Δροσος Γεωργιος Δημοσιεύτηκε Μάιος 13, 2025 Δημοσιεύτηκε Μάιος 13, 2025 Εντοπίστηκε η πρώτη περιπλανώμενη μαύρη τρύπα του Σύμπαντος που γευματίζει με… σπαγγέτι. Σπάνιο κοσμικό φαινόμενο που προσφέρει νέες γνώσεις στην αστρονομία. Ομάδα ερευνητών παρουσιάζει μια εντυπωσιακή ανακάλυψη. Μια μοναχική τεράστια μαύρη τρύπα έχει συλλάβει στα πανίσχυρα βαρυτικά της δίχτυα ένα άστρο την ύλη του οποίου απορροφά παραμορφώνοντας το με τρόπο τέτοιο ώστε να μοιάζει με ένα κοσμικό μακαρόνι.Σε απόσταση 600 εκατ. ετών φωτός από τη Γη βρίσκεται μια μαύρη τρύπα που διαθέτει μάζα που υπολογίζεται ότι είναι ένα εκατ. φορές μεγαλύτερη από τη μάζα του Ήλιου ο οποίος αποτελεί τη συγκριτική μονάδα μέτρησης του μεγέθους των μαύρων τρυπών.Η κρατούσα θεωρία αναφέρει ότι αυτού του μεγέθους μαύρες τρύπες (και φυσικά οι ακόμη μεγαλύτερες) βρίσκονται μόνο στα κέντρα των γαλαξιών αφού εκεί υπάρχουν οι κατάλληλες συνθήκες είτε για να δημιουργηθούν είτε για να εγκατασταθούν σε περίπτωση που πρόκειται για μαύρες τρύπες που αποτελούν προϊόν συγκρούσεων/συγχωνεύσεων ανάμεσα σε γαλαξίες.Πολύ μικρές ή μικρομεσαίου μεγέθους μαύρες τρύπες βρίσκονται διάσπαρτες σε ένα γαλαξία αλλά η ανακάλυψη τεράστιων μαύρων τρυπών οι οποίες μάλιστα να έχουν ένα μοναχικό βίο περιπλανώμενες στο Διάστημα είναι από μόνη της ένα πολύ σημαντικό γεγονός. Όταν η ανακάλυψη μιας τεράστιας περιπλανώμενης μαύρης τρύπας συνοδεύεται και από έντονη κοσμική δραστηριότητα το γεγονός αυτό αποκτά ακόμη πιο ξεχωριστή σημασία και αξία.Η ερευνητική ομάδα διαπίστωσε ότι η μαύρη τρύπα προσφέρει στοιχεία για την αποκαλούμενη «παλιρροϊκή διατάραξη». Η βαρυτική έλξη της μαύρης τρύπας παραμορφώνει το κοσμικό σώμα ή την ύλη που έχει «συλλάβει». Το αντικείμενο παίρνει ένα σχήμα νήματος για αυτό και η επιστημονική κοινότητα ονόμασε το φαινόμενο «σπαγγετοποίηση» αφού η όλη διαδικασία μοιάζει σαν μεταμορφώνει το αντικείμενο σε μακαρόνι πριν τελικά το απορροφήσει ή το καταστρέψει. Έχουν γίνει κάποιες έμμεσες παρατηρήσεις του φαινομένου και δεν υπάρχουν ακόμη πολλά στοιχεία αυτό.Η μαύρη τρύπα που εντόπισαν οι ερευνητές έχει συλλάβει ένα άστρο και εξελίσσεται ένα φαινόμενο παλιρροϊκής διατάραξης το οποίο έλαβε την κωδική ονομασία AT2024tvd.Οι ερευνητές λένε ότι το εύρημα ανοίγει την πόρτα για τον εντοπισμό άλλων και άλλων παλιρροϊκών διατάξεων σε περιπλανώμενες μαύρες τρύπες. «Πιστεύω ότι αυτή η ανακάλυψη θα παρακινήσει τους επιστήμονες να αναζητήσουν περισσότερα παραδείγματα αυτού του τύπου γεγονότων» αναφέρει ο Γουχάν Για μεταδιδακτορικός συνεργάτης του τμήματος αστρονομίας στο Πανεπιστήμιο της Καλιφόρνια στο Μπέρκλι, επικεφαλής της ερευνητικής ομάδας.Το σπάνιο φαινόμενο καταγράφηκε από το Zwicky Transient Facility, μια οπτική κάμερα τοποθετημένη σε ένα τηλεσκόπιο στο Αστεροσκοπείο Palomar κοντά στο Σαν Ντιέγκο στις ΗΠΑ. Επακόλουθες παρατηρήσεις από το διαστημικό τηλεσκόπιο Hubble αποκάλυψαν ότι αυτή η μαύρη τρύπα βρίσκεται σε απόσταση 2,600 ετών φωτός από το κέντρου του γαλαξία του όπου βρίσκεται μια πολύ μεγαλύτερη μαύρη τρύπα, ένα μεγαθήριο με μάζα 100 εκατομμύρια φορές μεγαλύτερη από τη μάζα του Ηλιου. Η ανακάλυψη δημοσιεύεται στο διαδικτυακό αρχείο προδημοσιεύσεων arXiv και έχει γίνει δεκτή για δημοσίευση στην επιθεώρηση «The Astrophysical Journal Letters». https://www.naftemporiki.gr/techscience/1955100/entopistike-i-proti-periplanomeni-mayri-trypa-toy-sympantos-poy-geymatizei-me-spaggeti/ Ο πλανήτης μας ειναι το λίκνο της ανθρωπότητας.Αλλα κανείς δεν περνάει ολη του τη ζωή στο λίκνο. Κονσταντίν Εντουάρντοβιτς Τσιολκόφσκι.
Δροσος Γεωργιος Δημοσιεύτηκε Μάιος 14, 2025 Δημοσιεύτηκε Μάιος 14, 2025 Μουσική από τα δεδομένα των μαύρων τρυπών. H NASA συνεχίζει να παράγει ‘ηχοποιήσεις’ , μια διαδικασία αντιστοιχίας αστρονομικών δεδομένων από τα τηλεσκόπια Chandra, Webb, IXPE κ.ά. σε ήχους. Τα επιστημονικά δεδομένα που συλλέγονται από το διάστημα ως ψηφιακά σήματα μετατρέπονται σε οπτικές εικόνες. Η ηχοποίηση μετατρέπει αυτές τις οπτικές εικόνες σε ήχο. Το τελικό αποτέλεσμα δεν εμπεριέχει κάποιο επιστημονικό ενδιαφέρον. Μπορεί να ιδωθεί ως μια καλλιτεχνική δημιουργία με σκοπό την αισθητική απόλαυση. H πρώτη ηχοποίηση αφορά το ογκώδες, λαμπερό και θερμό άστρο Wolf-Rayet 124 (WR 124) που βρίσκεται σε απόσταση 15.000 έτη φωτός από τη Γη, στον αστερισμό Βέλος. Το WR124 μπορεί να καταρρεύσει σε μαύρη τρύπα στο μέλλον: Η δεύτερη αφορά το SS 433 είναι ένα δυαδικό σύστημα 18.000 έτη φωτός από τη Γη. Συνίσταται από ένα άστρο σαν τον Ήλιο μας σε τροχιά γύρω από ένα άστρο νετρονίων ή μια μαύρη τρύπα: Η τελευταία ηχοποίηση έχει θέμα την μαύρη τρύπα που βρίσκεται στο σε έναν πολύ μακρινό γαλαξία που είναι γνωστός ως Κένταυρος Α, περίπου 12 εκατομμύρια έτη φωτός μακριά από τη Γη: πηγή: https://chandra.si.edu/photo/2025/sonify10/?fbclid=IwY2xjawKQh-lleHRuA2FlbQIxMAABHogsX4seRSpg1fb6FU8_Gk64YoxBclNnpVrvj2FmM4QIidTYA9n-9_dkbqh__aem_9bKi0irWcTfjkk5NkhaDkQ Ο πλανήτης μας ειναι το λίκνο της ανθρωπότητας.Αλλα κανείς δεν περνάει ολη του τη ζωή στο λίκνο. Κονσταντίν Εντουάρντοβιτς Τσιολκόφσκι.
