρελθόν οι αποστάσεις μεταξύ των δύο μελανών οπών του κάθε ζεύγους είναι κατά πολύ μεγαλύτερο από αυτό του συγκεκριμένου ζευγαριού το οποίο οι ειδικοί παρομοιάζουν με δύο παλαιστές σούμο που έχουν εισέλθει στο ταπί και ετοιμάζονται να αναμετρηθούν. Τα δυαδικά AGN όπως αυτό που εντόπισαν τα δύο τηλεσκόπια ήταν σύμφωνα με την επιστημονική κοινότητα τους πιο κοινά στο πρώιμο Σύμπαν όταν οι συγχωνεύσεις γαλαξιών ήταν πιο συχνές. Αυτή η ανακάλυψη παρέχει μια μοναδική κοντινή ματιά σε αυτό το κοσμικό περιβάλλον και τα φαινόμενα που μπορεί να παράγονται. https://www.naftemporiki.gr/techscience/1762489/entopistikan-mayres-trypes-poy-tha-kontraristoyn-opos-oi-palaistes-toy-soymo/ Ο πλανήτης μας ειναι το λίκνο της ανθρωπότητας.Αλλα κανείς δεν περνάει ολη του τη ζωή στο λίκνο. Κονσταντίν Εντουάρντοβιτς Τσιολκόφσκι.
Δροσος Γεωργιος Δημοσιεύτηκε Σεπτέμβριος 12, 2024 Δημοσιεύτηκε Σεπτέμβριος 12, 2024 Οι πιο κοντινές υπερμαζικές μαύρες τρύπες. Απέχουν μεταξύ τους μόνο 300 έτη φωτός. Τα διαστημικά τηλεσκόπια Hubble και Chandra εντόπισαν ζεύγος υπερμαζικών μαύρων τρυπών που κατέχουν το εξής ρεκόρ: βρίσκονται στην πιο κοντινή απόσταση – την μικρότερη απόσταση μεταξύ δύο μαύρων τρυπών που έχει παρατηρηθεί μέχρι σήμερα.Οι μαύρες τρύπες βρίσκονται στο κέντρο δύο γαλαξιών οι οποίοι είναι σε τροχιά σύγκρουσης. Οι γαλαξίες βρίσκονται σε απόσταση 800 εκατομμύρια έτη φωτός από τη Γη και σε απόσταση 300 ετών φωτός μεταξύ τους. Αυτές οι μαύρες τρύπες τροφοδοτούνται από την σκόνη και τα αέρια του περιβάλλοντός τους, με αποτέλεσμα να φωτοβολούν έντονα ως ενεργοί γαλαξιακές πυρήνες (AGN). Δείτε το σχετικό βίντεο της NASA: Διαβάστε περισσότερα: NASA’s Hubble, Chandra Find Supermassive Black Hole Duo – https://science.nasa.gov/missions/hubble/nasas-hubble-chandra-find-supermassive-black-hole-duo/ Ο πλανήτης μας ειναι το λίκνο της ανθρωπότητας.Αλλα κανείς δεν περνάει ολη του τη ζωή στο λίκνο. Κονσταντίν Εντουάρντοβιτς Τσιολκόφσκι.
Δροσος Γεωργιος Δημοσιεύτηκε Σεπτέμβριος 19, 2024 Δημοσιεύτηκε Σεπτέμβριος 19, 2024 Το ηλιακό σύστημα ως ανιχνευτής μελανών οπών. Μια αρχέγονη μαύρη τρύπα με μάζα όση ένας μέσος αστεροειδής, καθώς κινείται στη γειτονιά ενός πλανήτη θα μπορούσε να διαταράξει την τροχιά του κατά έναν ανιχνεύσιμο τρόπο.Κατά τη διάρκεια της αρχέγονης διαστολής του σύμπαντος, οι υπερβολικά πυκνές περιοχές θα μπορούσαν να έχουν καταρρεύσει βαρυτικά για να δημιουργήσουν αρχέγονες μαύρες τρύπες. Ανάλογα με το τι προκάλεσε την κατάρρευση, οι αρχέγονες μαύρες τρύπες θα μπορούσαν να έχουν σχεδόν οποιαδήποτε μάζα. Αλλά εφόσον, όπως υποστηρίζουν ορισμένοι θεωρητικοί φυσικοί, πρόκειται να εξηγήσουν όλη τη σκοτεινή ύλη του σύμπαντος, δεν μπορεί να είναι τόσο ελαφριές ώστε να εξατμίζονται και να εξαφανίζονται ούτε τόσο βαριές ώστε να έρχονται σε αντίθεση με τις παρατηρήσεις του βαρυτικών φακών. Μέσα σε αυτό το ευρύ φάσμα μαζών βρίσκεται και μια πιο στενή περιοχή που αντιστοιχεί στις μάζες των αστεροειδών. Αυτό το μικρότερο εύρος μαζών αρχέγονων μαύρων τρυπών έχει παραμείνει σε μεγάλο βαθμό ανεξερεύνητο. Ο Tung Tran και οι συνεργάτες του από το Ινστιτούτο Τεχνολογίας της Μασαχουσέτης διερεύνησαν το ζήτημα και υποστηρίζουν πως αυτές οι μαύρες τρύπες θα μπορούσαν εύκολα να ανιχνευθούν χάρη στη βαρυτική τους αλληλεπίδραση με το ηλιακό μας σύστημα.Η σκοτεινή ύλη καθορίζει την μεγάλης κλίμακας δομή του σύμπαντος. Στις θεωρίες της σκοτεινής ύλης, όσο μικρότερη είναι η μάζα των σωματιδίων της σκοτεινής ύλης, τόσο περισσότερα από αυτά χρειάζονται για να δικαιλογηθεί αυτή η δομή. Επίσης, τα σωματίδια της σκοτεινής ύλης πρέπει να κινούνται μέσα στο σύμπαν αρκετά αργά, ώστε η μεταξύ τους βαρυτική έλξη να τα συσσωρεύει. Αν η σκοτεινή ύλη αποτελείται αποκλειστικά από αρχέγονες μαύρες τρύπες με μάζες όσο ένας αστεροειδής, τότε αυτές οι δύο απαιτήσεις υποδηλώνουν ότι ένας μικρός αριθμός από αυτές εμφανίζεται και στο ηλιακό μας σύστημα ανά πάσα στιγμή και ότι οι ταχύτητές τους είναι είναι περίπου 200 km/s.Αυτές οι αρχέγονες μαύρες τρύπες ελάχιστα θα διατάρασσαν το ηλιακό σύστημα. Ωστόσο, οι αποστάσεις από τη Γη στους πλανήτες είναι γνωστές με εξαιρετική ακρίβεια – έως 10 cm στην περίπτωση του Άρη. Από τους υπολογισμούς και τις προσομοιώσεις τους, ο Tran και οι συνεργάτες του κατέληξαν στο συμπέρασμα ότι η διέλευση διαμέσου του ηλιακού συστήματος τουλάχιστον μιάς αρχέγονης μαύρης τρύπας με μάζα όσο ένας μέσος αστεροειδής, θα μπορούσε να αφήσει ένα ανιχνεύσιμο ίχνος στα υπάρχοντα ή στα επερχόμενα δεδομένα αποστάσεων μία φορά τη δεκαετία. Σύμφωνα με τους ερευνητές, μια μη-ανίχνευση θα έθετε αυστηρούς περιορισμούς σε τέτοιου είδους υποψήφιους για τη σκοτεινή ύλη. πηγή: https://physics.aps.org/articles/v17/s98 Ο πλανήτης μας ειναι το λίκνο της ανθρωπότητας.Αλλα κανείς δεν περνάει ολη του τη ζωή στο λίκνο. Κονσταντίν Εντουάρντοβιτς Τσιολκόφσκι.
Δροσος Γεωργιος Δημοσιεύτηκε Σεπτέμβριος 20, 2024 Δημοσιεύτηκε Σεπτέμβριος 20, 2024 Εντοπίστηκε ο Πορφυρίωνας, ο μεγαλύτερος πίδακας ενέργειας του Σύμπαντος. Ξεπηδά από μια μαύρη τρύπα και έχει έκταση 23 εκατ. έτη φωτός. Με δημοσίευση της στην επιθεώρηση «Nature» ερευνητική ομάδα παρουσιάζει τον εντοπισμό δύο κολοσσιαίων δεσμών ενέργειας, δύο πίδακες, που πηγάζουν από μια μαύρη τρύπα βρίσκεται στην καρδιά ενός γαλαξία που απέχει περίπου 7,5 δισεκατομμύρια έτη φωτός από τη Γη. Σύμφωνα με τους ερευνητές οι πίδακες αυτοί που κινούνται σε αντίθετες κατευθύνσεις εκτείνονται σε απόσταση 23 εκατ. ετών φωτός από άκρη σε άκρη σχηματίζοντας τη μεγαλύτερη τέτοιου είδους κοσμική δομή που γνωρίζουμε στο Σύμπαν.Ένα έτος φωτός είναι η απόσταση που διανύει το φως σε ένα χρόνο, περίπου 9,5 τρισεκατομμύρια χιλιόμετρα, οπότε γίνεται εύκολα αντιληπτό για την έκταση που έχουν οι δύο πίδακες.Οι μαύρες τρύπες είναι ασυνήθιστα πυκνά αντικείμενα με τόσο ισχυρή βαρύτητα που ούτε το φως μπορεί να διαφύγει. Οι περισσότεροι γαλαξίες συμπεριλαμβανομένου του γαλαξία μας έχουν μια μεγάλη μαύρη τρύπα στον πυρήνα τους. Πολλές φορές οι μαύρες τρύπες εκτοξεύουν πίδακες σωματιδίων υψηλής ενέργειας και μαγνητικών πεδίων στο Διάστημα καθώς καταβροχθίζουν κυριολεκτικά ύλη όπως αέριο, σκόνη και ολόκληρα άστρα που εγκλωβίζονται στη τρομερή βαρυτική ισχύ της μαύρης τρύπας.Οι ερευνητές έκαναν την ανακάλυψη χρησιμοποιώντας το ραδιοτηλεσκόπιο LOFAR (Low-Frequency Array), και έδωσαν σε αυτούς του δύο πίδακες ένα κοινό όνομα από την ελληνική μυθολογία. Η κοσμική δομή ονομάστηκε Πορφυρίωνας που είναι το όνομα ενός από τους γίγαντες που πολέμησαν εναντίον των θεών του Ολύμπου στη Γιγαντομαχία. Οι δύο πίδακες είναι περίπου 30% μεγαλύτεροι σε έκταση από το μέχρι σήμερα μεγαλύτερο τέτοιου είδους πίδακα που γνωρίζαμε στο Σύμπαν. Καλλιτεχνική απεικόνιση του γιγάντιου πίδακα που ονομάστηκε Πορφυρίωνας. https://www.naftemporiki.gr/techscience/1770570/entopistike-o-porfyrionas-o-megalyteros-pidakas-energeias-toy-sympantos-vinteo/ Ο πλανήτης μας ειναι το λίκνο της ανθρωπότητας.Αλλα κανείς δεν περνάει ολη του τη ζωή στο λίκνο. Κονσταντίν Εντουάρντοβιτς Τσιολκόφσκι.