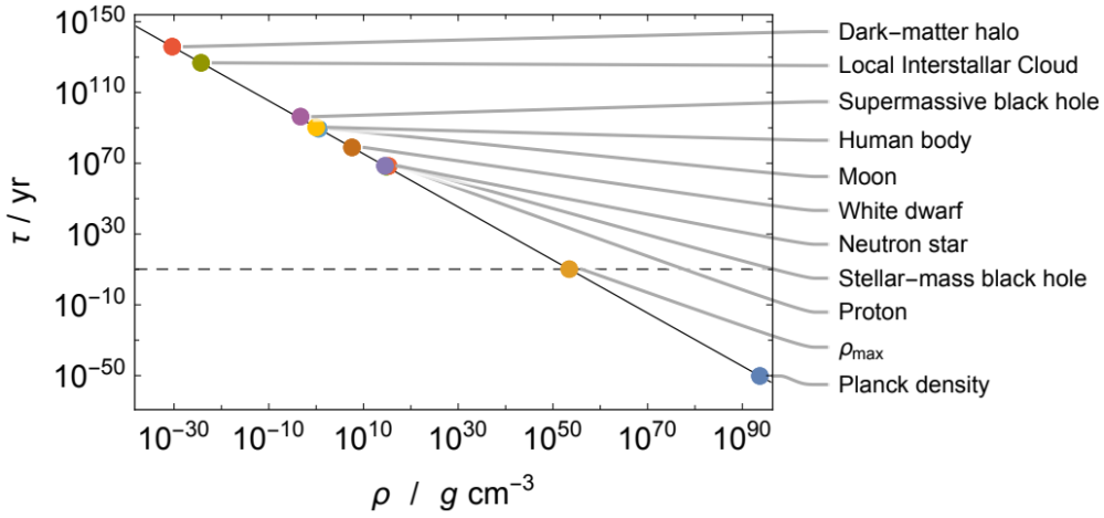
Δροσος Γεωργιος Δημοσιεύτηκε Μάιος 15, 2025 Δημοσιεύτηκε Μάιος 15, 2025 Θα γίνουν όλα ατμός ακτινοβολίας Χόκινγκ; Δημοσιεύθηκε στο περιοδικό Journal of Cosmology and Astroparticulate Physics, η εργασία των Falcke et al με τίτλο «An upper limit to the lifetime of stellar remnants from gravitational pair production» στην οποία δείχνουν ότι το σύμπαν αποσυντίθεται και ότι τα τελευταία αστρικά υπολείμματα χρειάζονται περίπου 1078 έτη για να χαθούν. Έτσι, εμφανίστηκαν ξανά σχετικά εκλαϊκευτικά άρθρα ΕΔΩ: ‘Universe expected to decay in 10⁷⁸ years, much sooner than previously thought‘ ή ΕΔΩ: ‘Το σύμπαν έχει ημερομηνία λήξης και θα ‘πεθάνει’ νωρίτερα απ’ ό,τι νομίζαμε‘ https://www.skai.gr/news/technology/to-sympan-tha-pethanei-noritera-ap-oti-nomizame-alla-min-panikovalleste O Στίβεν Χόκινγκ το 1974 απέδειξε ότι οι μαύρες τρύπες εκπέμπουν προς όλες τις κατευθύνσεις ένα είδος θερμικής ακτινοβολίας, την επονομαζόμενη ακτινοβολία Hawking. Aυτό σημαίνει ότι μετά από ένα εξαιρετικά μεγάλο χρονικό διάστημα, περίπου ~1067 χρόνια ή και περισσότερο, οι μαύρες τρύπες τελικά εξατμίζονται εξ’ ολοκλήρου. Πενήντα χρόνια μετά, οι φυσικοί Michael F. Wondrak, Walter D. van Suijlekom και Heino Falcke δημοσίευσαν δυο εργασίες(2) στις οποίες δείχνουν ότι αυτή η ακτινοβολία δεν περιορίζεται στις μαύρες τρύπες, υπονοώντας ότι μπορεί τελικά «όλα να εξατμίζονται». Υποστηρίζουν ότι η ακτινοβολία Hawking ίσως να μην εκπέμπεται μόνο από τις μαύρες τρύπες, αλλά είναι πιθανό να παράγεται από όλες τις μάζες που παραμορφώνουν σημαντικά τον χωροχρόνο. Προκύπτει λοιπόν το έρωτημα: Τα πάντα στο σύμπαν θα έχουν την ίδια μοίρα; Θα γίνουν όλα ‘ατμός’ ακτινοβολίας Χόκινγκ; Η ακτινοβολία Hawking προκύπτει από τον συνδυασμό δύο φαινομένων από εντελώς διαφορετικούς τομείς της φυσικής. Τη γενική σχετικότητα και την κβαντική θεωρία. Κάθε παρατηρητής στο δικό του αδρανειακό σύστημα αναφοράς αντιλαμβάνεται το κβαντικό κενό με τον ίδιο τρόπο. Δύο παρατηρητές, ένας κοντά σε μια μαύρη τρύπα και ένας μακριά από αυτή βλέπουν το κβαντικό κενό τους να συμπεριφέρεται πανομοιότυπα. Αλλά αν ρωτήσετε έναν από τους δύο παρατηρητές για το κβαντικό κενό στη θέση του άλλου παρατηρητή, θα σας πεί ότι βλέπει ένα διαφορετικό κενό στην άλλη θέση. Αυτή είναι μια από τις αξιοσημείωτες πτυχές του συνδυασμού της γενικής σχετικότητας (με το καμπυλωμένο υπόβαθρο του χώρου) με την κβαντική θεωρία πεδίου (η οποία περιγράφει τα κβαντικά πεδία): αυτά τα δύο φαινόμενα μαζί, μας δείχνουν ότι το κβαντικό κενό διαφέρει μεταξύ δύο οποιωνδήποτε περιοχών όπου η καμπυλότητα του χώρου διαφέρει.Το 1974, ο Χόκινγκ στην εργασία του με τίτλο ‘Black hole explosions?‘, ήταν ο πρώτος άνθρωπος που ενοποίησε αυτά τα γεγονότα, καταλήγοντας στο συμπέρασμα, ότι τα κβαντικά πεδία σε μια περιοχή του χωροχρόνου που είναι πολύ καμπυλωμένος (κοντά σε μια μαύρη τρύπα) οδηγούν σε έναν ειδικό τύπο ακτινοβολίας. Περίπου την ίδια εποχή, ανακαλύφθηκε ότι ένας παρατηρητής που κινείται με σταθερή επιτάχυνση στον κενό χώρο αντιλαμβάνεται ένα «λουτρό ακτινοβολίας», με την θερμοκρασία και την ενέργεια της ακτινοβολίας να εξαρτώνται από το μέγεθος της επιτάχυνσης. Αλλά αυτό συνδέεται με τη βασική ιδέα που οδήγησε τον Αϊνστάιν στην γενική θεωρία της σχετικότητας: την αρχή της ισοδυναμίας.Ο Αϊνστάιν αναρωτήθηκε, ποια θα ήταν η διαφορά μεταξύ δύο παρατηρητών που βρίσκονταν ο καθένας σε έναν εντελώς απομονωμένο από το εξωτερικό περιβάλλον, ο ένας σε ένα δωμάτιο στην επιφάνεια της Γης και ο άλλος σε ένα σκάφος κινούμενο στο διάστημα με σταθερή επιτάχυνση, όση η επιτάχυνση της βαρύτητας στην επιφάνεια της Γης. Ο Αϊνστάιν συνειδητοποίησε ότι δεν υπήρχε καμία διαφορά, οδηγούμενος στην αρχή της ισοδυναμίας, που άνοιξε το δρόμο για τη γενική σχετικότητα.Αργότερα, η αρχή της ισοδυναμίας θα είχε ιδιαίτερη σημασία για το φαινόμενο της ακτινοβολίας Hawking, καθώς αν ένας επιταχυνόμενος παρατηρητής σε κενό χώρο αντιλαμβάνεται ένα λουτρό ομοιόμορφης ακτινοβολίας, τότε ένας παρατηρητής που επιταχύνεται λόγω της στενής γειτνίασής του με μια μαύρη τρύπα θα πρέπει επίσης να βιώσει ομοιόμορφη ακτινοβολία. Επιπλέον, όσο πιο κοντά πλησιάζει στον ορίζοντα γεγονότων μιας μαύρης τρύπας, τόσο μεγαλύτερη είναι η επιτάχυνσή του, και επομένως, τόσο πιο ενεργητική θα ήταν η ακτινοβολία που θα βιώνει. Δηλαδή: ● Για έναν παρατηρητή μακριά από τον ορίζοντα γεγονότων της μαύρης τρύπας, πρακτικά δεν υπάρχει βαρυτική επιτάχυνση, κι έτσι πρακτικά δεν θα υπήρχε ακτινοβολία. ● Καθώς αρχίζει να πλησιάζει τον ορίζοντα γεγονότων της μαύρης τρύπας, η επιτάχυνσή του αυξάνεται κι έτσι αρχίζει να αντιλαμβάνεται περισσότερη ακτινοβολία. ● Και καθώς πρόκειται να φτάσει στον ορίζοντα γεγονότων, η επιτάχυνσή του αυξάνεται ακόμη περισσότερο, και έτσι η ακτινοβολία που βιώνει φτάνει στο αποκορύφωμά της. Όταν η καμπυλότητα του χώρου αυξάνεται, αυξάνεται και η επιτάχυνσή του παρατηρητή προς την κεντρική περιοχή μιας μαύρης τρύπας. Και παράλληλα αυξάνεται και η ποσότητα της ακτινοβολίας που ανιχνεύει σε αυτήν την περιοχή του χώρου. Υπάρχουν κάποια πράγματα που πρέπει να προσέξουμε σχετικά με την περιγραφή αυτού του φαινομένου. Πρώτον, δεν χρειάζεται καμία αναφορά στην αναλογία «ζευγών σωματιδίου-αντισωματιδίου» που χρησιμοποιείται τόσο συχνά από τον Χόκινγκ, καθώς αυτή η εσφαλμένη αναλογία είναι άσχετη με την παραγωγή της ακτινοβολίας. Δεύτερον, η ακτινοβολία Hawking που παράγεται δεν περιορίζεται ακριβώς στον ορίζοντα γεγονότων, αλλά μάλλον θα πρέπει να αναδύεται από οποιαδήποτε περιοχή του χώρου που έχει επαρκή χωρική καμπυλότητα ή που προκαλεί αρκετά ισχυρές επιταχύνσεις. Και τρίτον, όπως μας έμαθε ο Αϊνστάιν ότι δεν μπορούμε να διακρίνουμε τη διαφορά μεταξύ ενός βαρυτικού πεδίου και ενός επιταχυνόμενου συστήματος αναφοράς, δεν θα έπρεπε επίσης να υπάρχει διαφορά μεταξύ του χώρου έξω από μια μαύρη τρύπα και του χώρου στην ίδια απόσταση από οποιοδήποτε άλλο αντικείμενο ισοδύναμης μάζας. Αν βρίσκεστε σε μια συγκεκριμένη απόσταση από μια μάζα, που θα μπορούσε να είναι: ● ένα σημείο (σαν μαύρη τρύπα), ● ένα πολύ συμπαγές αντικείμενο που δεν καταρρέει βαρυτικά (όπως ένα άστρο νετρονίων), ● ένα λιγότερο συμπαγές αντικείμενο (όπως ένας λευκός νάνος), ● ή ένα μη συμπαγές αντικείμενο (όπως ένα άστρο), … θα βιώνατε την ίδια επιτάχυνση σε κάποια θέση με την ίδια χωρική καμπυλότητα. Εφόσον οι μάζες αυτών των διαφορετικών αντικειμένων είναι πανομοιότυπες και η απόστασή σας από το κέντρο αυτής της μάζας είναι ίδια, δεν θα πρέπει να ανιχνεύσετε καμία διαφορά σε κάθε περίπτωση. Οι φυσικοί Michael F. Wondrak, Walter D. van Suijlekom και Heino Falcke, υποστηρίζουν ότι, εφόσον οι μαύρες τρύπες παράγουν ακτινοβολία Χόκινγκ, τότε το ίδιο θα έπρεπε να κάνουν και τα άστρα νετρονίων, οι λευκοί νάνοι, τα κανονικά άστρα και οποιοδήποτε άλλο αντικείμενο. Θεωρούν ότι ο μόνος ρόλος που διαδραματίζει ο ορίζοντας γεγονότων – κάτι που διαθέτουν μόνο οι μαύρες τρύπες – είναι να καθορίζει όριο για το πού μπορεί να συλληφθεί η ακτινοβολία από την μαύρη τρύπα σε σχέση με το πού διαφεύγει από αυτή. Ο ορίζοντας γεγονότων χρησιμεύει ως το όριο για μια μαύρη τρύπα. Η επιφάνεια του άστρου νετρονίων χρησιμεύει ως το όριο για ένα άστρο νετρονίων. Το πιο εξωτερικό στρώμα ενός λευκού νάνου χρησιμεύει ως το όριο για έναν λευκό νάνο. Το τέλος της φωτόσφαιρας ενός άστρου χρησιμεύει ως το όριο για το άστρο. Σε όλες τις περιπτώσεις, υποστήριξαν οι συγγραφείς, θα εξακολουθούσε να υπάρχει η ακτινοβολία που παράγεται από τον καμπύλο χωροχρόνο γύρω από τη μάζα. Το κλάσμα αυτής της ακτινοβολίας που διαφεύγει από ένα τεράστιο αντικείμενο και εκπέμπεται στο σύμπαν ως ακτινοβολία Χόκινγκ, θα εξαρτιόταν αποκλειστικά από την μάζα και την ακτίνα του ίδιου του αντικειμένου, χωρίς να υπάρχει κάτι ιδιαίτερο σχετικά με τα όρια του ορίζοντα γεγονότων.Ακριβώς όπως το φαινόμενο Schwinger επιτρέπει την παραγωγή πραγματικών σωματιδίων που μεταφέρουν πραγματική ενέργεια από μια περιοχή του χώρου που διαθέτει ένα αρκετά ισχυρό ηλεκτρικό πεδίο, το βαρυτικό φαινόμενο της ακτινοβολίας Hawking γύρω από μια μαύρη τρύπα θα πρέπει να επιτρέπει την παραγωγή πραγματικής ακτινοβολίας, με την ποσότητα της ακτινοβολίας που διαφεύγει να εξαρτάται μόνο από την ένταση του βαρυτικού πεδίου στις σχετικές περιοχές του χώρου. Κι αυτό, εφόσον τελικά ισχύει, έχει συναρπαστικές συνέπειες.Όπως έδειξε η ίδια ομάδα φυσικών Wondrak et al σε νέα δημοσίευση με τίτλο «An upper limit to the lifetime of stellar remnants from gravitational pair production» τον Οκτώβριο του 2024, αν η καμπυλότητα του χωροχρόνου από μόνη της (και όχι η παρουσία ενός ορίζοντα γεγονότων) είναι το μόνο που απαιτείται για την παραγωγή ακτινοβολίας Hawking που μεταφέρει ενέργεια, τότε συμπαγή αστρικά υπολείμματα όπως τα άστρα νετρονίων και οι λευκοί νάνοι τελικά θα αποσυντεθούν όπως και οι μαύρες τρύπες. Η χρονική κλίμακα για την εξάτμιση προς ακτινοβολία Χίκινγκ ενός αντικειμένου σχετίζεται με την πυκνότητα μάζας ρ με την εξίσωση τ~ρ-3/2.Έτσι, οι αστρικές μαύρες και τα άστρα νετρονίων έχουν μάλλον συγκρίσιμο χρόνο ζωής (τ~1067−68 χρόνια), ενώ οι λευκοί νάνοι μπορούν να επιβιώσουν πολύ περισσότερο (τ ≳ 1078 χρόνια). Κατ’ αρχήν, η διαδικασία θα μπορούσε να εφαρμοστεί και σε άλλα αστροφυσικά αντικείμενα. Η Σελήνη με πυκνότητα 3,4 g/cm3 θα εξατμιστεί σε περίπου 3×1089 χρόνια και ένα σώμα με την πυκνότητα του νερού σε τ~1090 χρόνια. Οι βαρύτερες υπερμαζικές μαύρες τρύπες θα εξατμίζονται σε περίπου ~10103 χρόνια, αλλά κάτι ανάλαφρο και διάχυτο, όπως ένα διαστρικό νέφος ή, ακόμη χειρότερα, η άλως σκοτεινής ύλης, θα απαιτούσε ακόμη μεγαλύτερα χρονικά διαστήματα από 10120 έως 10140 χρόνια. Ας σημειωθεί ότι για να ‘εξατμιστεί’ ένα πρωτόνιο απαιτούνται περίπου ~1067 χρόνια (το πείραμα Super-K έδειξε ότι τα πρωτόνια έχουν χρόνο ζωής πάνω από 1034χρόνια). Ωστόσο, υπάρχουν ακόμα αναπάντητα ερωτήματα και προβληματισμοί για όλα τα παραπάνω. Το ότι οι μαύρες τρύπες εκπέμπουν ακτινοβολία Hawking, παρότι δεν έχει αποδειχθεί πειραματικά, δεν αμφισβητείται από την επιστημονική κοινότητα. Όμως, υπάρχει σκεπτικισμός από πολλούς φυσικούς για το αν οι μάζες που δεν διαθέτουν ορίζοντες γεγονότων μπορούν να κάνουν κάτι αντίστοιχο. Προς το παρόν «η εξάτμιση των πάντων προς ακτινοβολία Χόκινγκ» αποτελεί μεν μια σοβαρή επιστημονική πρόταση, αλλά απαιτεί περαιτέρω διερεύνηση. Οριστική απάντηση διαθέτει μόνο ο Θρασύβουλας. «Όλα είναι ατμός» έλεγε ο Θανάσης Βέγγος ως Θρασύβουλας σε ταινία του 1962, πολύ πριν ανακαλυφθεί η εξάτμιση Χόκινγκ. Oι μαύρες τρύπες δεν είναι τόσο μαύρες, αλλά συμπεριφέρονται σαν θερμά σώματα. Εκπέμπουν θερμική ακτινοβολία και σταδιακά εξατμίζονται. Η πανομοιότυπη συμπεριφορά μιας μπάλας που πέφτει στο πάτωμα σε έναν επιταχυνόμενο πύραυλο (αριστερά) και στη Γη (δεξιά) είναι μια επίδειξη της αρχής της ισοδυναμίας του Αϊνστάιν. H καμπύλωση του χωροχρόνου για μια μαύρη τρύπα, ένα άστρο νετρονίων, έναν λευκό νάνο ή ένα άστρο σαν τον Ήλιο μας. Κοντά στον ορίζοντα γεγονότων μιας μαύρης τρύπας, επιτυγχάνονται πιο έντονες καμπυλότητες από οπουδήποτε αλλού. Μακριά από όλα αυτά τα αντικειμενα, ο χωροχρόνος είναι ασυμπτωτικά επίπεδος, αλλά ούτε τελείως επίπεδος ούτε πραγματικά κενός. Ο ορίζοντας γεγονότων μιας μαύρης τρύπας θεωρείται ως ο βασικός παράγοντας για τη δημιουργία της ακτινοβολίας Hawking γύρω από τις μαύρες τρύπες. Όμως νέες δημοσιεύσεις υποστηρίζουν ότι αυτή η ακτινοβολία μπορεί να δημιουργηθεί ανεξάρτητα από την ύπαρξη του ορίζοντα των γεγονότων [M.F. Wondrak et al., Phys. Rev. Lett. accepted, 2023]. Χαρακτηριστικό χρονοδιάγραμμα για την εξάτμιση διαφόρων αντικειμένων ως συνάρτηση της πυκνότητας μάζας. Η μαύρη συμπαγής γραμμή αντιστοιχεί στην ακριβή εξίσωση τ=f(ρ) και η διακεκομμένη γραμμή δείχνει την ηλικία του σύμπαντος [H. Falcke, MF Wondrak, & WD van Suijlekom, Journal of Cosmology and Astroparticle Physics, (submitted), 2024]. Διαβάστε περισσότερες λεπτομέρειες: 1. στο εκλαϊκευμένο άρθρο του Ethan Siegel: «Will everything eventually succumb to Hawking radiation?» , 2. στα αναλυτικά άρθρα των H. Falcke, MF Wondrak, & WD van Suijlekom: «Gravitational Pair Production and Black Hole Evaporation» και «An upper limit to the lifetime of stellar remnants from gravitational pair production« Ο πλανήτης μας ειναι το λίκνο της ανθρωπότητας.Αλλα κανείς δεν περνάει ολη του τη ζωή στο λίκνο. Κονσταντίν Εντουάρντοβιτς Τσιολκόφσκι.