Δροσος Γεωργιος Δημοσιεύτηκε Σεπτέμβριος 22, 2024 Δημοσιεύτηκε Σεπτέμβριος 22, 2024 Οι γιγάντιοι αστροφυσικοί πίδακες του Πορφυρίωνα. Οι επιστήμονες ανακάλυψαν μια υπερμαζικής μαύρη τρύπα που εκτοξεύει αστροφυσικούς πίδακες στο διάστημα έχει δημιουργήσει τη μεγαλύτερη δομική κατασκευή γαλαξιακής προέλευσης που έχουμε δει μέχρι σήμερα.Η νέα αυτή δομή ονομάζεται Πορφυρίων, προς τιμήν του βασιλιά των γιγάντων στην ελληνική μυθολογία, και εκτείνεται σε 7 megaparsecs από άκρη σε άκρη, δηλαδή περίπου 23 εκατομμύρια έτη φωτός. Αυτό την καθιστά σημαντικό κομμάτι του κοσμικού ιστού που συνδέει το Σύμπαν. Πριν από την ανακάλυψη του Πορφυρίωνα, το μεγαλύτερο επιβεβαιωμένο πιδάκων ήταν ο Αλκυονέας, που πήρε επίσης το όνομά του από έναν γίγαντα της ελληνικής μυθολογίας. Ο Αλκυονέας ανακαλύφθηκε το 2022 από την ίδια ομάδα που βρήκε τον Πορφυρίωνα.«Αυτή έχει καταφέρει να φτάσει σε μέγεθος τόσο μεγάλο», είπε η Eileen Meyer, η οποία μελετά τις μαύρες τρύπες στο Πανεπιστήμιο του Maryland, στην κομητεία της Βαλτιμόρης και η οποία δεν συμμετείχε στη μελέτη.Η ανακάλυψη, που έγινε χρησιμοποιώντας εικόνες από ένα ευρωπαϊκό ραδιοτηλεσκόπιο, δημοσιευθεί στο περιοδικό Nature.Οι μαύρες τρύπες καταπίνουν τα περισσότερα διαστημικά συντρίμμια που βρίσκουν στο δρόμο τους. Οι αστροφυσικοί πίδακες που δημιουργούνται από μαύρες τρύπες έχουν μηχανισμούς σχηματισμού που δεν κατανοούμε πλήρως.Οι υπερμαζικές μαύρες τρύπες περνούν από περιόδους τροφής και ανάπτυξης, και οι πίδακες είναι μια φυσική συνέπεια. Ωστόσο, οι πίδακες των Αλκυονέα και του Πορφυρίωνα παρουσιάζουν αρκετές προκλήσεις.Οι πίδακες μπορούν να διασπαστούν αμέσως μετά τη δημιουργία τους, να κινούνται από διαστημικές αναταράξεις ή να πεθαίνουν απουσία νέας ύλης. Αλλά οι πίδακες από υπερμεγέθεις μαύρες τρύπες μπορούν να γίνουν υπερμεγέθης.Οι πιο πρόσφατοι συνδυασμένοι πίδακες από μια μακρινή υπερμεγέθη μαύρη τρύπα έχουν μήκος περίπου 23 εκατομμύρια έτη φωτός. Αυτό είναι περίπου 7 εκατομμύρια έτη φωτός μεγαλύτερο από τον προηγούμενο κάτοχο ρεκόρ. Ένα έτος φωτός είναι 5,8 τρισεκατομμύρια μίλια.Ο συν-συγγραφέας της μελέτης Martijn Oei είπε ότι οι ερευνητές δεν περίμεναν να βρουν μακριές μαύρες τρύπες τόσο νωρίς στην ιστορία του σύμπαντος. Οι πίδακες χρονολογούνται από τότε που το σύμπαν ήταν λιγότερο από το ήμισυ της τρέχουσας ηλικίας του.Το πώς οι πίδακες των Αλκυονέα και του Πορφυρίωνα παρέμειναν σταθεροί σε τέτοιες τεράστιες αποστάσεις είναι ένα μυστήριο. Ωστόσο, θα μπορούσαν να μας δίνουν κάποιες ενδείξεις για τη δομή του Σύμπαντος. Στον κοσμικό ιστό – ένα τεράστιο σύστημα ινών, που αποτελείται από σκοτεινή ύλη που συγκρατεί γαλαξίες – οι πίδακες της Porphyrion μπορεί να παίζουν ρόλο στη διαμόρφωση της. Θα μπορούσαν, σύμφωνα με την ερευνητική ομάδα, να είναι υπεύθυνοι για τις υψηλές θερμοκρασίες που ανιχνεύονται σε κενά και τις δομές μαγνητικού πεδίου που βρίσκονται εκεί.Αυτό είναι ιδιαίτερα ενδιαφέρον, καθώς η μαύρη τρύπα ανήκει σε μια κατηγορία που συναντάται αρκετά συχνά στο πρώιμο Σύμπαν – μια ακτινοβολούσα μαύρη τρύπα που παράγει πολύ ακτινοβολία. Αυτό μπορεί να σημαίνει ότι υπήρχαν πολλές γιγάντιες τρύπες στο πρώιμο Σύμπαν που διαμόρφωσαν τον κοσμικό ιστό. Αργότερα, η ερευνητική ομάδα πιστεύει ότι το Σύμπαν μπορεί να είναι γεμάτο με τέτοιους γαλαξίες. «Νομίζω ότι οι γαλαξίες με γιγάντιους πίδακες είναι πιο συχνοί απ’ ότι συνειδητοποιούμε», δήλωσε δήλωσε ο αστρονόμος Martijn Oei από το Πανεπιστήμιο Leiden και το Caltech.«Αυτό συμβαίνει γιατί τα γιγάντια συστήματα πίδακων γίνονται πιο δύσκολα να παρατηρηθούν όσο μεγαλώνουν. Είναι επίσης πιο δύσκολα να παρατηρηθούν στο πιο απομακρυσμένο Σύμπαν. Έτσι, ο αριθμός των γιγάντιων πίδακων που έχουν ανιχνευθεί μέχρι στιγμής περιορίζεται από τις ικανότητες των οργάνων μας. Μόλις βελτιωθούν τα όργανα τα επόμενα χρόνια, περιμένω να βρούμε πολλούς περισσότερους γαλαξίες με γιγάντιους πίδακες.», συμπλήρωσε. Η δομή του πίδακα μαύρης τρύπας που ονομάζεται Πορφυρίων, απεικονίστηκε από τα δεδομένα του ραδιοτηλεσκοπίου LOFAR (LOw Frequency ARray) πηγή: https://www.huffingtonpost.gr/entry/anaedoi-oi-epistemones-entopisan-epermazike-maere-trepa-poe-ektoxeeei-astrofesikoes-pidakes_gr_66ec1b7ce4b083d40a2c4f3e – https://www.caltech.edu/about/news/gargantuan-black-hole-jets-are-biggest-seen-yet Ο πλανήτης μας ειναι το λίκνο της ανθρωπότητας.Αλλα κανείς δεν περνάει ολη του τη ζωή στο λίκνο. Κονσταντίν Εντουάρντοβιτς Τσιολκόφσκι.
Δροσος Γεωργιος Δημοσιεύτηκε Σεπτέμβριος 27, 2024 Δημοσιεύτηκε Σεπτέμβριος 27, 2024 Οι τρομεροί πίδακες ύλης και ενέργειας από τις μαύρες τρύπες ανατινάζουν τα άστρα που βρίσκουν στο δρόμο τους (βίντεο) Ένα άγνωστο εντυπωσιακό κοσμικό φαινόμενο μελετά η επιστημονική κοινότητα Σε ένα απροσδόκητο εύρημα, αστρονόμοι που χρησιμοποιούν το διαστημικό τηλεσκόπιο Hubble της NASA ανακάλυψαν ότι ένας πίδακας ενέργειας που εκπέμπεται από μια μαύρη υπερμεγέθη τρύπα στο κέντρο ενός γαλαξία προκαλεί εκρήξεις σε άστρα που βρίσκονται κατά μήκος της πορείας του.Οι μαύρες τρύπες είναι ασυνήθιστα πυκνά αντικείμενα με τόσο ισχυρή βαρύτητα που ούτε το φως μπορεί να διαφύγει. Οι περισσότεροι γαλαξίες συμπεριλαμβανομένου του γαλαξία μας έχουν μια μεγάλη μαύρη τρύπα στον πυρήνα τους. Πολλές φορές οι μαύρες τρύπες εκτοξεύουν πίδακες σωματιδίων υψηλής ενέργειας και μαγνητικών πεδίων στο Διάστημα καθώς καταβροχθίζουν κυριολεκτικά ύλη όπως αέριο, σκόνη και ολόκληρα άστρα που εγκλωβίζονται στη τρομερή βαρυτική ισχύ τους.Το εύρημα που ανακοινώθηκε από τη NASA προκαλεί σύγχυση στους ερευνητές που αναζητούν μια εξήγηση. «Δεν ξέρουμε τι συμβαίνει, αλλά είναι απλώς ένα πολύ συναρπαστικό εύρημα. Αυτό σημαίνει ότι κάτι λείπει από την κατανόησή μας για το πώς οι πίδακες μαύρης τρύπας αλληλεπιδρούν με το περιβάλλον τους» αναφέρει ο Άλεκ Λέσινγκ από το Πανεπιστήμιο του Στάνφορντ, επικεφαλής της ερευνητικής ομάδας που έκανε την ανακάλυψη. Το φαινόμενο Υπάρχουν δυαδικά συστήματα που αποτελούνται από ένα συμβατικό άστρο που βρίσκεται σε φάση αυτοκαταστροφής και έχει διογκωθεί (διαδικασία που θα ακολουθήσει σε μερικά δισ. έτη ο Ήλιος) και ένα λευκό νάνο που αποτελεί το επόμενο στάδιο αυτής της διαδικασίας κα είναι στην ουσία ένα αστρικό υπόλειμμα. Έχει διαπιστωθεί ότι σε τέτοια δυαδικά συστήματα το διογκωμένο άστρο διαρρέει υδρογόνο στον λευκό νάνο. Όταν οι ποσότητες υδρογόνου στον λευκό νάνο αυξάνονται πολύ προκαλούνται εκρήξεις παρόμοιες με αυτές που θα προκαλούσαν τεράστιες πυρηνικές βόμβες.Ο λευκός νάνος δεν καταστρέφεται από αυτές τις εκρήξεις οι οποίες εκτοξεύουν το επιφανειακό στρώμα τους και στη συνέχεια ξεκινά εκ νέου η διοχέτευση υδρογόνου από το άλλο άστρο ξεκινώντας ένα νέο κύκλο που θα καταλήξει σε έκρηξη Το Hubble έκανε παρατηρήσεις σε μια κολοσσιαία μαύρη τρύπα με μάζα 6,5 δισ. φορές μεγαλύτερη από αυτή του Ήλιου που βρίσκεται στον γιγάντιο γαλαξία Μ87 σε απόσταση 53,49 εκατομμυρίων ετών φωτός από τη Γη.Η μαύρη τρύπα εκπέμπει πίδακες ενέργειας και το Hubble εντόπισε διπλάσιο αριθμό εκρήξεων σε δυαδικά συστήματα διογκωμένων άστρων/λευκών νάνων που βρίσκονται εντός του βεληνεκούς των πιδάκων πλάσματος της μαύρης τρύπας που κινούνταν με ταχύτητες κοντά σε αυτές του φωτός και κάλυπταν αποστάσεις περίπου τριών χιλιάδων ετών φωτός. Οι ερευνητές ότι οι πίδακες των μαύρων τρυπών που έρχονται σε επαφή με αυτά τα δυαδικά συστήματα ενεργοποιούν τους μηχανισμούς των εκρήξεων αποκαλύπτοντας ένα νέο κοσμικό φαινόμενο που αναμένεται να μπει τώρα από την επιστημονική κοινότητα σε φάση διερεύνησης. https://www.naftemporiki.gr/techscience/1778231/oi-tromeroi-pidakes-ylis-kai-energeias-apo-tis-mayres-trypes-anatinazoyn-ta-astra-poy-vriskoyn-sto-dromo-toys-vinteo/ Ο πλανήτης μας ειναι το λίκνο της ανθρωπότητας.Αλλα κανείς δεν περνάει ολη του τη ζωή στο λίκνο. Κονσταντίν Εντουάρντοβιτς Τσιολκόφσκι.
Δροσος Γεωργιος Δημοσιεύτηκε Οκτώβριος 11, 2024 Δημοσιεύτηκε Οκτώβριος 11, 2024 Τεράστια μαύρη τρύπα κατάπιε ένα άστρο και πριν ακόμη… χωνέψει κυνηγάει το επόμενο θήραμα του (βίντεο) Εντυπωσιακό φαινόμενο που φωτίζει διάφορα κοσμικά φαινόμενα. Με ανακοίνωση της η NASA αναφέρει ότι διαστημικά και επίγεια τηλεσκόπια εντόπισαν μια υπερμεγέθη μαύρη τρύπα που αφού καταβρόχθισε ένα άστρο αύξησε τον όγκο του και προσπαθεί τώρα να παγιδεύσει ένα δεύτερο διαστημικό σώμα που βρίσκεται στην ίδια περιοχή με τους επιστήμονες που μελετούν το φαινόμενο να μην έχουν ακόμη εξακριβώσει αν πρόκειται για ένα ακόμη άστρο ή για μια μικρή μαύρη τρύπα.Η ανακάλυψη ανάμεσα στα άλλα παρέχει πληροφορίες για το περιβάλλον που υπάρχει γύρω από μερικούς από τους μεγαλύτερους τύπους μαύρων τρυπών.Το 2019, ένα οπτικό τηλεσκόπιο στην Καλιφόρνια παρατήρησε μια έκρηξη φωτός που οι αστρονόμοι αργότερα κατηγοριοποίησαν ως «γεγονός παλιρροϊκής διαταραχής» ή TDE. Αυτές είναι περιπτώσεις όπου οι μαύρες τρύπες συλλαμβάνουν στα βαρυτικά τους δίχτυα άστρα τα οποία διαλύονται κυριολεκτικά με την ύλη τους να πέφτει μέσα στη μαύρη τρύπα παράγοντας διάφορα κοσμικά φαινόμενα που ξεκινούν από την αύξηση της μάζας της μαύρης τρύπας και καταλήγουν σε εκτόξευση τρομερής ισχύος, ταχύτητας και φωτεινότητας πιδάκων ύλης και ενέργειας. Οι αστρονόμοι έδωσαν σε αυτό το TDE το όνομα AT2019qiz. Ο συνδυασμός Εν τω μεταξύ, οι επιστήμονες παρακολουθούσαν επίσης έναν άλλο τύπο κοσμικών φαινομένων που παρατηρούνται περιστασιακά σε όλο το Σύμπαν. Πρόκειται για συχνές αλλά σύντομες εκρήξεις ακτίνων Χ που βρίσκονται κοντά σε υπερμεγέθεις μαύρες τρύπες. Οι αστρονόμοι ονόμασαν αυτά τα γεγονότα «οιονεί περιοδικές εκρήξεις» ή QPE.Τα νέα ευρήματα δίνουν στους επιστήμονες στοιχεία που υποδεικνύουν ότι τα TDE και τα QPE είναι πιθανό να συνδέονται. Οι ερευνητές πιστεύουν ότι τα QPE προκύπτουν όταν ένα αντικείμενο σπάει στο δίσκο που έμεινε πίσω μετά το TDE. Ενώ μπορεί να υπάρχουν άλλες εξηγήσεις, οι συγγραφείς της μελέτης προτείνουν ότι αυτή είναι η πηγή τουλάχιστον ορισμένων QPE. Καλλιτεχνική απεικόνιση της τεράστιας μαύρης τρύπας που επιτίθεται στα κοντινά της άστρα. https://www.naftemporiki.gr/techscience/1792890/terastia-mayri-trypa-katapie-ena-astro-kai-prin-akomi-chonepsei-kynigaei-to-epomeno-thirama-toy-vinteo/ Ο πλανήτης μας ειναι το λίκνο της ανθρωπότητας.Αλλα κανείς δεν περνάει ολη του τη ζωή στο λίκνο. Κονσταντίν Εντουάρντοβιτς Τσιολκόφσκι.