Δροσος Γεωργιος Δημοσιεύτηκε Μάιος 28, 2025 Δημοσιεύτηκε Μάιος 28, 2025 Έρχονται οι πρώτες έγχρωμες εικόνες μαύρων τρυπών. Εντυπωσιακή εξέλιξη που μπορεί να φέρει επανάσταση στην αστρονομία. Αστρονόμοι ανέπτυξαν μια νέα μέθοδο οπτικής καταγραφής του Διαστήματος η οποία μέσω του παγκόσμιου δικτύου ραδιοτηλεσκοπίων Event Horizon Telescope υπόσχεται να καταγράψει για πρώτη φορά έγχρωμες εικόνες από μαύρες τρύπες επίτευγμα που αναμένεται να βελτιώσει την κατανόηση μας για τα πιο μυστηριώδη αντικείμενα του Σύμπαντος.Τα χρώματα είναι ένα ενδιαφέρον φαινόμενο. Στη φυσική, μπορούμε να πούμε ότι το χρώμα του φωτός ορίζεται από τη συχνότητα ή το μήκος κύματός του. Όσο μεγαλύτερο είναι το μήκος κύματος, ή όσο χαμηλότερη είναι η συχνότητα, τόσο περισσότερο είναι προς το κόκκινο άκρο του φωτός του φάσματος. Μετακινηθείτε προς το μπλε άκρο και τα μήκη κύματος γίνονται μικρότερα και οι συχνότητες υψηλότερες. Κάθε συχνότητα ή μήκος κύματος έχει το δικό της μοναδικό χρώμα.Τα μάτια μας βλέπουν χρώμα με τρεις διαφορετικούς τύπους κώνων στον αμφιβληστροειδή μας, ευαίσθητους στις συχνότητες του κόκκινου, του πράσινου και του μπλε φωτός. Στη συνέχεια, το μυαλό μας χρησιμοποιεί αυτά τα δεδομένα για να δημιουργήσει μια έγχρωμη εικόνα. Οι ψηφιακές φωτογραφικές μηχανές λειτουργούν παρόμοια. Έχουν αισθητήρες που καταγράφουν κόκκινο, πράσινο και μπλε φως. Στη συνέχεια, η οθόνη του υπολογιστή σας χρησιμοποιεί κόκκινα, πράσινα και μπλε εικονοστοιχεία (pixel) τα οποία ξεγελούν τον εγκέφαλό μας για να δει μια έγχρωμη εικόνα.Ενώ δεν μπορούμε να δούμε το ραδιοφώς, τα ραδιοτηλεσκόπια μπορούν να δουν χρώματα, γνωστά ως ζώνες. Ένας ανιχνευτής μπορεί να συλλάβει ένα στενό εύρος συχνοτήτων, γνωστό ως ζώνη συχνοτήτων, το οποίο είναι παρόμοιο με τον τρόπο που οι οπτικοί ανιχνευτές καταγράφουν τα χρώματα. Παρατηρώντας τον ουρανό σε διαφορετικές ζώνες συχνοτήτων, οι αστρονόμοι μπορούν να δημιουργήσουν μια «έγχρωμη» εικόνα. Οι δυσκολίες Αυτή η εξέλιξη της έγχρωμης εικόνας δεν έρχεται χωρίς προβλήματα. Τα περισσότερα ραδιοτηλεσκόπια μπορούν να παρατηρήσουν μόνο μία ζώνη κάθε φορά. Έτσι, οι αστρονόμοι πρέπει να παρατηρήσουν ένα αντικείμενο πολλές φορές σε διαφορετικές ζώνες για να δημιουργήσουν μια έγχρωμη εικόνα. Για πολλά αντικείμενα, αυτό είναι απολύτως εντάξει, αλλά για αντικείμενα που αλλάζουν γρήγορα ή αντικείμενα με μικρό προφανές μέγεθος, δεν λειτουργεί. Η εικόνα μπορεί να αλλάξει τόσο γρήγορα που δεν μπορείτε να τοποθετήσετε εικόνες μαζί. Φανταστείτε εάν η κάμερα του τηλεφώνου σας χρειαζόταν ένα δέκατο του δευτερολέπτου για να καταγράψει κάθε χρώμα μιας εικόνας. Θα ήταν εντάξει για μια φωτογραφία τοπίου ή μια selfie, αλλά για μια λήψη δράσης οι διαφορετικές εικόνες δεν θα ευθυγραμμιστούν.Εδώ εμφανίζεται αυτή η νέα μέθοδος. Η ομάδα χρησιμοποίησε μια μέθοδο γνωστή ως μεταφορά φάσης συχνότητας (FPT) για να ξεπεράσει τις ατμοσφαιρικές παραμορφώσεις του ραδιοφωτός. Παρατηρώντας τον ουρανό του ραδιοφώνου σε μήκος κύματος 3 χιλιοστών η ομάδα μπορεί να παρακολουθήσει πώς η ατμόσφαιρα παραμορφώνει το φως. Αυτό είναι παρόμοιο με τον τρόπο που τα οπτικά τηλεσκόπια χρησιμοποιούν ένα λέιζερ για να παρακολουθούν τις ατμοσφαιρικές αλλαγές.Η ομάδα έδειξε πώς μπορούν να παρατηρήσουν τον ουρανό σε μήκος κύματος τριών χιλιοστών και ενός χιλιοστού ταυτόχρονα και να το χρησιμοποιήσουν για να διορθώσουν και να οξύνουν την εικόνα που συλλέγεται από το μήκος κύματος του ενός χιλιοστού.Διορθώνοντας την ατμοσφαιρική παραμόρφωση με αυτόν τον τρόπο, οι αστρονόμοι του ραδιοφώνου μπορούσαν να τραβήξουν διαδοχικές εικόνες σε διαφορετικές ζώνες ραδιοφώνου και στη συνέχεια να τις διορθώσουν όλες για να δημιουργήσουν μια έγχρωμη εικόνα υψηλής ανάλυσης.Αυτή η μέθοδος βρίσκεται ακόμα στα αρχικά της στάδια και αυτή η τελευταία μελέτη είναι απλώς μια επίδειξη της τεχνικής. Αλλά αποδεικνύει ότι η μέθοδος μπορεί να λειτουργήσει. Έτσι, μελλοντικά έργα όπως το EHT επόμενης γενιάς (ngEHT) και το Black Hole Explorer (BHEX) θα μπορούν να βασίζονται σε αυτήν τη μέθοδο. Και αυτό σημαίνει ότι θα μπορούμε να δούμε τις μαύρες τρύπες ζωντανά και έγχρωμα. https://www.naftemporiki.gr/techscience/1961520/erchontai-oi-protes-egchromes-eikones-mayron-trypon/ Ο πλανήτης μας ειναι το λίκνο της ανθρωπότητας.Αλλα κανείς δεν περνάει ολη του τη ζωή στο λίκνο. Κονσταντίν Εντουάρντοβιτς Τσιολκόφσκι.
Δροσος Γεωργιος Δημοσιεύτηκε Μάιος 30, 2025 Δημοσιεύτηκε Μάιος 30, 2025 Γιγάντιες μαύρες τρύπες που αποτελούν χαμένο κρίκο στην εξέλιξη τους στο Σύμπαν εντόπισε το James Webb. Μία ακόμη εντυπωσιακή ανακάλυψη του πανίσχυρου διαστημικού τηλεσκοπίου. Ομάδα αστρονόμων χρησιμοποιώντας το διαστημικό τηλεσκόπιο James Webb ανακάλυψε έναν κρυμμένο πληθυσμό από υπερμεγέθεις μαύρες τρύπες που υπήρχαν στο πρώιμο Σύμπαν οι οποίες φαίνεται ότι ανήκουν σε ένα άγνωστο μέχρι σήμερα τύπο μαύρων τρυπών.Αυτή η συναρπαστική ανακάλυψη θα μπορούσε να φωτίσει την ύπαρξη και εξέλιξη των κβάζαρ. Τα συμβατικά κβάζαρ είναι ενεργοί γαλαξιακές πυρήνες (AGNs), γαλαξίες που κυριαρχούνται από μαύρες τρύπες που τροφοδοτούνται ενεργά και περιβάλλονται από σύνθετα περιβάλλοντα σκόνης. Αυτά τα AGN τροφοδοτούνται από μεγάλες υπερμεγέθεις μαύρες τρύπες και είναι εξαιρετικά φωτεινά, γεγονός που τα καθιστά εύκολα ανιχνεύσιμα παρά την πυκνή ύλη που τα περιβάλλει.Το Δεκέμβριο του 2022 επιστήμονες που χρησιμοποιούσαν το James Webb ανακάλυψαν έναν παράξενο νέο τύπο AGN που ονόμασαν Little Red Dots και ονομάστηκε έτσι επειδή μοιάζουν με μικροσκοπικές, αμυδρά κόκκινες κουκκίδες στις εικόνες. Σε αντίθεση με τα κλασικά κβάζαρ, αυτές οι κουκκίδες είναι μικρότερες πιο αμυδρές και τείνουν να κρύβονται από μεγάλες ποσότητες σκόνης.Η σύνδεση μεταξύ των δύο τύπων AGN παραμένει μυστήριο ωθώντας τους αστρονόμους να αναζητήσουν αντικείμενα με ενδιάμεσες ιδιότητες. Για περισσότερο από μια δεκαετία, οι αστρονόμοι αναζητούν μακρινά κβάζαρ με το τηλεσκόπιο Subaru στη Χαβάη και έχουν εντοπίσει αρκετούς γαλαξίες που σχηματίστηκαν πολύ γρήγορα μετά τη Μεγάλη Έκρηξη, το μυστηριώδες φαινόμενο από το οποίο προέκυψε το Σύμπαν.Ενώ το φως από αυτούς τους γαλαξίες δεν ήταν τυπικό ενός κλασικού κβάζαρ, η ένταση του φωτός ήταν πολύ υψηλή για να οφείλεται μόνο στον σχηματισμό άστρων. Υποψιάζονταν ότι αυτοί οι γαλαξίες είχαν AGNs, τα οποία ήταν κρυμμένα στη σκόνη. Αλλά οι αστρονόμοι δεν μπόρεσαν να αποδείξουν ότι ήταν πράγματι διαφορετικός τύπος AGN λόγω τεχνικών περιορισμών των τηλεσκοπίων που χρησιμοποιήθηκαν. Η ανακάλυψη Χρησιμοποιώντας το ισχυρότερο διαστημικό τηλεσκόπιο που έχει κατασκευάσει η ανθρωπότητα διεθνής ερευνητική ομάδα μελέτησε εκ νέου αυτά τα αινιγματικά αντικείμενα που εντόπισε η έρευνα με το τηλεσκόπιο Subaru, μια διεθνής ομάδα αστρονόμων επιβεβαίωσε την παρουσία ταχέως κινούμενου αερίου υπό την επίδραση της ισχυρής βαρύτητας των υπερμεγέθων μαύρων τρυπών. Αυτό απέδειξε ότι τα αντικείμενα ήταν τελικά AGN αλλά ένας τύπος που δεν γνωρίζαμε μέχρι σήμερα.Τα ευρήματα της έρευνας παρουσιάζονται στο διαδικτυακό αρχείο προδημοσιεύσεων arXiv. Από τους 13 μακρινούς γαλαξίες που εξετάστηκαν στη νέα μελέτη, οι αστρονόμοι διαπίστωσαν ότι 9 εμφάνισαν σαφή σημάδια ενός νέου πληθυσμού ενεργών, υπερμεγέθων μαύρων τρυπών και τα μοτίβα φωτός τους φέρουν το αναμφισβήτητο δακτυλικό αποτύπωμα ενός κβάζαρ κρυμμένο πίσω από βαριά σκόνη.«Με έκπληξη ανακαλύψαμε ότι αυτά τα σκοτεινά κβάζαρ είναι τόσο άφθονα στο πρώιμο Σύμπαν», δήλωσε στο Live Science ο Γιοσίκι Ματσουόκα αναπληρωτής καθηγητής στο Ερευνητικό Κέντρο Διαστήματος και Κοσμικής Εξέλιξης στο Πανεπιστήμιο Ehime, επικεφαλής της μελέτης. https://www.naftemporiki.gr/techscience/1962605/giganties-mayres-trypes-poy-apoteloyn-chameno-kriko-stin-exelixi-toys-sto-sympan-entopise-to-james-webb/ Ο πλανήτης μας ειναι το λίκνο της ανθρωπότητας.Αλλα κανείς δεν περνάει ολη του τη ζωή στο λίκνο. Κονσταντίν Εντουάρντοβιτς Τσιολκόφσκι.
Δροσος Γεωργιος Δημοσιεύτηκε Ιούνιος 10, 2025 Δημοσιεύτηκε Ιούνιος 10, 2025 Το Chandra της NASA βλέπει έναν εκπληκτικά ισχυρό πίδακα μαύρης τρύπας στο κοσμικό «μεσημέρι» Μια μαύρη τρύπα έχει εκπέμψει έναν εκπληκτικά ισχυρό πίδακα στο μακρινό σύμπαν, σύμφωνα με μια νέα μελέτη από το Παρατηρητήριο ακτίνων Χ Chandra της NASA και η οποία συζητήθηκε στο τελευταίο μας δελτίο τύπου. Αυτός ο πίδακας υπάρχει αρκετά νωρίς στο σύμπαν ώστε να φωτίζεται από τη λάμψη που έχει απομείνει από την ίδια τη Μεγάλη Έκρηξη.Οι αστρονόμοι χρησιμοποίησαν το Chandra και το Karl G. Jansky Very Large Array (VLA) για να μελετήσουν αυτήν τη μαύρη τρύπα και τον πίδακά της σε μια περίοδο που ονομάζουν «κοσμικό μεσημέρι», η οποία συνέβη περίπου τρία δισεκατομμύρια χρόνια μετά την έναρξη του σύμπαντος. Κατά τη διάρκεια αυτής της περιόδου, οι περισσότεροι γαλαξίες και οι υπερμεγέθεις μαύρες τρύπες αναπτύσσονταν ταχύτερα από οποιαδήποτε άλλη στιγμή στην ιστορία του σύμπαντος.Το κύριο γραφικό είναι μια καλλιτεχνική απεικόνιση που δείχνει υλικό σε έναν δίσκο που πέφτει προς μια υπερμεγέθη μαύρη τρύπα. Ένας πίδακας εκτινάσσεται μακριά από τη μαύρη τρύπα προς τα πάνω δεξιά, όπως ανίχνευσε το Chandra στη νέα μελέτη. Η μαύρη τρύπα βρίσκεται 11,6 δισεκατομμύρια έτη φωτός από τη Γη όταν το κοσμικό μικροκυματικό υπόβαθρο (CMB), η λάμψη που είχε απομείνει από τη Μεγάλη Έκρηξη, ήταν πολύ πυκνότερη από ό,τι είναι τώρα. Καθώς τα ηλεκτρόνια στους πίδακες απομακρύνονται από τη μαύρη τρύπα, κινούνται μέσα στη θάλασσα της ακτινοβολίας CMB και συγκρούονται με φωτόνια μικροκυμάτων. Αυτές οι συγκρούσεις ενισχύουν την ενέργεια των φωτονίων προς τα πάνω στη ζώνη ακτίνων Χ (μωβ και λευκό), επιτρέποντάς τους να ανιχνευθούν από το Chandra ακόμη και σε αυτή τη μεγάλη απόσταση, η οποία φαίνεται στο ένθετο.Οι ερευνητές, στην πραγματικότητα, εντόπισαν και στη συνέχεια επιβεβαίωσαν την ύπαρξη δύο διαφορετικών μαύρων τρυπών με πίδακες μήκους άνω των 300.000 ετών φωτός. Οι δύο μαύρες τρύπες απέχουν 11,6 δισεκατομμύρια και 11,7 δισεκατομμύρια έτη φωτός από τη Γη, αντίστοιχα. Τα σωματίδια σε έναν πίδακα κινούνται με ταχύτητα μεταξύ 95% και 99% της ταχύτητας του φωτός (που ονομάζεται J1405+0415) και στον άλλο με ταχύτητα μεταξύ 92% και 98% της ταχύτητας του φωτός (J1610+1811). Ο πίδακας από τον J1610+1811 είναι αξιοσημείωτα ισχυρός, μεταφέροντας περίπου τη μισή ενέργεια από το έντονο φως από το θερμό αέριο που περιστρέφεται γύρω από τη μαύρη τρύπα.Η ομάδα κατάφερε να ανιχνεύσει αυτούς τους πίδακες παρά τις μεγάλες αποστάσεις και τη μικρή τους απόσταση από τις φωτεινές, αυξανόμενες υπερμεγέθεις μαύρες τρύπες - γνωστές ως «κβάζαρ» - λόγω της οξείας όρασης ακτίνων Χ του Chandra, και επειδή η CMB ήταν πολύ πυκνότερη τότε από ό,τι είναι τώρα, ενισχύοντας την ενεργειακή ώθηση που περιγράφεται παραπάνω.Όταν οι πίδακες κβάζαρ πλησιάζουν την ταχύτητα του φωτός, η θεωρία της ειδικής σχετικότητας του Αϊνστάιν δημιουργεί ένα δραματικό φαινόμενο φωτεινότητας. Οι πίδακες που στοχεύουν προς τη Γη φαίνονται πολύ φωτεινότεροι από αυτούς που είναι στραμμένοι μακριά. Η ίδια φωτεινότητα που παρατηρούν οι αστρονόμοι μπορεί να προέρχεται από πολύ διαφορετικούς συνδυασμούς ταχύτητας και γωνίας θέασης. Ένα τζετ που τρέχει με ταχύτητα σχεδόν φωτός αλλά σε γωνία μακριά από εμάς μπορεί να φαίνεται εξίσου φωτεινό με ένα πιο αργό τζετ που είναι στραμμένο απευθείας στη Γη.Οι ερευνητές ανέπτυξαν μια νέα στατιστική μέθοδο που τελικά έλυσε αυτή την πρόκληση του διαχωρισμού των επιδράσεων της ταχύτητας και της γωνίας θέασης. Η προσέγγισή τους αναγνωρίζει μια θεμελιώδη προκατάληψη: οι αστρονόμοι είναι πιο πιθανό να ανακαλύψουν τζετ που είναι στραμμένα προς τη Γη απλώς επειδή τα σχετικιστικά φαινόμενα τα κάνουν να φαίνονται πιο φωτεινά. Ενσωμάτωσαν αυτήν την προκατάληψη χρησιμοποιώντας μια τροποποιημένη κατανομή πιθανοτήτων, η οποία εξηγεί πώς ανιχνεύονται οι τζετ που είναι προσανατολισμένοι σε διαφορετικές γωνίες στις έρευνες. Η μέθοδός τους λειτουργεί χρησιμοποιώντας πρώτα τη φυσική του τρόπου με τον οποίο τα σωματίδια των τζετ σκεδάζουν την CMB για να προσδιορίσουν τη σχέση μεταξύ της ταχύτητας του τζετ και της γωνίας θέασης. Στη συνέχεια, αντί να υποθέσουν ότι όλες οι γωνίες είναι εξίσου πιθανές, εφαρμόζουν το φαινόμενο της σχετικιστικής επιλογής: οι τζετ που εκπέμπονται προς εμάς (μικρότερες γωνίες) υπερεκπροσωπούνται στους καταλόγους μας. Εκτελώντας δέκα χιλιάδες προσομοιώσεις που ταιριάζουν με αυτήν την προκατειλημμένη κατανομή στο φυσικό τους μοντέλο, μπόρεσαν τελικά να προσδιορίσουν τις πιο πιθανές γωνίες θέασης: περίπου 9 μοίρες για το J1405+0415 και 11 μοίρες για το J1610+1811. Αυτά τα αποτελέσματα παρουσιάστηκαν από την Jaya Maithil (Κέντρο Αστροφυσικής | Harvard & Smithsonian) στην 246η συνάντηση της Αμερικανικής Αστρονομικής Εταιρείας στο Άνκορατζ της Αλάσκας και δημοσιεύονται επίσης στο The Astrophysical Journal. Μια προδημοσίευση είναι διαθέσιμη εδώ. Το Κέντρο Διαστημικών Πτήσεων Marshall της NASA στο Χάντσβιλ της Αλαμπάμα διαχειρίζεται το πρόγραμμα Chandra. Το Κέντρο Ακτίνων Χ Chandra του Αστροφυσικού Παρατηρητηρίου Smithsonian ελέγχει τις επιστημονικές επιχειρήσεις από το Κέιμπριτζ της Μασαχουσέτης και τις πτητικές λειτουργίες από το Μπέρλινγκτον της Μασαχουσέτης. Μια μαύρη τρύπα εξέπεμψε έναν εκπληκτικά ισχυρό πίδακα στο μακρινό σύμπαν, σύμφωνα με μια μελέτη από το Παρατηρητήριο Ακτίνων Χ Chandra της NASA. https://www.nasa.gov/image-article/nasas-chandra-sees-surprisingly-strong-black-hole-jet-at-cosmic-noon/ Ο πλανήτης μας ειναι το λίκνο της ανθρωπότητας.Αλλα κανείς δεν περνάει ολη του τη ζωή στο λίκνο. Κονσταντίν Εντουάρντοβιτς Τσιολκόφσκι.
Δροσος Γεωργιος Δημοσιεύτηκε Ιούνιος 11, 2025 Δημοσιεύτηκε Ιούνιος 11, 2025 Εντοπίστηκαν οι μεγαλύτερες εκρήξεις στο Σύμπαν και ανοίγει νέο παράθυρο μελέτης των μαύρων τρυπών. Πρόκειται για ένα ακραίο φαινόμενο καταστροφής μεγάλων άστρων. Οι αστρονόμοι ανακάλυψαν τις πιο ισχυρές κοσμικές εκρήξεις από την εποχή της Μεγάλης Έκρηξης του μυστηριώδους φαινομένου από το οποίο προέκυψε το Σύμπαν και τους έδωσαν την ονομασία «ακραίες πυρηνικές μεταβατικές εκρήξεις» (ENTs).Αυτές οι απίστευτα ενεργητικές εκρήξεις συμβαίνουν όταν άστρα με μάζες τουλάχιστον τρεις φορές μεγαλύτερες από αυτή του Ήλιου διαλύονται από υπερμεγέθεις μαύρες τρύπες. Ενώ τέτοια γεγονότα έχουν παρατηρηθεί και στο παρελθόν, οι αστρονόμοι λένε ότι μερικές από αυτές τις εκρήξεις που ανακαλύφθηκαν πρόσφατα είναι αρκετά ισχυρές ώστε να ταξινομηθούν ως νέο φαινόμενο: ακραίες πυρηνικές μεταβατικές εκρήξεις (ENTs).«Έχουμε παρατηρήσει άστρα να διαλύονται ως γεγονότα παλιρροϊακής διαταραχής για πάνω από μια δεκαετία, αλλά αυτές οι ENTs είναι διαφορετικά θηρία, φτάνοντας σε φωτεινότητα σχεδόν δέκα φορές μεγαλύτερη από αυτήν που βλέπουμε συνήθως» δήλωσε ο Τζέισον Χινκλ ερευνητής στο Ινστιτούτο Αστρονομίας του Πανεπιστημίου της Χαβάης, ο οποίος ηγήθηκε μιας μελέτης για αυτά τα γεγονότα. «Όταν είδα αυτές τις ομαλές, μακρόβιες εκλάμψεις από τα κέντρα μακρινών γαλαξιών, ήξερα ότι κοιτούσαμε κάτι ασυνήθιστο».Αυτές οι εκρήξεις διαφέρουν από τα γεγονότα παλιρροϊακής διαταραχής (TDEs), τα οποία είναι μαζικές απελευθερώσεις ενέργειας που συμβαίνουν όταν ακραίες βαρυτικές δυνάμεις γύρω από μαύρες τρύπες διαλύουν τα άστρα, εκσφενδονίζοντας μεγάλο μέρος της μάζας τους στο Διάστημα. Αλλά τα TDEs συνήθως διαρκούν μόνο λίγες ώρες. Τα γεγονότα που μελετήθηκαν στη νέα μελέτη που δημοσιεύονται στην επιθεώρηση «Science Advances» φάνηκαν να διαρκούν πολύ περισσότερο. «Οι ENTs όχι μόνο είναι πολύ φωτεινότερες από τα κανονικά γεγονότα παλιρροιακής διαταραχής, αλλά παραμένουν φωτεινές για χρόνια, ξεπερνώντας κατά πολύ την ενεργειακή απόδοση ακόμη και των πιο φωτεινών γνωστών εκρήξεων σουπερνόβα» αναφέρει ο Χινκλ.«Εκτός του ότι είναι οι πιο ισχυρές γνωστές εκρήξεις στο σύμπαν, οι ENTs μπορούν να βοηθήσουν τους αστρονόμους να μάθουν περισσότερα για τις τεράστιες μαύρες τρύπες σε μακρινούς γαλαξίες. Αυτό συμβαίνει επειδή η απίστευτη φωτεινότητα αυτών των γεγονότων σημαίνει ότι μπορούν να παρατηρηθούν σε τεράστιες αποστάσεις» σύμφωνα με τον Μπέντζαμιν Σαπέ αστρονόμος του Ινστιτούτου Αστρονομίας του Πανεπιστημίου της Χαβάης, μέλος της ερευνητικής ομάδας.«Παρατηρώντας αυτές τις παρατεταμένες εκλάμψεις, αποκτούμε γνώσεις σχετικά με την ανάπτυξη των μαύρων τρυπών όταν το Σύμπαν ήταν στο μισό της τρέχουσας ηλικίας του και οι γαλαξίες ήταν πολυάσχολοι χώροι — σχηματίζοντας αστέρια και τροφοδοτώντας τις υπερμεγέθεις μαύρες τρύπες τους 10 φορές πιο έντονα από ό,τι σήμερα» λέει ο Σαπέ.Μία από αυτές τις εκρήξεις ENTs, την οποία οι αστρονόμοι ονόμασαν Gaia18cdj, απελευθέρωσε πάνω από 25 φορές περισσότερη ενέργεια από τον πιο ισχυρό σουπερνόβα που ανακαλύφθηκε ποτέ, περισσότερο από την ποσότητα ενέργειας που θα απελευθερωνόταν από 100 άστρα σαν τον Ήλιο καθ’ όλη τη διάρκεια της ζωής τους. https://www.naftemporiki.gr/techscience/1965682/entopistikan-oi-megalyteres-ekrixeis-sto-sympan-kai-anoigei-neo-parathyro-meletis-ton-mayron-trypon/ Ο πλανήτης μας ειναι το λίκνο της ανθρωπότητας.Αλλα κανείς δεν περνάει ολη του τη ζωή στο λίκνο. Κονσταντίν Εντουάρντοβιτς Τσιολκόφσκι.