Δροσος Γεωργιος Δημοσιεύτηκε Οκτώβριος 31, 2024 Δημοσιεύτηκε Οκτώβριος 31, 2024 Αγγίζοντας το Άπειρο: Φωτογραφίζοντας Μαύρες Τρύπες. Το 2019 για πρώτη φορά στην ιστορία της αστρονομίας είχαμε τη δυνατότητα να δούμε την πρώτη φωτογραφία μιας μαύρης τρύπας ή μάλλον το τι υπάρχει γύρω από αυτή, αφού οι μαύρες τρύπες είναι στην πραγματικότητα αόρατες, καθώς απορροφούν οτιδήποτε εντός τους, ακόμη και το φως. Η ιστορική φωτογραφία των ερευνητών του Event Horizon Telescope (Τηλεσκόπιο Ορίζοντα Γεγονότων) ‘έδειχνε’ την υπερμεγέθη μαύρη τρύπα που βρίσκεται στον γαλαξία M 87, σε απόσταση 52 εκατομμύρια έτη φωτός από τη Γη, με μάζα 6,5 δισεκατομμύρια φορές μεγαλύτερη του Ήλιου και διάμετρο 40 δισεκατομμύρια χιλιόμετρα. To 2022 θα παρουσιάστηκε ένα νέο επίτευγμα του Event Horizon Telescope (EHT): η πρώτη εικόνα της τεράστιας μαύρης τρύπας στο κέντρο του Γαλαξία μας. Αυτή η μάυρη τρύπα ονομάζεται (Τοξότης A* ή Sgr A* για συντομία), απέχει 27 χιλιάδες έτη φωτός από τη Γη, έχει μάζα 4,3 εκατομμύρια φορές μεγαλύτερη από τον Ήλιο και διάμετρο 44 εκατομμύρια χιλιόμετρα. Σημαντική συνεισφορά στην λήψη των παραπάνω «φωτογραφιών» των μαύρων τρυπών με το Event Horizon Telescope (EHT) είχε o αστροφυσικός Δημήτρης Ψάλτης . Ο Δρ. Δημήτρης Ψάλτης, καθηγητής Θεωρητικής Αστροφυσικής στο Τεχνολογικό Ινστιτούτο της Τζώρτζια – Georgia Tech θα δώσει ομιλία για το ευρύ κοινό με θέμα: «Αγγίζοντας το Άπειρο: Φωτογραφίζοντας Μαύρες Τρύπες«, την Πέμπτη 31 Οκτωβρίου 2024, ώρα 19:30, στο Αμφιθέατρο «ΛΕΩΝΙΔΑΣ ΖΕΡΒΑΣ» στο Εθνικό Ίδρυμα Ερευνών. http://www.eie.gr/conferencehalls-gr.html Ο διακεκριμένος Έλληνας επιστήμονας θα μας ταξιδέψει σε ένα ταξίδι στον χρόνο και στον χώρο, από τον Αινσταιν και τον Οπενχάιμερ, στο Event Horizon Telescope και την πρώτη φωτογράφιση της μελανής οπής στο κέντρο του Γαλαξία. Σύντομο βιογραφικό του κ. Ψάλτη θα βρείτε εδώ: https://physics.gatech.edu/user/dimitrios-psaltis Η είσοδος είναι ελεύθερη. πηγή: https://www.facebook.com/events/948920267067585/?ref=newsfeed To μέγεθος του ηλιακού μας συστήματος σε σύγκριση με την τερατώδη μαύρη τρύπα στον γαλαξία M87 H πρώτη εικόνα της τεράστιας μαύρης τρύπας στο κέντρο του Γαλαξία μας Ο πλανήτης μας ειναι το λίκνο της ανθρωπότητας.Αλλα κανείς δεν περνάει ολη του τη ζωή στο λίκνο. Κονσταντίν Εντουάρντοβιτς Τσιολκόφσκι.
Δροσος Γεωργιος Δημοσιεύτηκε Νοέμβριος 6, 2024 Δημοσιεύτηκε Νοέμβριος 6, 2024 Εντοπίστηκε η πιο αχόρταγη μαύρη τρύπα στο Σύμπαν (βίντεο) Καταναλώνει ύλη με ρυθμό 40 φορές μεγαλύτερο από το κανονικό. Μια αρχαία μαύρη τρύπα που ανακαλύφθηκε πρόσφατα αποδεικνύεται ότι είναι η «πιο πεινασμένη» μαύρη τρύπα που έχει εντοπιστεί ποτέ. Οι επιστήμονες από το International Gemini Observatory και το NSF NOIRLab λένε ότι η μαύρη τρύπα που ονομάζεται LID-568 καταβροχθίζει την ύλη με ρυθμό 40 φορές ταχύτερο από το θεωρητικό όριο απορρόφησης ύλης από μια μαύρη τρύπα.Χρησιμοποιώντας το διαστημικό τηλεσκόπιο James Webb οι ερευνητές κατάφεραν να παρατηρήσουν το LID-568 όπως ήταν 1,5 δισεκατομμύριο χρόνια μετά τη Μεγάλη Έκρηξη, μυστηριώδες κοσμικό φαινόμενο από το οποίο προέκυψε το Σύμπαν. Αν και το Σύμπαν βρισκόταν ακόμη στην πρώιμη φάση ανάπτυξης του οι επιστήμονες είδαν ότι η μαύρη τρύπα παρήγαγε πολύ περισσότερη ακτινοβολία ακτίνων Χ από ό,τι θα έπρεπε να είναι δυνατό για το μέγεθός της. Η τεράστια… όρεξη της μαύρης τρύπας θα μπορούσε να βοηθήσει να εξηγηθεί πώς μερικές μικροσκοπικές μαύρες τρύπες γίνονται υπερμεγέθεις πολύ γρήγορα. Το όριο Οι ερευνητές σχεδιάζουν τώρα νέες παρατηρήσεις με το James Webb για να διερευνήσουν περαιτέρω τους πιθανούς μηχανισμούς που κρύβονται πίσω από αυτή την συμπεριφορά των μαύρων τρυπών. Οι επιστήμονες πιστεύουν ότι κάθε μαύρη τρύπα έχει ένα μέγιστο ρυθμό με τον οποίο θα πρέπει να είναι σε θέση να απορροφήσει νέο υλικό. Αυτό ονομάζεται «όριο Eddington», που πήρε το όνομά του από τον Άγγλο αστροφυσικό σερ Άρθουρ Έντινγκτον.Αυτό είναι το σημείο στο οποίο η προς τα μέσα βαρυτική δύναμη της μαύρης τρύπας εξισορροπείται από την προς τα έξω δύναμη που δημιουργείται από τη θερμότητα της εισερχόμενης ύλης. Εάν μια μαύρη τρύπα ξεπεράσει αυτό το όριο, οι αστροφυσικοί θεωρούσαν ότι θα γινόταν τόσο φωτεινή που τα γύρω αέρια θα εκτινάσσονταν μακριά. Ωστόσο, όταν οι επιστήμονες εξέτασαν ένα δείγμα γαλαξιακών πυρήνων εξαιρετικά μακριά από τη Γη, διαπίστωσαν ότι ένας έλαμπε με ασυνήθιστη ένταση. Αν και ήταν αόρατος στο ορατό και στο εγγύς υπέρυθρο τμήμα του φάσματος, ο δακτύλιος υλικού γύρω από το LID-568 απέδιδε 4,000 τοις εκατό περισσότερη ενέργεια από ό,τι θα επέτρεπε το όριο Eddington.Οι ερευνητές πιστεύουν ότι αυτό μπορεί να είναι δυνατό χάρη σε μια σειρά ισχυρών εκροών αερίου γύρω από το κέντρο της μαύρης τρύπας φαινόμενο που εκτιμούν ότι οφείλεται στο ότι η μαύρη τρύπα βρισκόταν σε ένα «ατελείωτο γλέντι κατανάλωσης τροφής» όπως αναφέρουν. Καλλιτεχνική απεικόνιση της πεινασμένης μαύρης τρύπας LID-568. https://www.naftemporiki.gr/techscience/1817236/entopistike-i-pio-achortagi-mayri-trypa-sto-sympan-vinteo/ Ο πλανήτης μας ειναι το λίκνο της ανθρωπότητας.Αλλα κανείς δεν περνάει ολη του τη ζωή στο λίκνο. Κονσταντίν Εντουάρντοβιτς Τσιολκόφσκι.
Δροσος Γεωργιος Δημοσιεύτηκε Νοέμβριος 11, 2024 Δημοσιεύτηκε Νοέμβριος 11, 2024 Αστρονόμοι είδαν τη γέννηση της μικρότερης μαύρης τρύπας στο Σύμπαν. Σύγκρουση άστρων νετρονίων παρήγαγε επίσης χρυσό, ασήμι και ουράνιο. Με δημοσίευση της στην επιθεώρηση «Astronomy & Astrophysics» ερευνητική ομάδα αστρονόμων περιγράφει την παρατήρησης μιας φοβερής κοσμικής σύγκρουσης. Πρόκειται για την σύγκρουση μεταξύ δύο άστρων νετρονίων που είχε ως αποτέλεσμα τη γέννηση της μικρότερης μαύρης τρύπας που γνωρίζουμε ενώ παράλληλα η σύγκρουση αυτή γέννησε πολύτιμα μέταλλα και διάφορα χημικά στοιχεία όπως χρυσό, ασήμι και ουράνιο.Η τρομερή σύγκρουση συνέβη 130 εκατομμύρια έτη φωτός μακριά από τη Γη στο γαλαξία NGC 4993 και παρατηρήθηκε από διάφορα επιστημονικά όργανα συμπεριλαμβανομένου του διαστημικού τηλεσκοπίου Hubble.Τα δεδομένα της παρατήρησης κάνουν τους ειδικούς να ευελπιστούν ότι θα αποκαλυφθεί μια εικόνα του «παρελθόντος, του παρόντος και του μέλλοντος» των συγχωνεύσεων αυτών των υπερπυκνών υπολειμμάτων άστρων. Θα μπορούσε ακόμη να φωτίσει την προέλευση στοιχείων βαρύτερων από τον σίδηρο, τα οποία δεν μπορούν να… σφυρηλατηθούν ακόμη και στα πιο ογκώδη συμβατικά άστρα στο Σύμπαν.Η σύγκρουση και η συγχώνευση των άστρων νετρονίων έχει ως αποτέλεσμα μια ισχυρή έκρηξη φωτός που ονομάζεται «κιλόνοβα». Καθώς τα συντρίμμια αυτού του γεγονότος διαστέλλονται σχεδόν με την ταχύτητα του φωτός, η κιλόνοβα φωτίζει το περιβάλλον της με φως τόσο λαμπερό όσο εκατοντάδες εκατομμύρια άστρα σαν τον Ήλιο.Αστέρας νετρονίων ονομάζεται η μία από τις τρεις μορφές των μόνιμων τελικών υπολειμμάτων της εξέλιξης ενός αστέρα: είναι το ένα είδος «αστρικού πτώματος» (τα άλλα δύο είναι ο λευκός νάνος και η μαύρη τρύπα). Ο αστέρας νετρονίων σχηματίζεται από τη βαρυτική κατάρρευση ενός άστρου μεγάλης μάζας μετά από μία έκρηξη σουπερνόβα. Πρόκειται για εξωτικά κοσμικά σώματα που περιστρέφονται με τρομερές ταχύτητες και έχουν απίστευτη πυκνότητα ενώ συντελούνται διάφορα πολύ έντονα κοσμικά φαινόμενα τα οποία προσπαθούν οι επιστήμονες να κατανοήσουν ενώ ανακαλύπτονται συνεχώς νέα εντυπωσιακά άγνωστα φαινόμενα που συμβαίνουν στα άστρα νετρονίων. Καλλιτεχνική απεικόνιση της δημιουργίας μιας μαύρη τρύπας μετά από σύγκρουση άστρων νετρονίου. https://www.naftemporiki.gr/techscience/1822438/astronomoi-eidan-ti-gennisi-tis-mikroteris-mayris-trypas-sto-sympan/ Ο πλανήτης μας ειναι το λίκνο της ανθρωπότητας.Αλλα κανείς δεν περνάει ολη του τη ζωή στο λίκνο. Κονσταντίν Εντουάρντοβιτς Τσιολκόφσκι.