Δροσος Γεωργιος Δημοσιεύτηκε Ιούνιος 13, 2025 Δημοσιεύτηκε Ιούνιος 13, 2025 Τα άστρα σπάνε κυριολεκτικά σαν αβγά στις μαύρες τρύπες. Εντυπωσιακά ευρήματα για το πώς καταστρέφουν την ύλη οι μελανές οπές. Το Σύμπαν είναι γεμάτο θεαματικά και βίαια γεγονότα, αλλά λίγα είναι πιο δραματικά από μια μαύρη τρύπα που διαλύει ένα άστρο. Τώρα, χάρη σε προηγμένες προσομοιώσεις υπολογιστών, οι επιστήμονες βλέπουν από κοντά πώς μπορεί να μοιάζει αλλά και να ακούγεται αυτή η κοσμική καταστροφή.Μια ομάδα αστρονόμων, με επικεφαλής τον θεωρητικό αστροφυσικό Ελίας Μοστ του Τεχνολογικού Ινστιτούτου της Καλιφόρνια (Caltech), μοντελοποίησε τα δραματικά τελευταία χιλιοστά του δευτερολέπτου πριν ένα άστρο νετρονίων (ο απίστευτα πυκνός πυρήνας ενός άστρου που εξερράγη) καταβροχθιστεί από μια μαύρη τρύπα.Τα αποτελέσματα, που δημοσιεύθηκαν στην επιθεώρηση «The Astrophysical Journal Letters» και δείχνουν ότι σε αυτές τις τελευταίες στιγμές, η επιφάνεια του άστρου σπάει όπως το έδαφος κατά τη διάρκεια ενός σεισμού. Λίγο πριν το άστρο νετρονίων εξαφανιστεί στην άβυσσο της μαύρης τρύπας, μερικά από τα πιο ισχυρά κρουστικά κύματα που γνωρίζουμε θα εκραγούν προς τα έξω σε ένα είδος βίαιου, τελευταίου αποχαιρετισμού. Η εργασία της ερευνητικής ομάδας προβλέπει επίσης τα είδη των σημάτων που μπορεί να στείλει αυτή η κοσμική σύγκρουση στο Διάστημα, σήματα που οι αστρονόμοι που θα μπορούσαν μια μέρα να ανιχνεύσουν είτε με επίγεια είτε με διαστημικά τηλεσκόπια.«Πριν από αυτήν την προσομοίωση, οι άνθρωποι πίστευαν ότι μπορούσες να σπάσεις ένα αστέρι νετρονίων σαν ένα αυγό, αλλά ποτέ δεν ρωτούσαν αν μπορούσες να ακούσεις το σπάσιμο. Η εργασία μας προβλέπει ότι, ναι, μπορούσες να το ακούσεις ή να το ανιχνεύσεις ως ραδιοσήμα» λέει ο Μοστ. Το φαινόμενο Η προσομοίωση δείχνει ότι λίγο πριν το άστρο νετρονίων… καταποθεί, η τεράστια βαρύτητα της μαύρης τρύπας διαπερνά την επιφάνειά του, προκαλώντας βίαιους αστρικούς σεισμούς. Αυτό προκαλεί κυματισμούς και συστροφές στο πανίσχυρο μαγνητικό πεδίο του άστρου παράγοντας αυτό που οι αστρονόμοι ονομάζουν κύματα Alfvén.Στη συνέχεια αυτά τα κύματα μετατρέπονται σε μια ισχυρή έκρηξη, εκπέμποντας μια έκρηξη ραδιοκυμάτων γνωστή ως ταχεία έκρηξη ραδιοκυμάτων (FRB). Το επερχόμενο δίκτυο δύο χιλιάδων ραδιοκεραιών του Caltech στη Νεβάδα μπορεί μια μέρα να είναι αρκετά ευαίσθητο για να ανιχνεύσει αυτές τις τελικές εκρήξεις σύμφωνα με την ερευνητική ομάδα.Στη συνέχεια, καθώς εξαφανίζεται μέσα στη μαύρη τρύπα, η προσομοίωση αποκαλύπτει «τεράστια κύματα κλονισμού» ακόμη πιο δυνατά από αυτά που προκαλούνται από την αρχική ρωγμή που εκρήγνυται προς τα έξω. Αυτά τα κύματα μπορούν επίσης να δημιουργήσουν ανιχνεύσιμα ραδιοσήματα, επιτρέποντας ενδεχομένως στους αστρονόμους να πιάσουν δύο ξεχωριστές εκρήξεις από μια σύγκρουση ενός μόνο άστρου νετρονίων με μια μαύρη τρύπα.«Αυτό ξεπερνά τα υπάρχοντα μοντέλα για το φαινόμενο. Είναι μια πραγματική προσομοίωση που περιλαμβάνει όλη τη σχετική Φυσική που συμβαίνει όταν το άστρο νετρονίων σπάει σαν αυγό» αναφέρει η κ. Κατερίνα Χατζηιωάννου, επίκουρη καθηγήτρια Φυσικής στο Caltech και συν-συγγραφέας της νέας μελέτης.Η προσομοίωση προβλέπει επίσης τον πιθανό σχηματισμό ενός σπάνιου, υποθετικού αντικειμένου γνωστού ως πάλσαρ μαύρης τρύπας. Τα παραδοσιακά πάλσαρ είναι περιστρεφόμενα αστέρια νετρονίων που εκπέμπουν δέσμες ακτινοβολίας και η νέα μελέτη υποδηλώνει ότι μια μαύρη τρύπα θα μπορούσε να μιμηθεί για λίγο αυτή τη συμπεριφορά ενώ καταναλώνει ένα άστρο νετρονίων.Αυτό το φαινόμενο συμβαίνει επειδή, καθώς η μαύρη τρύπα κατακλύζει το άστρο νετρονίων έλκει επίσης το μαγνητικό πεδίο του άστρου. «Αλλά πρέπει να απαλλαγεί από αυτό. Αυτό που δείχνει η προσομοίωση είναι ότι στην πραγματικότητα το κάνει αυτό με τρόπο που σχηματίζει μια κατάσταση που μοιάζει με πάλσαρ» εξηγεί ο Μοστ.Αυτά τα πάλσαρ μαύρης τρύπας θα διαρκούσαν μόνο ένα κλάσμα του δευτερολέπτου, αλλά θα μπορούσαν να εκπέμπουν μια σύντομη έκρηξη ακτίνων Χ υψηλής ενέργειας ή ακτίνων γάμμα, μια αδιαμφισβήτητη υπογραφή του βίαιου τέλους ενός άστρου σύμφωνα με τη νέα μελέτη. Καλλιτεχνική απεικόνιση μιας μαύρης τρύπας να σπάει σαν αβγό ένα άστρο. https://www.naftemporiki.gr/techscience/1967251/ta-astra-spane-kyriolektika-san-avga-stis-mayres-trypes/ Ο πλανήτης μας ειναι το λίκνο της ανθρωπότητας.Αλλα κανείς δεν περνάει ολη του τη ζωή στο λίκνο. Κονσταντίν Εντουάρντοβιτς Τσιολκόφσκι.
Δροσος Γεωργιος Δημοσιεύτηκε Ιούλιος 30, 2025 Δημοσιεύτηκε Ιούλιος 30, 2025 (επεξεργάστηκε) GW231123: η υπερ-μαζικότερη συγχώνευση μαύρων τρυπών που καταγράφηκε μέχρι σήμερα. Η ερευνητική ομάδα LIGO-Virgo-KAGRA (LVK) ανίχνευσε την υπερ-μαζικότερη συγχώνευση μαύρων τρυπών που έχει παρατηρηθεί μέχρι σήμερα με βαρυτικά κύματα. Η καταγραφή των βαρυτικών κυμάτων έγινε από τους δύο ανιχνευτές LIGO, στο Hanford (Washington) και στο Livingston (Louisiana), οι οποίοι χρηματοδοτούνται (ακόμα) από το Εθνικό Ίδρυμα Επιστημών των ΗΠΑ. Από την συγχώνευση προέκυψε μια τελική μαύρη τρύπα με μάζα πάνω από 225 φορές τη μάζα του Ήλιου μας. Το σήμα, με την ονομασία GW231123, παρατηρήθηκε κατά τη διάρκεια της τέταρτης περιόδου παρατήρησης (O4) του δικτύου LVK στις 23 Νοεμβρίου 2023. Οι δύο μαύρες τρύπες που συγχωνεύθηκαν είχαν περίπου 100 και 140 φορές τη μάζα του Ήλιου. Δεδομένου ότι πρόκειται για την (υπερ)μαζικότερη συγχώνευση μαύρων τρυπών που παρατηρήθηκε μέχρι σήμερα, αποτελεί μια πραγματική πρόκληση για την κατανόηση του σχηματισμού μαύρων τρυπών. Τοσο τεράστιες μαύρες τρύπες απαγορεύονται από τα καθιερωμένα μοντέλα αστρικής εξέλιξης. Μια πιθανότητα είναι ότι οι δύο μαύρες τρύπες σε αυτό το δυαδικό σύστημα να σχηματίστηκαν από προηγούμενες συγχωνεύσεις μικρότερων μαύρων τρυπών. Για περισσότερες λεπτομέρειες, διαβάστε το πλήρες δελτίο τύπου https://ligo.org/wp-content/uploads/2025/07/Press-release-for-GW231123-discovery-paper-final.pdf και την σελίδα του σήματος GW231123. https://ligo.org/detections/gw231123/ (νεώτερη ενημέρωση) ΣΥΜΜΕΤΟΧΗ ΤΟΥ ΑΠΘ ΟΙ ΠΙΟ ΜΑΖΙΚΕΣ ΜΕΛΑΝΕΣ ΟΠΕΣ ΠΟΥ ΑΝΑΚΑΛΥΦΘΗΚΑΝ ΜΕ ΒΑΡΥΤΙΚΑ ΚΥΜΑΤΑ Η κοινοπραξία LIGO-Virgo-KAGRA, στην οποία συμμετέχει το ΑΠΘ, ανακοίνωσε την ανίχνευση της συγχώνευσης των πιο μαζικών μελανών οπών που έχουν παρατηρηθεί ποτέ με βαρυτικά κύματα. Το σήμα, που ονομάζεται GW231123 επειδή ανιχνεύθηκε στις 23 Νοεμβρίου 2023, προήλθε από τη συγχώνευση δύο μελανών οπών με περίπου 103 και 137 φορές τη μάζα του Ήλιου, που παρήγαγε μια τελική τελική μελανή οπή με μάζα μεγαλύτερη από 225 φορές τη μάζα του Ήλιου! Εκτός από τις υψηλές μάζες τους, περιστρέφονται επίσης γρήγορα, καθιστώντας αυτό το σήμα μοναδικά δύσκολο στην ερμηνεία, ωθώντας τα όργανα μέτρησης και τις δυνατότητες ανάλυσης δεδομένων μας στα όρια του δυνατού αυτή τη στιγμή. Η Ομάδα Βαρυτικών Κυμάτων του ΑΠΘ, με επικεφαλής τον καθηγητή του Τμήματος Φυσικής κ. Νικόλαο Στεργιούλα, συμμετέχει στο διεθνές πείραμα μέσω μνημονίου συνεργασίας του ΑΠΘ και του European Gravitational Observatory που λειτουργεί τον ανιχνευτή Virgo στην Πίζα της Ιταλίας. Ο κ. Στεργιούλας είχε ρόλο εσωτερικού αξιολογητή των αποτελεσμάτων που αφορούν την παραγωγή βαρυτικής ακτινοβολίας από τις ταλαντώσεις της τελικής μελανής οπής. https://www.facebook.com/AstroAUTH/ Το επεξεργάστηκε Ιούλιος 30, 2025 ο Δροσος Γεωργιος Ο πλανήτης μας ειναι το λίκνο της ανθρωπότητας.Αλλα κανείς δεν περνάει ολη του τη ζωή στο λίκνο. Κονσταντίν Εντουάρντοβιτς Τσιολκόφσκι.
Δροσος Γεωργιος Δημοσιεύτηκε Αύγουστος 1, 2025 Δημοσιεύτηκε Αύγουστος 1, 2025 Εντοπίστηκε σούπερ συγχώνευση μαύρων τρυπών που φωτίζει τα πιο μυστηριώδη μυστικά τους. Γεννήθηκε ο πιο σπάνιος τύπος μελανών οπών στο Σύμπαν. Επιστήμονες εντόπισαν τη μεγαλύτερη συγχώνευση μαύρων τρυπών που έχει καταγραφεί ποτέ. Πρόκειται για μια σύγκρουση ανάμεσα σε δύο μεγάλες μαύρες τρύπες που περιστρέφονταν η μία γύρω από την άλλη φαινόμενο που περιέχει στοιχεία για ένα ελάχιστα γνωστό τύπο μαύρης τρύπας ο οποίος όπως φαίνεται θα αποτελέσει προϊόν της συγχώνευσης.Η συγχώνευση, που συνέβη στα περίχωρα του γαλαξία μας παρήγαγε μια μαύρη τρύπα με μάζα περίπου 225 φορές μεγαλύτερη από εκείνη του Ήλιου. Αυτό είναι σχεδόν το διπλάσιο του προηγούμενου ρεκόρ, όπου η τελική μαύρη τρύπα μετά από μια παρόμοια συγχώνευση είχε μάζα περίπου 142 ήλιων. Η νέα αυτή κοσμική σύγκρουση εντοπίστηκε από τη συνεργασία LIGO–Virgo–KAGRA (LVK), ένα δίκτυο τεσσάρων ανιχνευτών που καταγράφει κοσμικά κατακλυσμιαία γεγονότα μέσω των βαρυτικών κυμάτων που δημιουργούνται.Τα βαρυτικά κύματα είναι ρυτιδώσεις στον ιστό του χωροχρόνου, που προβλέφθηκαν αρχικά από τον Άλμπερτ Αϊνστάιν και επιβεβαιώθηκαν για πρώτη φορά από το LIGO το 2015, μια ανακάλυψη που χάρισε το Νόμπελ Φυσικής στους ερευνητές το 2017. Αυτό που έκανε τη συγκεκριμένη συγχώνευση τόσο ενδιαφέρουσα είναι οι μάζες των δύο μαύρων τρυπών: περίπου 100 και 140 φορές τη μάζα του Ήλιου.Αυτές οι τιμές εμπίπτουν σε μια περιοχή γνωστή ως «κενό μάζας» όπου σύμφωνα με τη συμβατική αστροφυσική δεν θα έπρεπε να υπάρχουν μαύρες τρύπες. Οι επιστήμονες θα παρουσιάσουν τα ευρήματά τους στο 24ο Διεθνές Συνέδριο Γενικής Σχετικότητας και Βαρύτητας και στο 16ο Συνέδριο Edoardo Amaldi για τα Βαρυτικά Κύματα που διεξάγεται στη Γλασκόβη.«Περιμένουμε οι περισσότερες μαύρες τρύπες να δημιουργούνται όταν πεθαίνουν άστρα. Αν είναι αρκετά μεγάλα καταρρέουν σε μαύρες τρύπες. Αλλά για πολύ μεγάλα αστέρια, οι θεωρίες μας λένε ότι η κατάρρευση είναι ασταθής και το μεγαλύτερο μέρος της μάζας εκτινάσσεται σε υπερκαινοφανείς εκρήξεις και δεν σχηματίζεται μαύρη τρύπα. Δεν περιμένουμε μαύρες τρύπες με μάζες μεταξύ 60 και 130 ηλιακών μαζών — όμως εδώ φαίνεται να υπάρχουν», δήλωσε ο καθηγητής φυσικής Μάρκ Χάναν του Πανεπιστημίου του Κάρντιφ μέλος του LVK.Οι αστρονόμοι έχουν εντοπίσει ένα πολύ μεγάλο αριθμό μαύρων τρυπών στο Σύμπαν με τις περισσότερες να έχουν μάζα από χιλιάδες ως εκατομμύρια ακόμη και δισεκατομμύρια φορές μεγαλύτερη από αυτή του Ήλιου. Φαινόμενα συγχώνευσης όμως έχουν εντοπιστεί μέχρι σήμερα μόνο σε μικρού μεγέθους μαύρες τρύπες και αναμένεται με τεράστιο ενδιαφέρον η ανακάλυψη πολύ μεγάλων μαύρων τρυπών για να μελετηθούν τα κοσμικά φαινόμενα που παράγουν. https://www.naftemporiki.gr/techscience/1981557/entopistike-soyper-sygchoneysi-mayron-trypon-poy-fotizei-ta-pio-mystiriodi-mystika-toys/ Ο πλανήτης μας ειναι το λίκνο της ανθρωπότητας.Αλλα κανείς δεν περνάει ολη του τη ζωή στο λίκνο. Κονσταντίν Εντουάρντοβιτς Τσιολκόφσκι.