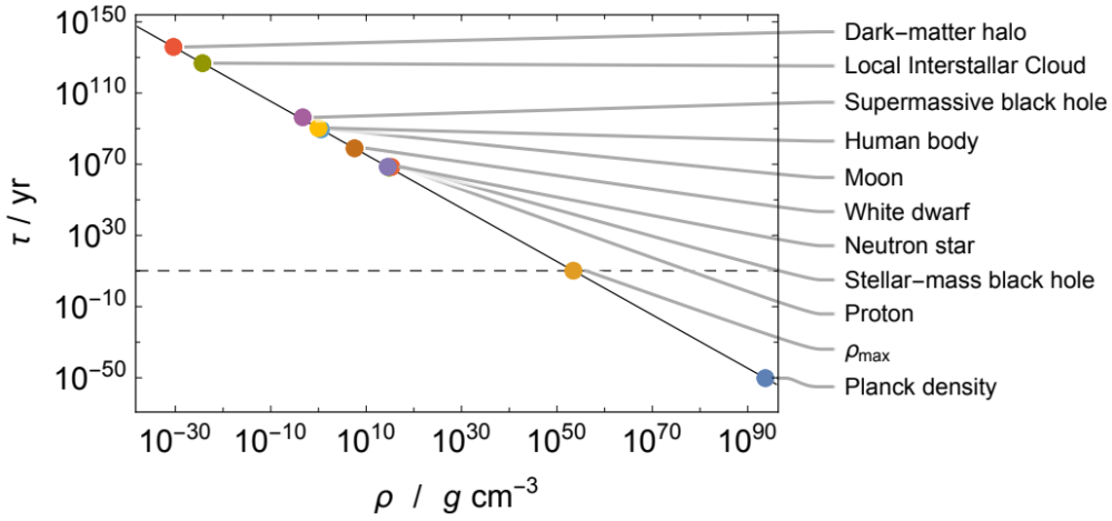
Δροσος Γεωργιος Δημοσιεύτηκε Δεκέμβριος 9, 2024 Δημοσιεύτηκε Δεκέμβριος 9, 2024 Θα γίνουν όλα ατμός ακτινοβολίας Χόκινγκ; O Στίβεν Χόκινγκ το 1974 απέδειξε ότι οι μαύρες τρύπες εκπέμπουν προς όλες τις κατευθύνσεις ένα είδος θερμικής ακτινοβολίας, την επονομαζόμενη ακτινοβολία Hawking. Aυτό σημαίνει ότι μετά από ένα εξαιρετικά μεγάλο χρονικό διάστημα, περίπου ~1067 χρόνια ή και περισσότερο, οι μαύρες τρύπες τελικά εξατμίζονται εξ’ ολοκλήρου. Πενήντα χρόνια μετά, οι φυσικοί Michael F. Wondrak, Walter D. van Suijlekom και Heino Falcke δημοσίευσαν δυο εργασίες(2) στις οποίες δείχνουν ότι αυτή η ακτινοβολία δεν περιορίζεται στις μαύρες τρύπες, υπονοώντας ότι μπορεί τελικά «όλα να εξατμίζονται». Υποστηρίζουν ότι η ακτινοβολία Hawking ίσως να μην εκπέμπεται μόνο από τις μαύρες τρύπες, αλλά είναι πιθανό να παράγεται από όλες τις μάζες που παραμορφώνουν σημαντικά τον χωροχρόνο. Προκύπτει λοιπόν το έρωτημα: Τα πάντα στο σύμπαν θα έχουν την ίδια μοίρα; Θα γίνουν όλα ‘ατμός’ ακτινοβολίας Χόκινγκ; «Όλα είναι ατμός» έλεγε ο Θανάσης Βέγγος ως Θρασύβουλας σε ταινία του 1962, πολύ πριν ανακαλυφθεί η εξάτμιση Χόκινγκ. Η ακτινοβολία Hawking προκύπτει από τον συνδυασμό δύο φαινομένων από εντελώς διαφορετικούς τομείς της φυσικής. Τη γενική σχετικότητα και την κβαντική θεωρία. Κάθε παρατηρητής στο δικό του αδρανειακό σύστημα αναφοράς αντιλαμβάνεται το κβαντικό κενό με τον ίδιο τρόπο. Δύο παρατηρητές, ένας κοντά σε μια μαύρη τρύπα και ένας μακριά από αυτή βλέπουν το κβαντικό κενό τους να συμπεριφέρεται πανομοιότυπα. Αλλά αν ρωτήσετε έναν από τους δύο παρατηρητές για το κβαντικό κενό στη θέση του άλλου παρατηρητή, θα σας πεί ότι βλέπει ένα διαφορετικό κενό στην άλλη θέση. Αυτή είναι μια από τις αξιοσημείωτες πτυχές του συνδυασμού της γενικής σχετικότητας (με το καμπυλωμένο υπόβαθρο του χώρου) με την κβαντική θεωρία πεδίου (η οποία περιγράφει τα κβαντικά πεδία): αυτά τα δύο φαινόμενα μαζί, μας δείχνουν ότι το κβαντικό κενό διαφέρει μεταξύ δύο οποιωνδήποτε περιοχών όπου η καμπυλότητα του χώρου διαφέρει.Το 1974, ο Χόκινγκ στην εργασία του με τίτλο ‘Black hole explosions?‘, ήταν ο πρώτος άνθρωπος που ενοποίησε αυτά τα γεγονότα, καταλήγοντας στο συμπέρασμα, ότι τα κβαντικά πεδία σε μια περιοχή του χωροχρόνου που είναι πολύ καμπυλωμένος (κοντά σε μια μαύρη τρύπα) οδηγούν σε έναν ειδικό τύπο ακτινοβολίας. Περίπου την ίδια εποχή, ανακαλύφθηκε ότι ένας παρατηρητής που κινείται με σταθερή επιτάχυνση στον κενό χώρο αντιλαμβάνεται ένα «λουτρό ακτινοβολίας», με την θερμοκρασία και την ενέργεια της ακτινοβολίας να εξαρτώνται από το μέγεθος της επιτάχυνσης. Αλλά αυτό συνδέεται με τη βασική ιδέα που οδήγησε τον Αϊνστάιν στην γενική θεωρία της σχετικότητας: την αρχή της ισοδυναμίας.Ο Αϊνστάιν αναρωτήθηκε, ποια θα ήταν η διαφορά μεταξύ δύο παρατηρητών που βρίσκονταν ο καθένας σε έναν εντελώς απομονωμένο από το εξωτερικό περιβάλλον, ο ένας σε ένα δωμάτιο στην επιφάνεια της Γης και ο άλλος σε ένα σκάφος κινούμενο στο διάστημα με σταθερή επιτάχυνση, όση η επιτάχυνση της βαρύτητας στην επιφάνεια της Γης. Ο Αϊνστάιν συνειδητοποίησε ότι δεν υπήρχε καμία διαφορά, οδηγούμενος στην αρχή της ισοδυναμίας, που άνοιξε το δρόμο για τη γενική σχετικότητα.Αργότερα, η αρχή της ισοδυναμίας θα είχε ιδιαίτερη σημασία για το φαινόμενο της ακτινοβολίας Hawking, καθώς αν ένας επιταχυνόμενος παρατηρητής σε κενό χώρο αντιλαμβάνεται ένα λουτρό ομοιόμορφης ακτινοβολίας, τότε ένας παρατηρητής που επιταχύνεται λόγω της στενής γειτνίασής του με μια μαύρη τρύπα θα πρέπει επίσης να βιώσει ομοιόμορφη ακτινοβολία. Επιπλέον, όσο πιο κοντά πλησιάζει στον ορίζοντα γεγονότων μιας μαύρης τρύπας, τόσο μεγαλύτερη είναι η επιτάχυνσή του, και επομένως, τόσο πιο ενεργητική θα ήταν η ακτινοβολία που θα βιώνει. Δηλαδή: ● Για έναν παρατηρητή μακριά από τον ορίζοντα γεγονότων της μαύρης τρύπας, πρακτικά δεν υπάρχει βαρυτική επιτάχυνση, κι έτσι πρακτικά δεν θα υπήρχε ακτινοβολία. ● Καθώς αρχίζει να πλησιάζει τον ορίζοντα γεγονότων της μαύρης τρύπας, η επιτάχυνσή του αυξάνεται κι έτσι αρχίζει να αντιλαμβάνεται περισσότερη ακτινοβολία. ● Και καθώς πρόκειται να φτάσει στον ορίζοντα γεγονότων, η επιτάχυνσή του αυξάνεται ακόμη περισσότερο, και έτσι η ακτινοβολία που βιώνει φτάνει στο αποκορύφωμά της. Όταν η καμπυλότητα του χώρου αυξάνεται, αυξάνεται και η επιτάχυνσή του παρατηρητή προς την κεντρική περιοχή μιας μαύρης τρύπας. Και παράλληλα αυξάνεται και η ποσότητα της ακτινοβολίας που ανιχνεύει σε αυτήν την περιοχή του χώρου. Υπάρχουν κάποια πράγματα που πρέπει να προσέξουμε σχετικά με την περιγραφή αυτού του φαινομένου. Πρώτον, δεν χρειάζεται καμία αναφορά στην αναλογία «ζευγών σωματιδίου-αντισωματιδίου» που χρησιμοποιείται τόσο συχνά από τον Χόκινγκ, καθώς αυτή η εσφαλμένη αναλογία είναι άσχετη με την παραγωγή της ακτινοβολίας. Δεύτερον, η ακτινοβολία Hawking που παράγεται δεν περιορίζεται ακριβώς στον ορίζοντα γεγονότων, αλλά μάλλον θα πρέπει να αναδύεται από οποιαδήποτε περιοχή του χώρου που έχει επαρκή χωρική καμπυλότητα ή που προκαλεί αρκετά ισχυρές επιταχύνσεις. Και τρίτον, όπως μας έμαθε ο Αϊνστάιν ότι δεν μπορούμε να διακρίνουμε τη διαφορά μεταξύ ενός βαρυτικού πεδίου και ενός επιταχυνόμενου συστήματος αναφοράς, δεν θα έπρεπε επίσης να υπάρχει διαφορά μεταξύ του χώρου έξω από μια μαύρη τρύπα και του χώρου στην ίδια απόσταση από οποιοδήποτε άλλο αντικείμενο ισοδύναμης μάζας. Αν βρίσκεστε σε μια συγκεκριμένη απόσταση από μια μάζα, που θα μπορούσε να είναι: ● ένα σημείο (σαν μαύρη τρύπα), ● ένα πολύ συμπαγές αντικείμενο που δεν καταρρέει βαρυτικά (όπως ένα άστρο νετρονίων), ● ένα λιγότερο συμπαγές αντικείμενο (όπως ένας λευκός νάνος), ● ή ένα μη συμπαγές αντικείμενο (όπως ένα άστρο), … θα βιώνατε την ίδια επιτάχυνση σε κάποια θέση με την ίδια χωρική καμπυλότητα. Εφόσον οι μάζες αυτών των διαφορετικών αντικειμένων είναι πανομοιότυπες και η απόστασή σας από το κέντρο αυτής της μάζας είναι ίδια, δεν θα πρέπει να ανιχνεύσετε καμία διαφορά σε κάθε περίπτωση.Οι φυσικοί Michael F. Wondrak, Walter D. van Suijlekom και Heino Falcke, υποστηρίζουν ότι, εφόσον οι μαύρες τρύπες παράγουν ακτινοβολία Χόκινγκ, τότε το ίδιο θα έπρεπε να κάνουν και τα άστρα νετρονίων, οι λευκοί νάνοι, τα κανονικά άστρα και οποιοδήποτε άλλο αντικείμενο. Θεωρούν ότι ο μόνος ρόλος που διαδραματίζει ο ορίζοντας γεγονότων – κάτι που διαθέτουν μόνο οι μαύρες τρύπες – είναι να καθορίζει όριο για το πού μπορεί να συλληφθεί η ακτινοβολία από την μαύρη τρύπα σε σχέση με το πού διαφεύγει από αυτή. Ο ορίζοντας γεγονότων χρησιμεύει ως το όριο για μια μαύρη τρύπα. Η επιφάνεια του άστρου νετρονίων χρησιμεύει ως το όριο για ένα άστρο νετρονίων. Το πιο εξωτερικό στρώμα ενός λευκού νάνου χρησιμεύει ως το όριο για έναν λευκό νάνο. Το τέλος της φωτόσφαιρας ενός άστρου χρησιμεύει ως το όριο για το άστρο. Σε όλες τις περιπτώσεις, υποστήριξαν οι συγγραφείς, θα εξακολουθούσε να υπάρχει η ακτινοβολία που παράγεται από τον καμπύλο χωροχρόνο γύρω από τη μάζα. Το κλάσμα αυτής της ακτινοβολίας που διαφεύγει από ένα τεράστιο αντικείμενο και εκπέμπεται στο σύμπαν ως ακτινοβολία Χόκινγκ, θα εξαρτιόταν αποκλειστικά από την μάζα και την ακτίνα του ίδιου του αντικειμένου, χωρίς να υπάρχει κάτι ιδιαίτερο σχετικά με τα όρια του ορίζοντα γεγονότων.Ακριβώς όπως το φαινόμενο Schwinger επιτρέπει την παραγωγή πραγματικών σωματιδίων που μεταφέρουν πραγματική ενέργεια από μια περιοχή του χώρου που διαθέτει ένα αρκετά ισχυρό ηλεκτρικό πεδίο, το βαρυτικό φαινόμενο της ακτινοβολίας Hawking γύρω από μια μαύρη τρύπα θα πρέπει να επιτρέπει την παραγωγή πραγματικής ακτινοβολίας, με την ποσότητα της ακτινοβολίας που διαφεύγει να εξαρτάται μόνο από την ένταση του βαρυτικού πεδίου στις σχετικές περιοχές του χώρου. Κι αυτό, εφόσον τελικά ισχύει, έχει συναρπαστικές συνέπειες.Όπως έδειξε η ίδια ομάδα φυσικών Wondrak et al σε νέα δημοσίευση με τίτλο «An upper limit to the lifetime of stellar remnants from gravitational pair production» τον Οκτώβριο του 2024, αν η καμπυλότητα του χωροχρόνου από μόνη της (και όχι η παρουσία ενός ορίζοντα γεγονότων) είναι το μόνο που απαιτείται για την παραγωγή ακτινοβολίας Hawking που μεταφέρει ενέργεια, τότε συμπαγή αστρικά υπολείμματα όπως τα άστρα νετρονίων και οι λευκοί νάνοι τελικά θα αποσυντεθούν όπως και οι μαύρες τρύπες. Η χρονική κλίμακα τ για την εξάτμιση προς ακτινοβολία Χίκινγκ ενός αντικειμένου σχετίζεται με την πυκνότητα μάζας ρ με την εξίσωση τ~ρ-3/2.Έτσι, οι αστρικές μαύρες και τα άστρα νετρονίων έχουν μάλλον συγκρίσιμο χρόνο ζωής (τ~1067−68 χρόνια), ενώ οι λευκοί νάνοι μπορούν να επιβιώσουν πολύ περισσότερο (τ ≳ 1078 χρόνια). Κατ’ αρχήν, η διαδικασία θα μπορούσε να εφαρμοστεί και σε άλλα αστροφυσικά αντικείμενα. Η Σελήνη με πυκνότητα 3,4 g/cm3 θα εξατμιστεί σε περίπου 3×1089 χρόνια και ένα σώμα με την πυκνότητα του νερού σε τ~1090 χρόνια. Οι βαρύτερες υπερμαζικές μαύρες τρύπες θα εξατμίζονται σε περίπου ~10103 χρόνια, αλλά κάτι ανάλαφρο και διάχυτο, όπως ένα διαστρικό νέφος ή, ακόμη χειρότερα, η άλως σκοτεινής ύλης, θα απαιτούσε ακόμη μεγαλύτερα χρονικά διαστήματα από 10120 έως 10140 χρόνια. Ας σημειωθεί ότι για να ‘εξατμιστεί’ ένα πρωτόνιο απαιτούνται περίπου ~1067 χρόνια (το πείραμα Super-K έδειξε ότι τα πρωτόνια έχουν χρόνο ζωής πάνω από 1034χρόνια). Ωστόσο, υπάρχουν ακόμα αναπάντητα ερωτήματα και προβληματισμοί για όλα τα παραπάνω. Το ότι οι μαύρες τρύπες εκπέμπουν ακτινοβολία Hawking, παρότι δεν έχει αποδειχθεί πειραματικά, δεν αμφισβητείται από την επιστημονική κοινότητα. Όμως, υπάρχει σκεπτικισμός από πολλούς φυσικούς για το αν οι μάζες που δεν διαθέτουν ορίζοντες γεγονότων μπορούν να κάνουν κάτι αντίστοιχο. Προς το παρόν «η εξάτμιση των πάντων προς ακτινοβολία Χόκινγκ» αποτελεί μεν μια σοβαρή επιστημονική πρόταση, αλλά απαιτεί περαιτέρω διερεύνηση. Οριστική απάντηση διαθέτει μόνο ο Θρασύβουλας. 1.Oι μαύρες τρύπες δεν είναι τόσο μαύρες, αλλά συμπεριφέρονται σαν θερμά σώματα. Εκπέμπουν θερμική ακτινοβολία και σταδιακά εξατμίζονται. 2.Η πανομοιότυπη συμπεριφορά μιας μπάλας που πέφτει στο πάτωμα σε έναν επιταχυνόμενο πύραυλο (αριστερά) και στη Γη (δεξιά) είναι μια επίδειξη της αρχής της ισοδυναμίας του Αϊνστάιν. 3.H καμπύλωση του χωροχρόνου για μια μαύρη τρύπα, ένα άστρο νετρονίων, έναν λευκό νάνο ή ένα άστρο σαν τον Ήλιο μας. Κοντά στον ορίζοντα γεγονότων μιας μαύρης τρύπας, επιτυγχάνονται πιο έντονες καμπυλότητες από οπουδήποτε αλλού. Μακριά από όλα αυτά τα αντικειμενα, ο χωροχρόνος είναι ασυμπτωτικά επίπεδος, αλλά ούτε τελείως επίπεδος ούτε πραγματικά κενός. 4.Ο ορίζοντας γεγονότων μιας μαύρης τρύπας θεωρείται ως ο βασικός παράγοντας για τη δημιουργία της ακτινοβολίας Hawking γύρω από τις μαύρες τρύπες. Όμως νέες δημοσιεύσεις υποστηρίζουν ότι αυτή η ακτινοβολία μπορεί να δημιουργηθεί ανεξάρτητα από την ύπαρξη του ορίζοντα των γεγονότων [M.F. Wondrak et al., Phys. Rev. Lett. accepted, 2023]. 5.Χαρακτηριστικό χρονοδιάγραμμα για την εξάτμιση διαφόρων αντικειμένων ως συνάρτηση της πυκνότητας μάζας. Η μαύρη συμπαγής γραμμή αντιστοιχεί στην ακριβή εξίσωση τ=f(ρ) και η διακεκομμένη γραμμή δείχνει την ηλικία του σύμπαντος [H. Falcke, MF Wondrak, & WD van Suijlekom, Journal of Cosmology and Astroparticle Physics, (submitted), 2024] Διαβάστε περισσότερες λεπτομέρειες: 1. στο εκλαϊκευμένο άρθρο του Ethan Siegel: «Will everything eventually succumb to Hawking radiation?» , 2. στα αναλυτικά άρθρα των H. Falcke, MF Wondrak, & WD van Suijlekom: «Gravitational Pair Production and Black Hole Evaporation» και «An upper limit to the lifetime of stellar remnants from gravitational pair production« Ο πλανήτης μας ειναι το λίκνο της ανθρωπότητας.Αλλα κανείς δεν περνάει ολη του τη ζωή στο λίκνο. Κονσταντίν Εντουάρντοβιτς Τσιολκόφσκι.
Δροσος Γεωργιος Δημοσιεύτηκε Δεκέμβριος 19, 2024 Δημοσιεύτηκε Δεκέμβριος 19, 2024 Μαύρη τρύπα στο πρώιμο σύμπαν παίρνει έναν… υπνάκο μετά από λουκούλειο «γεύμα» Όταν οι μαύρες τρύπες «κοιμούνται», είναι πολύ λιγότερο φωτεινές, γεγονός που καθιστά δυσκολότερο τον εντοπισμό τους. Παρά την αδράνειά της, η συγκεκριμένη μαύρη τρύπα εντοπίστηκε, λόγω του τεράστιου μεγέθους της.Μια τεράστια μαύρη τρύπα στο πρώιμο σύμπαν εντοπίστηκε από διεθνή ομάδα αστρονόμων να… κοιμάται, έπειτα από χορταστικό φαγητό.Οι ερευνητές, με επικεφαλής το Πανεπιστήμιο του Κέιμπριτζ, χρησιμοποίησαν το διαστημικό τηλεσκόπιο James Webb για να εντοπίσουν αυτή τη μαύρη τρύπα στο πρώιμο σύμπαν, που χρονολογείται μόλις 800 εκατομμύρια χρόνια μετά τη Μεγάλη Έκρηξη.Η μαύρη τρύπα είναι μία από τις πιο ογκώδεις που έχουν ανακαλυφθεί σε αυτό το σημείο ανάπτυξης του σύμπαντος: η μάζα της είναι 400 εκατομμύρια φορές η μάζα του Ήλιου μας και αποτελεί περίπου το 40% της συνολικής μάζας του γαλαξία, στον οποίο βρίσκεται. Ωστόσο, παρά το γιγάντιο μέγεθός της, αυτή η μαύρη τρύπα «τρώει» το αέριο που χρειάζεται για να αναπτυχθεί με πολύ χαμηλό ρυθμό, περίπου 100 φορές κάτω από το θεωρητικό μέγιστο όριό της, οπότε είναι ουσιαστικά αδρανής.Αυτό το εύρημα της υπερμεγέθους μαύρης τρύπας τόσο νωρίς στην εξέλιξη του σύμπαντος, η οποία όμως δεν μεγαλώνει, θέτει σε αμφισβήτηση τα υπάρχοντα μοντέλα για το πώς αναπτύσσονται οι μαύρες τρύπες. Στη δημοσίευση της έρευνας στο περιοδικό Nature, οι επιστήμονες επισημαίνουν ότι το πιο πιθανό σενάριο είναι ότι οι μαύρες τρύπες περνούν σύντομες περιόδους εξαιρετικά γρήγορης ανάπτυξης και στη συνέχεια μεγάλες περιόδους αδράνειας.Όταν οι μαύρες τρύπες «κοιμούνται», είναι πολύ λιγότερο φωτεινές, γεγονός που καθιστά δυσκολότερο τον εντοπισμό τους. Παρά την αδράνειά της, η συγκεκριμένη μαύρη τρύπα εντοπίστηκε, λόγω του τεράστιου μεγέθους της.Σύμφωνα με τα καθιερωμένα μοντέλα, οι μαύρες τρύπες σχηματίζονται από τα υπολείμματα νεκρών αστέρων και συσσωρεύουν ύλη μέχρι ένα προβλεπόμενο όριο (όριο Eddington). Ωστόσο, το τεράστιο μέγεθος αυτής της μαύρης τρύπας υποδηλώνει ότι τα καθιερωμένα μοντέλα μπορεί να μην εξηγούν επαρκώς πώς σχηματίζονται και μεγαλώνουν τέτοιες μαύρες τρύπες. «Είναι πιθανό οι μαύρες τρύπες να γεννιούνται μεγάλες, γεγονός που θα μπορούσε να εξηγήσει γιατί το James Webb εντόπισε τεράστιες μαύρες τρύπες στο πρώιμο σύμπαν. Άλλη πιθανότητα είναι ότι περνούν περιόδους υπερδραστηριότητας, ακολουθούμενες από μεγάλες περιόδους αδράνειας», δηλώνει ένας από τους συγγραφείς της μελέτης, ο καθηγητής Ρομπέρτο Μαϊολίνο, από το Ινστιτούτο Κοσμολογίας Kavli του Πανεπιστημίου του Κέμπριτζ.Οι ερευνητές διεξήγαν προσομοιώσεις σε υπολογιστές για να μοντελοποιήσουν πώς αυτή η αδρανής μαύρη τρύπα θα μπορούσε να αναπτυχθεί σε τόσο μεγάλο μέγεθος τόσο νωρίς στο σύμπαν. Διαπίστωσαν ότι το πιο πιθανό σενάριο είναι ότι οι μαύρες τρύπες μπορούν να υπερβούν το όριο Eddington για σύντομες περιόδους, κατά τη διάρκεια των οποίων μεγαλώνουν πολύ γρήγορα, ακολουθούμενες από μεγάλες περιόδους αδράνειας. Οι ερευνητές επισημαίνουν ότι μαύρες τρύπες, όπως αυτή, πιθανότατα τρώνε για πέντε έως δέκα εκατομμύρια χρόνια και κοιμούνται για περίπου 100 εκατομμύρια χρόνια. https://www.kathimerini.gr/life/science/563381680/mayri-trypa-sto-proimo-sympan-pairnei-enan-ypnako-meta-apo-loykoyleio-geyma/ Ο πλανήτης μας ειναι το λίκνο της ανθρωπότητας.Αλλα κανείς δεν περνάει ολη του τη ζωή στο λίκνο. Κονσταντίν Εντουάρντοβιτς Τσιολκόφσκι.
Δροσος Γεωργιος Δημοσιεύτηκε Ιανουάριος 2, 2025 Δημοσιεύτηκε Ιανουάριος 2, 2025 Η NASA ανακάλυψε μια «κοσμική σκηνή εγκλήματος» που αναποδογύρισε μια μαύρη τρύπα (βίντεο) Μοναδική ανακάλυψη σε ένα φακοειδή γαλαξία. Ανιχνεύοντας ένα γαλαξία σαν μια «σκηνή κοσμικού εγκλήματος» με διαστημικά και επίγεια τηλεσκόπια οι επιστήμονες της NASA ανακάλυψαν μια παράξενη μαύρη τρύπα που… γέρνει στο πλάι.Αυτή η πλάγια μαύρη τρύπα εντοπίσθηκε στο γαλαξία NGC 5084, ένα φακοειδή γαλαξία που βρίσκεται περίπου 80 εκατομμύρια έτη φωτός από τη Γη στον αστερισμό της Παρθένου. Οι φακοειδείς γαλαξίες είναι ένας τύπος γαλαξιών με χαρακτηριστικά τόσο ελλειπτικών όσο και σπειροειδών γαλαξιών.Η μαύρη τρύπα στον NGC 5084 περιστρέφεται σε μια απροσδόκητη κατεύθυνση σε σχέση με το γαλαξία που τη φιλοξενεί. Η ομάδα αντιλήφθηκε την ύπαρξη αυτής της μαύρης τρύπας όταν ανακάλυψε δύο δέσμες πλάσματος μια που εκτείνεται πάνω και κάτω από το επίπεδο του γαλαξία και μία που εκτείνεται μέσα στον γαλαξία διασχίζοντας ο ένας τον άλλον και σχηματίζοντας ένα σχήμα «Χ». Αυτή η γαλαξιακή δομή είναι κάτι που οι αστρονόμοι δεν έχουν ξαναδεί.«Η ανίχνευση δύο ζευγών δεσμών ακτίνων Χ σε έναν γαλαξία είναι εξαιρετική. Ο συνδυασμός της ασυνήθιστης δομής τους σε σχήμα σταυρού και του ‘αναποδογυρισμένου’ σκονισμένου δίσκου μας δίνει μοναδικές γνώσεις για την ιστορία αυτού του γαλαξία» αναφέρουν ερευνητές του Ames Research Center της NASA οι οποίοι μελέτησαν και αρχειακό υλικό, δεδομένα που έχουν συλλέξει επίγεια και διαστημικά τηλεσκόπια όπως το Hubble από τον εν λόγω γαλαξία σε βάθος χρόνου τριάντα ετών για διαπιστώσουν τι συμβαίνει σε αυτόν. Το «έγκλημα» Οι επιστήμονες πίσω από την ανακάλυψη πιστεύουν ότι ένα δραματικό γεγονός στην ιστορία του NGC 5084 μπορεί να είναι υπεύθυνο για αυτό το φαινόμενο που μοιάζει σαν ένα ξαφνικό «κοσμικό χτύπημα» στη μαύρη τρύπα που της άλλαξε την τοποθέτηση και… στάση της. «Ήταν σαν να βλέπεις μια σκηνή εγκλήματος με πολλαπλούς τύπους φωτός. Η συγκέντρωση όλων των εικόνων αποκάλυψε ότι ο γαλαξίας NGC 5084 έχει αλλάξει πολύ στο πρόσφατο παρελθόν του» λέει ο Αλεχάντρο Σεράνο Μπορλάφ επιστήμονας Ames Research Center, επικεφαλής της ερευνητικής ομάδας που δημοσιεύει τα ευρήματα της στην επιθεώρηση «The Astrophysical Journal». Τι «έγκλημα» υποπτεύεται λοιπόν η ομάδα ότι έγινε στο NGC 5084 και χτύπησε αυτή τη μαύρη τρύπα; Επί του παρόντος, ο «πρώτος ύποπτος» είναι μια σύγκρουση με έναν άλλο γαλαξία που δημιούργησε μια «καμινάδα» πλάσματος που εξερράγη από το πάνω και το κάτω μέρος του ισημερινού του NGC 5084.Αν και θα χρειαστούν περισσότερες έρευνες του NGC 5084 για να προσδιοριστεί σωστά το βίαιο γεγονός που σμίλεψε την παράξενη δομή του αυτή η έρευνα καταδεικνύει τη δύναμη των αρχειακών δεδομένων που βοηθούν τους επιστήμονες να κάνουν νέες και μοναδικές ανακαλύψεις. https://www.naftemporiki.gr/techscience/1866584/i-nasa-anakalypse-mia-kosmiki-skini-egklimatos-poy-anapodogyrise-mia-mayri-trypa-vinteo/ Ο πλανήτης μας ειναι το λίκνο της ανθρωπότητας.Αλλα κανείς δεν περνάει ολη του τη ζωή στο λίκνο. Κονσταντίν Εντουάρντοβιτς Τσιολκόφσκι.
Δροσος Γεωργιος Δημοσιεύτηκε Ιανουάριος 13, 2025 Δημοσιεύτηκε Ιανουάριος 13, 2025 Αστρονόμοι βλέπουν μαύρη τρύπα να «αρπάζει» δύο άστρα με το ένα να γίνεται το… γεύμα της και το άλλο να καταφέρνει να το σκάσει. Σπάνιο εντυπωσιακό κοσμικό φαινόμενο για την συμπεριφορά των μελανών οπών στο Σύμπαν. Ομάδα αστρονόμων παρακολούθησε ένα σπάνιο φαινόμενο με μια μαύρη τρύπα να επιτίθεται σε ένα δυαδικό αστρικό σύστημα συλλαμβάνοντας και τα δύο άστρα αλλά αφήνοντας το ένα διαφύγει για να… καταβροχθίσει με την ησυχία της το άλλο.Ονομάζεται «γεγονός παλιρροϊκής διαταραχής» ή TDE και αφορά τη διαδικασία όπου μαύρες τρύπες συλλαμβάνουν στα τρομερά βαρυτικά τους δίχτυα άστρα τα οποία διαλύονται κυριολεκτικά με την ύλη τους να πέφτει μέσα στη μαύρη τρύπα παράγοντας διάφορα κοσμικά φαινόμενα που ξεκινούν από την αύξηση της μάζας της μαύρης τρύπας και καταλήγουν σε εκτόξευση τρομερής ισχύος, ταχύτητας και φωτεινότητας πιδάκων ύλης και ενέργειας.Έχει διαπιστωθεί ότι υπάρχουν διαφόρων τύπων TDE με τον πιο σπάνιο που έχει καταγραφεί μόλις 4-5 φορές να έχει να κάνει με TDE που παράγουν αλλεπάλληλες εκλάμψεις.Με δημοσίευση της στην διαδικτυακό αρχείο προδημοσιεύσεων arXiv ομάδα αστρονόμων υποστηρίζει ότι έχει την απάντηση για αυτό το φαινόμενο παρατηρώντας ένα TDE επαναλαμβανόμενων εκλάμψεων σε απόσταση περίπου 408 εκατομμυρίων ετών φωτός μακριά από τη Γη στην καρδιά του γαλαξία WISEA J122045.05+493304.7.«Αυτό το TDE θα μπορούσε να προκύψει από μια μαύρη τρύπα που πιάνει δυαδικά άστρα, επιτρέποντας στο ένα να διαφύγει και στη συνέχεια να καταβροχθίσει το άλλο. Εάν αυτό ισχύει η περαιτέρω παρατήρηση αυτού του γεγονότος, που ονομάζεται ASASSN-22ci, θα μπορούσε να λύσει το μυστήριο των επαναλαμβανόμενων TDEs. Μόνο μια χούφτα TDEs έχουν δείξει πολλές εκλάμψεις μέχρι σήμερα. Πρόσφατες εκτιμήσεις υποδηλώνουν ότι ο ρυθμός αυτών των γεγονότων μπορεί να είναι περίπου 15 έως 20 φορές λιγότερο συνηθισμένος από τα τυπικά TDE. Αν και αυτά τα συμβάντα μπορεί να είναι σπάνια, έχουν τη δυνατότητα να έχουν τεράστιο αντίκτυπο στην κατανόησή μας για τη φυσική των TDE επιτρέποντάς μας να μελετήσουμε τις πρώτες φάσεις τους με άνευ προηγουμένου λεπτομέρεια» ανέφερε στο Space.com ο Τζέισον Χινκλ, αστρονόμος του Πανεπιστημίου της Χαβάης, επικεφαλής της ερευνητικής ομάδας. Καλλιτεχνική απεικόνιση της μαύρης τρύπας που απορροφά την ύλη του ενός άστρου ενώ το άλλο προσπαθεί να διαφύγει. πηγή φωτό. (Roebrt Lea.Canvas) https://www.naftemporiki.gr/techscience/1879355/astronomoi-vlepoyn-mayri-trypa-na-arpazei-dyo-astra-me-to-ena-na-ginetai-to-geyma-tis-kai-to-allo-na-katafernei-na-to-skasei/ Ο πλανήτης μας ειναι το λίκνο της ανθρωπότητας.Αλλα κανείς δεν περνάει ολη του τη ζωή στο λίκνο. Κονσταντίν Εντουάρντοβιτς Τσιολκόφσκι.
Δροσος Γεωργιος Δημοσιεύτηκε Ιανουάριος 20, 2025 Δημοσιεύτηκε Ιανουάριος 20, 2025 Αστρονόμοι εντόπισαν εκατοντάδες γιγάντιες μαύρες τρύπες που κρύβονταν πίσω από κοσμικές… κουρτίνες. Η ανακάλυψη υποδεικνύει την ύπαρξη αμέτρητων τέτοιων κρυμμένων μελανών οπών στο Σύμπαν. Με δημοσίευση της στην επιθεώρηση «Astrophysical Journal» ομάδα αστρονόμων παρουσιάζει την ανακάλυψη εκατοντάδων τεραστίων διαστάσεων μαύρων τρυπών οι οποίες παρέμεναν αθέατες μέχρι σήμερα κρυμμένες πίσω από πυκνά νέφη σκόνης και αερίων και μπορεί να υπάρχουν δισεκατομμύρια ή ακόμα και τρισεκατομμύρια κρυμμένες μαύρες τρύπες στο Σύμπαν.Οι ερευνητές εντόπισαν αυτές τις γιγάντιες μαύρες τρύπες κοιτάζοντας μέσα από νέφη σκόνης και αερίων στο υπέρυθρο φως. Τα ευρήματα θα μπορούσαν να βοηθήσουν τους αστρονόμους να βελτιώσουν τις θεωρίες τους για το πώς εξελίσσονται οι γαλαξίες λένε οι ερευνητές.Το κυνήγι για τις μαύρες τρύπες είναι δύσκολη δουλειά. Είναι τα πιο σκοτεινά αντικείμενα στο Σύμπαν, καθώς ούτε το φως μπορεί να ξεφύγει από τη βαρυτική τους έλξη. Οι επιστήμονες μπορούν μερικές φορές να «βλέπουν» τις μαύρες τρύπες όταν καταβροχθίζουν την ύλη γύρω τους. H ύλη επιταχύνεται πολύ γρήγορα και λάμπει. Αλλά δεν έχουν όλες οι μαύρες τρύπες ένα φωτεινό ορατό δακτύλιο, οπότε η εύρεση τους απαιτεί λίγο περισσότερη δημιουργικότητα.Οι αστρονόμοι πιστεύουν ότι υπάρχουν δισεκατομμύρια, ή ίσως και τρισεκατομμύρια, υπερμεγέθεις μαύρες τρύπες, μαύρες τρύπες με μάζα τουλάχιστον 100.000 φορές μεγαλύτερη από αυτή του ήλιου μας, στο Σύμπαν. Κάποιος πιθανώς κρύβεται στο κέντρο κάθε μεγάλου γαλαξία. Αλλά είναι αδύνατο για τους επιστήμονες να μετρήσουν κάθε υπερμεγέθη μαύρη τρύπα. Αντίθετα πρέπει να κάνουν έρευνες σε κοντινούς γαλαξίες για να υπολογίσουν τον αριθμό αυτών των μαύρων οπών που κρύβονται στις κοντινές περιοχές της γαλαξιακής μας γειτονιάς.Υπάρχει μόνο ένα πρόβλημα: Ενώ ορισμένες μαύρες τρύπες είναι αρκετά εμφανείς χάρη στο φωτοστέφανο της ύλης που τις περιβάλλει άλλες υπάρχουν και λειτουργούν κάτω από το ραντάρ. Αυτό θα μπορούσε να οφείλεται στο ότι καλύπτονται από νέφη αερίου και σκόνης που δεν έχουν ακόμη επιταχυνθεί αρκετά ώστε να πυρακτωθούν και να λάμψουν ή επειδή τα βλέπουμε σε λάθος γωνία. Η νέα μελέτη εκτιμά ότι περίπου το 35% των υπερμεγέθων μαύρων τρυπών κρύβονται με αυτόν τον τρόπο. Αυτή είναι μια δραματική αύξηση από την προηγούμενη εκτίμηση του 15%, αν και οι ερευνητές πιστεύουν ότι ο πραγματικός αριθμός θα μπορούσε να είναι πιο κοντά στο 50%. Η μέθοδος Ωστόσο οι αστρονόμοι βρίσκουν τρόπους για να τις εντοπίσουν. Τα νέφη γύρω από τις σκοτεινές μαύρες τρύπες εξακολουθούν να εκπέμπουν λίγο φως μόνο στο υπέρυθρο, παρά στο ορατό φάσμα. Στη νέα μελέτη οι ερευνητές χρησιμοποίησαν δεδομένα από δύο όργανα για να ανιχνεύσουν αυτές τις υπέρυθρες εκπομπές. Ο πρώτος ήταν ο υπέρυθρος αστρονομικός δορυφόρος της NASA (IRAS), ο οποίος λειτούργησε για μόλις 10 μήνες το 1983 και ήταν το πρώτο διαστημικό τηλεσκόπιο που κοίταξε στην υπέρυθρη περιοχή. Το δεύτερο ήταν το Nuclear Spectroscopic Telescope Array (NuSTAR) ένα διαστημικό τηλεσκόπιο που διευθύνεται από το Εργαστήριο Αεριώθησης της NASA (JPL) και μπορεί να ανιχνεύσει τις υψηλής ενέργειας ακτίνες Χ που εκπέμπονται από την υπερθερμασμένη ύλη που στροβιλίζεται γύρω από τις μαύρες τρύπες.Χρησιμοποιώντας αρχειακά δεδομένα από το IRAS οι ερευνητές εντόπισαν εκατοντάδες πιθανές κρυμμένες μαύρες τρύπες. Στη συνέχεια χρησιμοποίησαν επίγεια τηλεσκόπια ορατού φωτός για να αποκλείσουν ορισμένους υποψήφιους και να επιβεβαιώσουν άλλους. Μερικοί υποψήφιοι αποδείχθηκαν ότι ήταν γαλαξίες στη διαδικασία σχηματισμού πολλών άστρων αλλά πολλοί ήταν μαύρες τρύπες που κρύβονταν πίσω από τα νέφη.«Με εκπλήσσει πόσο χρήσιμοι ήταν το IRAS και το NuSTAR για αυτό το έργο, ειδικά παρά το γεγονός ότι το IRAS ήταν λειτουργικό πριν από περισσότερα από 40 χρόνια», δήλωσε ο Πίτερ Μπούρμαν αστροφυσικός στο Ινστιτούτο Τεχνολογίας της Καλιφόρνια (Caltech) εκ των επικεφαλής της ερευνητικής ομάδας.Αυτή η τεχνική μπορεί να βοηθήσει τους αστρονόμους να προσδιορίσουν πόσο κοινές είναι οι υπερμεγέθεις μαύρες τρύπες στο Σύμπαν και τι ρόλο παίζουν στο σχηματισμό των γαλαξιών. Για παράδειγμα αυτά τα γιγάντια «όντα» στο χωροχρόνο μπορεί να προκαλέσουν στον περιορισμό του μεγέθους ενός γαλαξία, έλκοντάς τον προς ένα βαρυτικό κέντρο ή καταναλώνοντας τεράστιες ποσότητες ύλης σχηματισμού άστρων. Η τεχνική μπορεί ακόμη και να βοηθήσει τους επιστήμονες να μάθουν περισσότερα για την καρδιά του δικού μας Γαλαξία.«Αν δεν είχαμε μια υπερμεγέθη μαύρη τρύπα στον γαλαξία μας, μπορεί να υπήρχαν πολλά περισσότερα άστρα στον ουρανό» λέει Πόσακ Γκάντι καθηγητής αστροφυσικής στο Πανεπιστήμιο του Σαουθάμπτον εκ των επικεφαλής της ερευνητικής ομάδας. https://www.naftemporiki.gr/techscience/1887195/astronomoi-entopisan-ekatontades-giganties-mayres-trypes-poy-kryvontan-piso-apo-kosmikes-koyrtines/ Ο πλανήτης μας ειναι το λίκνο της ανθρωπότητας.Αλλα κανείς δεν περνάει ολη του τη ζωή στο λίκνο. Κονσταντίν Εντουάρντοβιτς Τσιολκόφσκι.
Δροσος Γεωργιος Δημοσιεύτηκε Ιανουάριος 27, 2025 Δημοσιεύτηκε Ιανουάριος 27, 2025 Αστρονόμοι παρακολουθούν για πρώτη φορά live μια μαύρη τρύπα να εκτοξεύει πίδακα ύλης. Πρόκειται για μια κολοσσιαία μελανή οπή με μάζα 1.4 δις. φορές μεγαλύτερη από αυτή του Ήλιου. Διεθνής ομάδα αστρονόμων παρακολούθησε για πρώτη φορά σε πραγματικό χρόνο τη στιγμή που μια υπερμεγέθης μαύρη τρύπα στην καρδιά ενός μακρινού γαλαξία μετά την απορρόφηση ύλης που έχει πέσει στα τρομερά βαρυτικά της δίχτυα εκτοξεύει ένα μέρος αυτής της ύλης με την μορφή ενός γιγάντιου πίδακα.Η εν λόγω μαύρη τρύπα, η οποία έχει μάζα περίπου 1.4 δισεκατομμύρια φορές μεγαλύτερη από αυτή του Ήλιου, βρίσκεται στην καρδιά ενός γαλαξία που ονομάζεται 1ES 1927+654 ο οποίος βρίσκεται περίπου 270 εκατομμύρια έτη φωτός μακριά στον αστερισμό του Δράκου. Σύμφωνα με τους αστρονόμους που παρατηρούν το φαινόμενο στην πραγματικότητα από τη μαύρη τρύπα ξεπηδούν δύο πίδακες που κινούνται με ταχύτητα 100 χιλιάδες χλμ./δευτ. (το ένα τρίτο της ταχύτητας του φωτός) και έχουν έκταση περίπου πέντε τρισ. χλμ. δηλαδή 50% της έκτασης ενός έτους φωτός. Έχουν παρατηρηθεί τέτοιοι πίδακες που πηγάζουν από μαύρες τρύπες οι οποίοι έχουν έκταση 23 έτη φωτός.«Η εκτόξευση ενός πίδακα μαύρης τρύπας δεν έχει παρατηρηθεί ποτέ πριν σε πραγματικό χρόνο», δήλωσε η αστρονόμος Ειλιν Μέγιερ του Πανεπιστημίου Rice στο Τέξας, επικεφαλής της ερευνητικής ομάδας. Τέτοιοι πίδακες είναι τυπικοί σε ενεργούς γαλαξιακούς πυρήνες (AGNs) στους οποίους οι μαύρες τρύπες μέσα στους γαλαξίες απορροφούν με αέριο και σκόνη που τις περιβάλλουν. Το υλικό που δεν πέφτει στο εσωτερικό της μαύρης τρύπας μπορεί να διοχετευτεί στους πόλους της μαύρης τρύπας.Σε αυτούς τους πόλους ισχυρά μαγνητικά πεδία επιταχύνουν αυτά τα σωματίδια μέχρι να δημιουργηθεί ένα είδος κοσμικής έκρηξης που δημιουργεί αυτούς τους τρομερούς σε ταχύτητα και μέγεθος πίδακες. Αν και οι αστρονόμοι παρατηρούν πολλούς από αυτούς τους πίδακες δεν είχαν ξαναδεί ποτέ έναν καθώς εκρήγνυται σε πραγματικό χρόνο. Έτσι αυτή η ανακάλυψη θα μπορούσε να βοηθήσει στην καλύτερη κατανόηση του τρόπου με τον οποίο σχηματίζονται αυτοί οι πίδακες. https://www.naftemporiki.gr/techscience/1892486/astronomoi-parakoloythoyn-gia-proti-fora-live-mia-mayri-trypa-na-ektoxeyei-pidaka-ylis/ Ο πλανήτης μας ειναι το λίκνο της ανθρωπότητας.Αλλα κανείς δεν περνάει ολη του τη ζωή στο λίκνο. Κονσταντίν Εντουάρντοβιτς Τσιολκόφσκι.
Δροσος Γεωργιος Δημοσιεύτηκε Φεβρουάριος 4, 2025 Δημοσιεύτηκε Φεβρουάριος 4, 2025 Ο νομπελίστας Κιπ Θορν αποκαλύπτει στην «Κ» τα μυστήρια του «Interstellar» «Μία ώρα εδώ… ισοδυναμεί με επτά χρόνια στη Γη». Αυτή η ατάκα, η οποία έγινε συνώνυμη με την ταινία «Interstellar» και αποτυπώνει το ταξίδι στον χωροχρόνο και τη θεωρία της γενικής σχετικότητας του Αϊνστάιν, έμελλε να εισαγάγει τους θεατές σε έννοιες όπως μαύρη τρύπα, πέμπτη διάσταση και σκουληκότρυπα. Δέκα χρόνια μετά την πρώτη προβολή της εμβληματικής ταινίας του Κρίστοφερ Νόλαν και την επιστροφή της στις αίθουσες, η «Κ» συνομίλησε με τον επιστημονικό διευθυντή της ταινίας και ομότιμο καθηγητή Θεωρητικής Φυσικής στο Ινστιτούτο Τεχνολογίας της Καλιφόρνιας (Caltech), Κιπ Θορν.Με τη χαρακτηριστική δίχρωμη γενειάδα και την απλοποίηση των όρων της φυσικής επιστήμης, ο βραβευμένος με Νομπέλ Φυσικής (για τον εντοπισμό των βαρυτικών κυμάτων, το 2017) Κιπ Θορν εξηγεί βασικές έννοιες και προβληματισμούς που έμειναν αναπάντητα στην ταινία, όπως η πέμπτη διάσταση, και αποκαλύπτει τι συζήτησε με τον Κρίστοφερ Νόλαν μετά την ανακάλυψη των βαρυτικών κυμάτων, τα οποία είχαν μείνει έξω από το τελικό σενάριο. Ο Κιπ Θορν αποκαλύπτει ότι ο Κρίστοφερ Νόλαν μετάνιωσε που αφαίρεσαν από το «Interstellar» ό,τι αφορούσε τα βαρυτικά κύματα. [A.P. Photo/Jae C. Hong] – Καθηγητά Θορν, κοιτάζοντας πίσω, ποια πιστεύετε ότι ήταν η πιο σημαντική επιστημονική ιδέα που παρουσιάστηκε στο κοινό μέσω του «Interstellar»; – Υπήρξαν πολλές ιδέες που παρουσιάστηκαν στο κοινό, αλλά αυτή που ήταν ίσως η πιο δυνατή και άφησε τη μεγαλύτερη εντύπωση ήταν το γεγονός ότι ο χρόνος ρέει διαφορετικά σε διαφορετικές τοποθεσίες του σύμπαντος. Το γεγονός ότι ο Κούπερ (στην ταινία τον υποδύεται ο Μάθιου Μακόναχι) μπορούσε να κατέβει στον πλανήτη Μίλερ κοντά στη μαύρη τρύπα, να μείνει εκεί για λίγες ώρες και να επιστρέψει, και να έχουν περάσει τόσο πολλά έτη στη Γη και στο μητρικό σκάφος, ήταν εντυπωσιακό. Επίσης, το γεγονός ότι η κόρη του, όταν ο Κούπερ ήταν κοντά στη μαύρη τρύπα, γέρασε την πρώτη φορά, από περίπου δέκα ετών, που ήταν, σε περίπου 28 ετών, και τη δεύτερη φορά που ο Κούπερ ήταν κοντά στη μαύρη τρύπα, η κόρη του έγινε μια πολύ ηλικιωμένη γυναίκα στα 90 της, ήταν οπτικά τόσο συναρπαστικό για πολύ κόσμο, που πραγματικά πήραν μια αίσθηση της σχετικότητας του χρόνου. – Κατά τη διάρκεια του σχεδιασμού, πόσο δύσκολος ήταν ο συνδυασμός της θεωρητικής φυσικής με το χολιγουντιανό κινηματογραφικό πλαίσιο; – Η εταιρεία οπτικών εφέ που δημιούργησε τα εφέ και κέρδισε το Οσκαρ, όταν προσπάθησε να χρησιμοποιήσει τις συνήθεις μεθόδους για να φτιάξει εικόνες εκχέοντας ακτίνες φωτός από μία πηγή φωτός γύρω από μια σχεδιασμένη μαύρη τρύπα σε μια κάμερα Imax, δεν κατόρθωσε να το πετύχει. Οι εικόνες ήταν πολύ σπασμωδικές και είχαν οδοντωτές άκρες. Eτσι έπρεπε να επινοήσω έναν εντελώς νέο τρόπο για να φτιάχνω εικόνες. Το πρόβλημα ήταν ότι όταν δύο ακτίνες φωτός περνούν από μια μαύρη τρύπα, οι παλιρροϊκές δυνάμεις σπρώχνουν τις ακτίνες φωτός χώρια. Και έτσι έχουμε ένα μεγάλο κενό μεταξύ των ακτίνων φωτός.Eπειτα, ο Oλιβερ Τζέιμς (υπεύθυνος οπτικών εφέ) είχε την ιδέα και του έδειξα πώς να την εφαρμόσει, πώς θα διαδίδονταν οι ακτίνες φωτός που επικαλύπτονταν. Ετσι αναπτύξαμε μια τεχνική και τα μαθηματικά για τη χρήση δύο ακτίνων, την εφαρμόσαμε και γράψαμε μια τεχνική εργασία που δημοσιεύτηκε στη βιβλιογραφία της Φυσικής και είχε αντίκτυπο τόσο στους φυσικούς όσο και στους κινηματογραφιστές. Οπότε δεν είναι αυτή η απάντηση που περιμένατε, αλλά στην πραγματικότητα ήταν ένα τεχνικά πολύ δύσκολο πρόβλημα, που λύσαμε με έναν τρόπο που έχει διαρκή αντίκτυπο. – Υπάρχει κάποια επιστημονική έννοια που θα θέλατε να είχατε συμπεριλάβει ή να είχατε διερευνήσει περισσότερο στην ταινία; – Λοιπόν, ναι. Στην αρχική ταινία είχαμε συμπεριλάβει τα βαρυτικά κύματα και τα τρία πρώτα προσχέδια του σεναρίου γράφτηκαν από τον αδελφό του Κρίστοφερ Νόλαν, τον Τζόναθαν. Hταν μια πρώιμη περίοδος όπου ο σκηνοθέτης της ταινίας ήταν στην πραγματικότητα ο Στίβεν Σπίλμπεργκ. Ο Κρίστοφερ Νόλαν δεν είχε σχέση με την ταινία στην αρχή και έτσι ο Τζόναθαν κι εγώ είχαμε δημιουργήσει έναν πρόλογο, ένα άνοιγμα της ταινίας όπου θα βλέπαμε το στόμιο της σκουληκότρυπας που βρίσκεται κοντά στον Κρόνο, όπου λόγω των βαρυτικών κυμάτων ένα αστέρι νετρονίων θα εισερχόταν και θα συγκρουόταν με μια μαύρη τρύπα. Επομένως, τα βαρυτικά κύματα θα ταξίδευαν μέσω της σκουληκότρυπας και θα έφταναν στη Γη.Η κατανόησή μας για τις μαύρες τρύπες και τα βαρυτικά κύματα έχει αλλάξει πάρα πολύ μέσα στα δέκα χρόνια που πέρασαν από την προβολή της ταινίας.Oταν ήρθε ο Κρίστοφερ Νόλαν στην ταινία, αποφάσισε ότι χρειαζόταν περισσότερος χώρος για το «ξεδίπλωμα» της επιστήμης ώστε να κατανοηθεί και έτσι είπε ότι θα αφαιρέσουμε όλα τα βαρυτικά κύματα από την ταινία. Και ένα χρόνο αφότου βγήκε η ταινία, ανακοινώσαμε με το πρόγραμμα «LIGO», στο οποίο συμμετείχα, ότι είχαμε ανακαλύψει βαρυτικά κύματα. Ο Κρίστοφερ Νόλαν μου τηλεφώνησε την επόμενη ημέρα και μου είπε, «σε παρακαλώ, έλα στο σπίτι μου, θέλω να μιλήσουμε». Μιλήσαμε για περίπου μιάμιση ώρα, για όλα τα πράγματα που θα μπορούσε να είχε κάνει με τα βαρυτικά κύματα αν τα είχε κρατήσει στην ταινία, αλλά τελικά είπε, «φυσικά δεν υπάρχει επιστροφή. Δεν μπορούμε να αλλάξουμε το παρελθόν». Και έτσι προχώρησε. Αλλά ναι, νομίζω ότι και αυτός και εγώ μετανιώσαμε που τα βαρυτικά κύματα δεν ήταν στην ταινία. – Δέκα χρόνια από το «Interstellar», πόσο έχει προχωρήσει η έρευνα στον τομέα των μαύρων τρυπών και των βαρυτικών κυμάτων; – Υπήρξαν τεράστιες εξελίξεις και εντυπωσιακή πρόοδος. Iσως η πιο σημαντική ήταν η απεικόνιση μιας μαύρης τρύπας από το ραδιοτηλεσκόπιο Event Horizon, το οποίο στην πραγματικότητα ήταν μια συστοιχία ραδιοτηλεσκοπίων, που βρίσκονταν σε όλο τον κόσμο και είδαν ταυτόχρονα τη μαύρη τρύπα στο κέντρο του γαλαξία Μ87. Είναι πολύ συναρπαστικό να έχουμε πραγματικές εικόνες και σύντομα ταινίες από πράγματα που περιφέρονται γύρω από μια μαύρη τρύπα, όπου θα βλέπετε πραγματικά τη σκιά της. Και έτσι ήταν πολύ ενδιαφέρον να δούμε τις ομοιότητες και τις διαφορές μεταξύ αυτών των εικόνων που δημιουργήσαμε και της μαύρης τρύπας που ανακαλύφθηκε.Στο πεδίο των βαρυτικών κυμάτων βλέπουμε αρκετές συγκρούσεις μαύρων τρυπών κάθε εβδομάδα, κάτι που είναι φανταστικό. Και στη συνέχεια, οι προσομοιώσεις των συγκρούσεων των μαύρων τρυπών στον υπολογιστή μας μας δείχνουν πώς συμπεριφέρεται ο στρεβλωμένος χωροχρόνος σε μια σύγκρουση μαύρων τρυπών, η οποία είναι κάτι σαν καταιγίδα στο σχήμα του χώρου και ο ρυθμός ροής του χρόνου είναι εξίσου παρόμοιος με μια μεγάλη καταιγίδα που διασχίζει τον ωκεανό. Και έτσι η κατανόησή μας για τις μαύρες τρύπες και τα βαρυτικά κύματα έχει αλλάξει πάρα πολύ μέσα στα δέκα χρόνια που πέρασαν από το «Interstellar». – Σε μία από τις τελευταίες σκηνές της ταινίας, βλέπουμε την πέμπτη διάσταση, όπου ο χωροχρόνος παύει να είναι δύο ξεχωριστές οντότητες. Πώς ακριβώς λειτουργεί η πέμπτη διάσταση και πόσο εφικτό είναι να χειραγωγήσετε τον χωροχρόνο για να έρθετε σε επαφή με το παρελθόν; – Μόλις είχαμε αρχίσει να δουλεύουμε πάνω στην ταινία, ο Κρίστοφερ Νόλαν μου είπε ότι θαύμαζε πολύ τον Στάνλεϊ Κιούμπρικ και την ταινία που έκανε, «2001: H Οδύσσεια του Διαστήματος», η οποία έχει ένα πολύ παράξενο τέλος που είναι λίγο δύσκολο να το καταλάβει κανείς. Και ο Νόλαν μου είπε, «θέλω να έχω ένα τέλος που να είναι ακόμη πιο δύσκολο να το καταλάβεις από την ταινία του Κιούμπρικ». Και αυτό είναι που έχουμε, το οποίο περιλαμβάνει την πέμπτη διάσταση. Και νομίζω ότι το μόνο μέρος όπου μπορείτε να πάτε για να κατανοήσετε πραγματικά πλήρως την πέμπτη διάσταση είναι στο βιβλίο μου «Η επιστήμη του Interstellar» (στα ελληνικά από τις εκδόσεις Ροπή).Αυτό που θα προσθέσω και που δεν καταλαβαίνουν οι περισσότεροι άνθρωποι είναι ότι όταν ο Κούπερ μπαίνει μέσα στη μαύρη τρύπα, αιχμαλωτίζεται πολύ κοντά στο κέντρο της μαύρης τρύπας από ένα διαστημόπλοιο που ταξιδεύει στην πέμπτη διάσταση που ονομάζεται Τεσσεράκτιο, του οποίου βλέπετε το εσωτερικό του. Το Τεσσεράκτιο βγαίνει έξω από το σύμπαν μας, έξω από τη διάστασή μας, καθώς το σύμπαν έχει τέσσερις διαστάσεις μέχρι αυτό που κάποιοι ονομάζουν υπερδιάστημα, ή οι φυσικοί το ονομάζουν όγκο (bulk) ή στην ταινία ονομάζεται πέμπτη διάσταση. Μέσω αυτής μπορεί να ταξιδέψει γρήγορα με το Τεσσεράκτιο πίσω στη Γη, στην περιοχή της κρεβατοκάμαρας της κόρης του, και στη συνέχεια, αυτό που βλέπετε στο τελευταίο μέρος της ταινίας είναι ότι βρίσκεται αγκιστρωμένος δίπλα από την κρεβατοκάμαρα της κόρης του σε αυτή την υψηλότερη διάσταση, την πέμπτη διάσταση.Αυτό που δεν εξηγείται ποτέ στην ταινία, αλλά εξηγείται στο βιβλίο μου, είναι πως ποτέ δεν πηγαίνει ο ίδιος πίσω στον χρόνο, αλλά στέλνει σήματα πίσω στον χρόνο στην κόρη του. Και αυτό συμβαίνει επειδή στην υψηλότερη διάσταση όπου βρίσκεται ο Κούπερ, στο εσωτερικό του Τεσσεράκτιου, υπάρχει βασικά μια μηχανή του χρόνου που ονομάζουμε κλειστές χρονικές καμπύλες και δεν ξέρω αν οι νόμοι της φυσικής επιτρέπουν κάτι τέτοιο, δηλαδή να πάμε πίσω στον χρόνο. Η καλύτερη εικασία μας είναι ότι όποτε ένας πολύ προηγμένος πολιτισμός προσπαθεί να κατασκευάσει μια μηχανή του χρόνου για να πάει πίσω στον χρόνο, όπως αυτή που εμφανίζεται στο «Interstellar», αυτή η μηχανή του χρόνου καταστρέφεται τη στιγμή που την ενεργοποιεί. Αλλά και πάλι δεν είμαστε καθόλου σίγουροι ότι συμβαίνει. – Ολοκληρώνοντας, ποιο θεωρείτε ότι είναι το πιο σημαντικό επιστημονικό ερώτημα που θα θέλατε να δείτε να απαντάται τα επόμενα χρόνια; – Θα ήθελα να κατανοήσω τη γέννηση του σύμπαντος και τους νόμους της φυσικής που ελέγχουν τη γέννηση του σύμπαντος, τους οποίους αποκαλούμε νόμους της κβαντικής βαρύτητας. Ωστόσο, για να την κατανοήσουμε πραγματικά, χρειαζόμαστε δεδομένα παρατήρησης σχετικά με την κβαντική βαρύτητα και τη γέννηση του σύμπαντος. Και υπάρχει μια μορφή ακτινοβολίας που μπορεί να δημιουργηθεί κατά τη γέννηση του σύμπαντος και να ταξιδέψει στη Γη χωρίς να απορροφηθεί ή να διασκορπιστεί από όλη την ύλη.Είμαι αισιόδοξος ότι μέσα στις επόμενες δεκαετίες οι ανιχνευτές βαρυτικών κυμάτων θα αρχίσουν να βλέπουν τα βαρυτικά κύματα από τη γέννηση του σύμπαντος και θα είμαστε σε θέση να χρησιμοποιήσουμε τις ιδιότητες αυτών των κυμάτων για να βοηθήσουμε στην κατανόηση της γέννησης του σύμπαντος και των νόμων της κβαντικής βαρύτητας που ελέγχουν τη γέννηση του σύμπαντος. Αυτή είναι λοιπόν μια πολύ συναρπαστική δυνατότητα και είμαι αισιόδοξος ότι αυτό θα συμβεί μέχρι πιθανώς τη δεκαετία του 2060. Το βιβλίο του Κιπ Θορν «Η επιστήμη του Interstellar», όπου ο καθηγητής εξηγεί την έννοια της πέμπτης διάστασης, κυκλοφορεί στα ελληνικά από τις εκδόσεις Ροπή. https://www.kathimerini.gr/culture/563448160/ta-varytika-kymata-se-mayri-trypa/ Ο πλανήτης μας ειναι το λίκνο της ανθρωπότητας.Αλλα κανείς δεν περνάει ολη του τη ζωή στο λίκνο. Κονσταντίν Εντουάρντοβιτς Τσιολκόφσκι.
Δροσος Γεωργιος Δημοσιεύτηκε Φεβρουάριος 19, 2025 Δημοσιεύτηκε Φεβρουάριος 19, 2025 To James Webb εντόπισε «ατελείωτο πάρτι με πυροτεχνήματα» στην καρδιά του γαλαξία μας (βίντεο) Αναπάντεχα ευρήματα για την δραστηριότητα της κεντρικής τεράστιας μαύρης τρύπας. Το πανίσχυρο διαστημικό τηλεσκόπιο «εισέβαλε» στην καρδιά του γαλαξία μας και είδε τη μαύρη τρύπα που υπάρχει εκεί να βρίσκεται σε μια μόνιμη έξαρση δραστηριότητας αποκαλύπτοντας σειρά άγνωστων κοσμικών φαινομένων.Όπως συμβαίνει στους περισσότερους γαλαξίες έτσι και στον δικό μας η περιοχή που παρουσιάζει τη μεγαλύτερη και πιο έντονη δραστηριότητα με πλήθος κοσμικών φαινομένων να συμβαίνουν εκεί ταυτόχρονα είναι το κέντρο του. Μέχρι πρόσφατα το γαλαξιακό κέντρο ήταν απροσπέλαστο για τους επιστήμονες αφού τα τεχνικά μέσα που διαθέταμε δεν μπορούσαν να διεισδύσουν εκεί. Όμως τα ολοένα και ισχυρότερα τηλεσκόπιο, επίγεια και διαστημικά, αλλά και νέες μέθοδοι παρατήρησης έχουν επιτρέψει να εξερευνούμε και το γαλαξιακό κέντρο.Στο κέντρο του γαλαξία μας σε απόσταση 26.000 ετών φωτός μακριά από τη Γη δεσπόζει ο Τοξότης Α* μια μαύρη τρύπα με μάζα περίπου τέσσερα εκατομμύρια φορές μεγαλύτερη από αυτή του Ήλιου η δραστηριότητα της οποίας όπως είναι ευνόητο παίζει κομβικό ρόλο στο τι συμβαίνει στην περιοχή. Το James Webb διαπίστωσε ότι ο Τοξότης Α* είναι ένα πραγματικό… party animal που παράγει ατελείωτα κοσμικές «μπουρμπουλήθρες». Τα ευρήματα θα μπορούσαν να μας βοηθήσουν να κατανοήσουμε καλύτερα πώς αλληλεπιδρούν οι μαύρες τρύπες με το περιβάλλον τους και βοηθούν τους γαλαξίες να εξελιχθούν.Όπως φαίνεται το James Webb παράγει εκλάμψεις χωρίς ανάπαυλα. Ενώ ορισμένες από τις εκλάμψεις είναι αχνές που διαρκούν μόλις δευτερόλεπτα η μαύρη τρύπα στο κέντρο του γαλαξία μας παράγει και πολύ φωτεινότερες και πιο ενεργητικές εκλάμψεις. Επίσης μερικές από τις πιο αδύναμες εκλάμψεις μπορεί να έχουν διάρκεια πολλών μηνών. «Οι εκλάμψεις αναμένεται να συμβούν ουσιαστικά σε όλες τις υπερμεγέθεις μαύρες τρύπες αλλά η μαύρη τρύπα μας είναι μοναδική. Βλέπαμε κάτι διαφορετικό κάθε φορά, το οποίο είναι πραγματικά αξιοσημείωτο. Τίποτα δεν έμεινε ποτέ ίδιο» δήλωσε ο Φάραντ Γιουσέφ-Ζέιντ ερευνητής του Πανεπιστημίου Northwestern στις ΗΠΑ, επικεφαλής της μελέτης. Στην εικόνα μια από τις εκλάμψεις της μαύρης τρύπας στο κέντρο του γαλαξία μας που κατέγραψε το James Webb. πηγή φωτό (Farhad Yusef-Zadeh/Northwestern University) https://www.naftemporiki.gr/techscience/1916920/to-james-webb-entopise-ateleioto-parti-me-pyrotechnimata-stin-kardia-toy-galaxia-mas-vinteo/ Ο πλανήτης μας ειναι το λίκνο της ανθρωπότητας.Αλλα κανείς δεν περνάει ολη του τη ζωή στο λίκνο. Κονσταντίν Εντουάρντοβιτς Τσιολκόφσκι.
Δροσος Γεωργιος Δημοσιεύτηκε Φεβρουάριος 24, 2025 Δημοσιεύτηκε Φεβρουάριος 24, 2025 Ανακαλύφθηκαν σπάνιες μαύρες τρύπες που φωτίζουν την εξέλιξη των γαλαξιών. Η ανακάλυψη προσφέρει νέα δεδομένα για το πώς μεγαλώνουν και αλληλεπιδρούν με το κοσμικό περιβάλλον οι μελανές οπές. Αστρονόμοι χρησιμοποίησαν το Φασματοσκοπικό Όργανο Σκοτεινής Ενέργειας (DESI) για να ανακαλύψουν έναν θησαυρό από μαύρες τρύπες, πολλές από τις οποίες είναι σπάνιοι «κρίκοι που λείπουν» στην εξέλιξη των κοσμικών τεράτων.Η έρευνα η οποία σάρωσε 410.000 γαλαξίες εντόπισε 2.500 νάνους γαλαξίες με μαύρες τρύπες στο κέντρο τους και άλλους 300 γαλαξίες που φαίνεται να διαθέτουν μαύρες τρύπες μέσης μάζας που αποτελούν ένα σπάνιο τύπο μαύρων τρυπών και μπορούν να φωτίσουν την εξέλιξη τους. Τα νέα δεδομένα θα βοηθήσουν τους αστρονόμους να κατανοήσουν καλύτερα πώς οι μαύρες τρύπες αναπτύσσονται και πώς διαμορφώνουν τους γαλαξίες που σχηματίζονται γύρω τους.«Όταν μια μαύρη τρύπα στο κέντρο ενός γαλαξία αρχίζει να τρέφεται, απελευθερώνει μια τεράστια ποσότητα ενέργειας στο περιβάλλον της, μετατρέποντας σε αυτό που ονομάζουμε ενεργό γαλαξιακό πυρήνα. Αυτή η δραματική δραστηριότητα χρησιμεύει ως φάρος, επιτρέποντάς μας να εντοπίσουμε κρυμμένες μαύρες τρύπες σε μικρούς γαλαξίες» αναφέρουν οι ερευνητές που δημοσίευσαν τα ευρήματά τους στην επιθεώρηση «Astrophysical Journal» και στο διαδικτυακό αρχείο προδημοσιεύσεων ArXiv.Οι αστροφυσικοί είναι βέβαιοι ότι όλοι οι μεγάλοι γαλαξίες, συμπεριλαμβανομένου του δικού μας, περιέχουν μαύρες τρύπες στο κέντρο τους αλλά η εύρεση στοιχείων για μικρότερες μαύρες τρύπες μέσα σε νάνους γαλαξίες είναι πολύ πιο δύσκολη λόγω των μικρότερων μεγεθών τους. https://www.naftemporiki.gr/techscience/1920344/anakalyfthikan-spanies-mayres-trypes-poy-fotizoyn-tin-exelixi-ton-galaxion/ Ο πλανήτης μας ειναι το λίκνο της ανθρωπότητας.Αλλα κανείς δεν περνάει ολη του τη ζωή στο λίκνο. Κονσταντίν Εντουάρντοβιτς Τσιολκόφσκι.
Δροσος Γεωργιος Δημοσιεύτηκε Απρίλιος 13, 2025 Δημοσιεύτηκε Απρίλιος 13, 2025 Αστρονόμοι είδαν το τρομακτικό ξύπνημα από «χειμερία νάρκη» μιας γιγάντιας μαύρης τρύπας (βίντεο) Προκαλούνται πρωτοφανή κοσμικά φαινόμενα που εντυπωσιάζουν τους επιστήμονες. Η μέχρι πρόσφατα ανενεργή υπερμεγέθης μαύρη τρύπα στην καρδιά του γαλαξία SDSS1335+0728, που βρίσκεται περίπου 300 εκατομμύρια έτη φωτός μακριά από τη Γη, εθεάθη να εκρήγνυται σε μία με τις μεγαλύτερες και ισχυρότερες εκρήξεις ακτίνων Χ που έχουν δει ποτέ οι αστρονόμοι από έναν τέτοιο κοσμικό τιτάνα.Αυτή η ενεργή φάση σηματοδοτεί το.. ξύπνημα της υπερμεγέθους μαύρης τρύπας που καταβροχθίζει την ύλη γύρω της και εκρήγνυται με βραχύβια φλεγόμενα γεγονότα που ονομάζονται οιονεί περιοδικές εκρήξεις (QPEs).Η μαύρη τρύπα παρέμενε ήσυχη για δεκαετίες δεσπόζει στην καρδιά του γαλαξία της που ονομάζεται «ενεργός γαλαξιακός πυρήνας» ή «AGN». Η ομάδα ονόμασε αυτό το κοσμικό αντικείμενο AGN «Ansky». Η αφύπνιση του Ansky εντοπίστηκε για πρώτη φορά στα τέλη του 2019, ειδοποιώντας τους αστρονόμους που παρακολούθησαν την εκδήλωσή του με το διαστημικό τηλεσκόπιο ακτίνων Χ Swift της NASA. Μέχρι τον Φεβρουάριο του 2024, οι αστρονόμοι είχαν αρχίσει να βλέπουν τη μαύρη τρύπα που τροφοδοτεί το Ansky να εκρήγνυται με εκλάμψεις σε αρκετά τακτά χρονικά διαστήματα. Αυτό πρόσφερε μια μοναδική ευκαιρία: Κατέστη δυνατή η παρακολούθηση μιας υπερμεγέθους μαύρης τρύπας που εκρήγνυται σε πραγματικό χρόνο.«Οι εκρήξεις ακτίνων Χ από το Ansky είναι δέκα φορές μεγαλύτερες και δέκα φορές πιο φωτεινές από ό,τι βλέπουμε από ένα τυπικό QPE. Κάθε μία από αυτές τις εκρήξεις απελευθερώνει εκατό φορές περισσότερη ενέργεια από ό,τι έχουμε δει αλλού. Οι εκρήξεις του Ansky δείχνουν επίσης τον μεγαλύτερο ρυθμό που έχει παρατηρηθεί ποτέ, περίπου 4,5 ημερών. Αυτό ωθεί τα μοντέλα μας στα όριά τους και αμφισβητεί τις υπάρχουσες ιδέες μας σχετικά με το πώς δημιουργούνται αυτές οι λάμψεις ακτίνων Χ» αναφέρει ο Τζόχιν Τσακραμπόρτι του Ινστιτούτου Τεχνολογίας της Μασαχουσέτης (MIT), μέλος της ερευνητικής ομάδας που αξιοποίησε μια σειρά από επίγεια και διαστημικά τηλεσκόπια και αποστολές (XMM-Newton, Chandra, NICE, eROSITA) για τις παρατηρήσεις και τη συλλογή δεδομένων στη γιγάντια μαύρη τρύπα. Η ομάδα που δημοσιεύει τα ευρήματα της στην επιθεώρηση «Nature Astronomy».παραμένει μπερδεμένη σχετικά με την αιτία των εκρήξεων του Ansky. Τα QPE είχαν προηγουμένως συσχετιστεί με υπερμεγέθεις μαύρες τρύπες που αιχμαλωτίζουν άστρα τα διαλύουν και καταβροχθίζουν τα υπολείμματα. Αυτή η αστρική καταστροφή δεν φαίνεται να συμβαίνει για τον Ansky.«Για τα QPE, βρισκόμαστε ακόμα στο σημείο όπου έχουμε περισσότερα μοντέλα παρά δεδομένα και χρειαζόμαστε περισσότερες παρατηρήσεις για να κατανοήσουμε τι συμβαίνει. Σκεφτήκαμε ότι τα QPE ήταν το αποτέλεσμα μικρών ουράνιων αντικειμένων που συλλαμβάνονταν από πολύ μεγαλύτερα και κατευθύνονταν προς τα κάτω. Αυτές οι επαναλαμβανόμενες εκρήξεις πιθανότατα συνδέονται με βαρυτικά κύματα που η μελλοντική αποστολή της ESA LISA (Laser Interferometer Space Antenna) θα μπορούσε να εντοπίσει» λέει ο Ιρβαν Κουίντιν, ερευνητής του Ευρωπαϊκού Οργανισμού Διαστήματος (ESA) και αστρονόμος ακτίνων αναφερόμενος στον ανιχνευτή βαρυτικών κυμάτων LISA που αποτελεί κοινή αποστολή ESA και NASA. https://www.naftemporiki.gr/techscience/1944238/astronomoi-eidan-to-tromaktiko-xypnima-apo-cheimeria-narki-mias-gigantias-mayris-trypas-vinteo/ Ο πλανήτης μας ειναι το λίκνο της ανθρωπότητας.Αλλα κανείς δεν περνάει ολη του τη ζωή στο λίκνο. Κονσταντίν Εντουάρντοβιτς Τσιολκόφσκι.
Προτεινόμενες αναρτήσεις
Δημιουργήστε έναν λογαριασμό ή συνδεθείτε για να σχολιάσετε
Πρέπει να είσαι μέλος για να αφήσεις ένα σχόλιο
Δημιουργία λογαριασμού
Εγγραφείτε για έναν νέο λογαριασμό στην κοινότητά μας. Είναι εύκολο!.
Εγγραφή νέου λογαριασμούΣυνδεθείτε
Έχετε ήδη λογαριασμό? Συνδεθείτε εδώ.
Συνδεθείτε τώρα