Δροσος Γεωργιος Δημοσιεύτηκε Αύγουστος 5, 2025 Δημοσιεύτηκε Αύγουστος 5, 2025 Άστρο με «σύνδρομο Στοκχόλμης» δραπέτευσε από μαύρη τρύπα και επέστρεψε σε αυτή μετά από δύο χρόνια. Πρόκειται για κοσμικό φαινόμενο που καταγράφεται για πρώτη φορά. Όταν οποιοδήποτε διαστημικό αντικείμενο ή κοσμική ύλη πέσει στα πανίσχυρα βαρυτικά δίχτυα μιας μαύρης τρύπας η τύχη του είναι προδιαγεγραμμένη και το τέλος της ύπαρξης του βέβαιο. Σε μια μοναδική μέχρι σήμερα ανακάλυψη ένα άστρο που είχε παγιδευτεί σε μια μαύρη τρύπα η οποία το… καταβρόχθιζε κατάφερε να ξεφύγει αλλά όπως φαίνεται γύρισε πίσω και η μαύρη τρύπα συνέχισε το γεύμα της από εκεί που το είχε αφήσει.Η ερευνητική ομάδα που παρακολουθούσε τη μαύρη τρύπα εντόπισε πριν από τέσσερα χρόνια δραστηριότητα που παρέπεμπε στην απορρόφηση ενός άστρου από αυτή. Πιο συγκεκριμένα εντόπισε μια έκλαμψη που επιβεβαίωσε ότι πρόκειται από ένα άστρο που είχε πέσει θύμα της μαύρης τρύπας. Επτακόσιες μέρες αργότερα η ερευνητική ομάδα εντόπισε μια ακόμη έκλαμψη στη μαύρη τρύπα και τα μέλη της ομάδας έμειναν έκπληκτα όταν διαπίστωσαν ότι η έκλαμψη αυτή δεν προερχόταν από κάποιο άλλο άστρο που είχε «συλλάβει» η μαύρη τρύπα αλλά από το άστρο που είχαν παρατηρήσει πριν δύο χρόνια το οποίο κανονικά δεν έπρεπε πλέον να υπάρχει.Η ερευνητική ομάδα έδωσε στο φαινόμενο που εντόπισε την κωδική ονομασία AT 2022dbl και υποστηρίζει ότι αυτό που συνέβη είναι ότι το άστρο που είδαν να καταστρέφεται στη μαύρη τρύπα κατάφερε με κάποιο τρόπο να ξεφύγει από αυτή αλλά για άγνωστη αιτία επέστρεψε και άφησε τη μαύρη τρύπα να το… δαγκώσει ξανά.Είναι η πρώτη φορά που η επιστημονική κοινότητα έχει στη διάθεση της απτές αποδείξεις του συγκεκριμένου φαινομένου ανοίγοντας ένα νέο κεφάλαιο στις έρευνες για τις μαύρες τρύπες. Το ερώτημα που τίθεται τώρα είναι αν το άστρο κατάφερε να επιβιώσει και από τη δεύτερη επαφή του με τη μαύρη τρύπα ή αν η επιστροφή του ήταν τελικά μοιραία για αυτό. Μια πρώτη ένδειξη για το τι συνέβη θα είναι αν οι αστρονόμοι εντοπίσουν σε περίπου 700 μέρες μετά τη δεύτερη έκλαμψη μια ακόμη που να προέρχεται φυσικά από το ίδιο άστρο.Η ερευνητική ομάδα με δημοσίευση της στην επιθεώρηση «Astrophysical Journal Letters» περιγράφει την ανακάλυψη της και αναφέρει ότι υπολογίζει ότι η μια τρίτη έκλαμψη αν το άστρο είναι ζωντανό θα κάνει την εμφάνιση της κάποια στιγμή στις αρχές του 2026 οπότε έχει ήδη στρέψει και πάλι το ενδιαφέρον της στη περιοχή της μαύρης τρύπας για νέες παρατηρήσεις. https://www.naftemporiki.gr/techscience/1987230/astro-me-syndromo-stokcholmis-drapeteyse-apo-mayri-trypa-kai-epestrepse-se-ayti-meta-apo-dyo-chronia/ Ο πλανήτης μας ειναι το λίκνο της ανθρωπότητας.Αλλα κανείς δεν περνάει ολη του τη ζωή στο λίκνο. Κονσταντίν Εντουάρντοβιτς Τσιολκόφσκι.
Δροσος Γεωργιος Δημοσιεύτηκε Αύγουστος 11, 2025 Δημοσιεύτηκε Αύγουστος 11, 2025 (επεξεργάστηκε) H μεγαλύτερη μαύρη τρύπα. … που έχει ανακαλυφθεί μέχρι σήμερα (;) Η υπερμεγέθης μαύρη τρύπα που ανιχνεύθηκε είναι 36 δισεκατομμύρια φορές βαρύτερη από τον ήλιο, 10.000 φορές βαρύτερη από την μαύρη τρύπα που βρίσκεται στο κέντρο του Γαλαξία μας και προσεγγίζει το θεωρητικό ανώτατο όριο του τι είναι δυνατό στο σύμπαν. Βρίσκεται, σε απόσταση περίπου 5 δισεκατομμυρίων ετών φωτός από τη Γη, στον γαλαξία Κοσμικό Πέταλο. Η τεράστια μάζα αυτού του γαλαξία παραμορφώνει τον χωροχρόνο δημιουργώντας έναν γιγάντιο δακτύλιο Αϊνστάιν σε σχήμα πετάλου από το φως ενός γαλαξία που βρίσκεται στο υπόβαθρο.Οι αστρονόμοι ανίχνευσαν την εν λόγω μαύρη τρύπα χρησιμοποιώντας έναν συνδυασμό βαρυτικής εστίασης και αστρικής κινηματικής (η μελέτη της κίνησης των άστρων μέσα στους γαλαξίες και γύρω από τις μαύρες τρύπες). Η τελευταία μέθοδος θεωρείται ως η χρυσή μέθοδος για την μέτρηση της μάζας των μαύρων τρυπών, αλλά δεν λειτουργεί στο πολύ μακρινό σύμπαν, επειδή οι γαλαξίες φαίνονται πολύ μικροί ώστε να διακριθεί η περιοχή που βρίσκεται μια υπερμεγέθης μαύρη τρύπα. Η προσθήκη δεδομένων από το φαινόμενο του βαρυτικού εστιασμού βοήθησε την ομάδα να φτάσει πολύ μακρύτερα στο σύμπαν. Συνδυάζοντας αυτές τις δύο μετρήσεις, οι ερευνητές είναι απόλυτα βέβαιοι ότι η μαύρη τρύπα είναι πραγματική.Πρόκειται για μια «αδρανή» μαύρη τρύπα – αφού δεν συσσωρεύει ενεργά υλικό κατά τη στιγμή της παρατήρησης. Η ανίχνευσή της βασίστηκε αποκλειστικά στην τεράστια βαρυτική της έλξη και στην επίδραση που έχει στο περιβάλλον της. Αυτό που είναι ιδιαίτερα ενδιαφέρον είναι ότι αυτή η μέθοδος μας επιτρέπει να ανιχνεύσουμε και να μετρήσουμε τη μάζα αυτών των κρυφών υπερμαζικών μαύρων τρυπών σε όλο το σύμπαν, ακόμα και όταν είναι εντελώς σιωπηλές. Συνήθως, για τέτοια απομακρυσμένα συστήματα, οι μετρήσεις μάζας των μαύρων τρυπών είναι δυνατές μόνο όταν η μαύρη τρύπα είναι ενεργή. Αλλά αυτές οι εκτιμήσεις που βασίζονται στην συσσώρευση συχνά συνοδεύονται από σημαντικές αβεβαιότητες. Η ανακάλυψη είναι σημαντική επειδή θα βοηθήσει τους αστρονόμους να κατανοήσουν τη σύνδεση μεταξύ των υπερμεγέθων μαύρων τρυπών και των γαλαξιών που τις φιλοξενούν.Ένα άλλο ενδιαφέρον χαρακτηριστικό του συστήματος Κοσμικού Πέταλου είναι ότι ο γαλαξίας που τον φιλοξενεί είναι αυτό που οι αστρονόμοι αποκαλούν ομάδα απολιθωμάτων. Πρόκειται για την τελική κατάσταση των πιο ογκωδών βαρυτικά συνδεδεμένων δομών στο σύμπαν, οι οποίες προκύπτουν όταν έχουν καταρρεύσει σε έναν ενιαίο εξαιρετικά υπερμαζικό γαλαξία, χωρίς φωτεινούς συνοδούς. Είναι πιθανό όλες οι υπερμεγέθεις μαύρες τρύπες που αρχικά βρίσκονταν στους συνοδούς γαλαξίες να έχουν πλέον συγχωνευθεί για να σχημάτισαν την υπερμαζική μαύρη τρύπα που ανιχνεύθηκε. Βλέπουμε δηλαδή, την τελική κατάσταση σχηματισμού γαλαξιών και την τελική κατάσταση σχηματισμού μαύρης τρύπας. Ο Κοσμικός Πεταλοειδής Βαρυτικός Φακός. Η πρόσφατα ανακαλυφθείσα υπερμαζική μαύρη τρύπα βρίσκεται στο κέντρο του πορτοκαλί γαλαξία. Το γαλάζιο πέταλο που τον περικυκλώνει είναι η εικόνα ενός πολύ πιο μακρινού γαλαξία, η οποία μεγεθύνθηκε και παραμορφώθηκε σε έναν δακτύλιο από την τεράστια βαρυτική έλξη του πορτοκαλί γαλαξία που φαίνεται στο κέντρο του δακτυλίου. Το φαινόμενο αυτό ονομάζεται δακτύλιος του Αϊνστάιν και προβλέπεται από την Γενική Θεωρία της Σχετικότητας. Η τεράστια μάζα του φωτεινού κόκκινου γαλαξία καμπυλώνει, στρεβλώνει και μεγεθύνει το φως του γαλαξία που «κρύβεται» πίσω του, λειτουργώντας σαν ένας γιγάντιος «βαρυτικός» φακός που παραμορφώνει την εικόνα του. Συνήθως κάθε γαλαξίας στο σύμπαν διαθέτει μια υπερμαζική μαύρη τρύπα στο κέντρο του και οι μεγαλύτεροι γαλαξίες φιλοξενούν τις μεγαλύτερες υπερμεγέθεις μαύρες τρύπες. πηγές: https://www.ras.ac.uk/news-and-press/research-highlights/most-massive-black-hole-ever-discovered-detected – https://academic.oup.com/mnras/article/541/4/2853/8213862 Σπάνιο είδος μαύρης τρύπας που «τσιμπάει» ένα αστέρι Δύο ελλειπτικοί γαλαξίες επάνω δεξιά και κάτω αριστερά εμφανίζονται ως θολά λευκά οβάλ. Στο κάτω κέντρο υπάρχει μια θολή μωβ κηλίδα. Η κύρια εικόνα έχει επίσης δύο φωτεινά αστέρια με εμφανείς αιχμές περίθλασης. Το φόντο του διαστήματος είναι μαύρο και είναι γεμάτο με μικροσκοπικές λευκές κουκκίδες. Το Διαστημικό Τηλεσκόπιο Hubble της NASA και το Αστεροσκοπείο ακτίνων Χ Chandra της NASA συνεργάστηκαν για να εντοπίσουν ένα νέο πιθανό παράδειγμα μιας σπάνιας κατηγορίας μαύρων τρυπών, που αναγνωρίστηκαν από την εκπομπή ακτίνων Χ (με μωβ) σε αυτήν την εικόνα που δημοσιεύθηκε στις 24 Ιουλίου 2025. Αυτή η φωτεινή πηγή ακτίνων Χ, που ονομάζεται NGC 6099 HLX-1, φαίνεται να βρίσκεται σε ένα συμπαγές αστρικό σμήνος σε έναν γιγάντιο ελλειπτικό γαλαξία. Αυτές οι σπάνιες μαύρες τρύπες ονομάζονται μαύρες τρύπες ενδιάμεσης μάζας (IMBH) και ζυγίζουν από μερικές εκατοντάδες έως μερικές 100.000 φορές τη μάζα του Ήλιου μας. Μάθετε περισσότερα για τις IMBH και τι μπορεί να μας πει η μελέτη τους για το σύμπαν. https://www.nasa.gov/image-article/rare-type-of-black-hole-snacks-on-star/ Το επεξεργάστηκε Αύγουστος 11, 2025 ο Δροσος Γεωργιος Ο πλανήτης μας ειναι το λίκνο της ανθρωπότητας.Αλλα κανείς δεν περνάει ολη του τη ζωή στο λίκνο. Κονσταντίν Εντουάρντοβιτς Τσιολκόφσκι.
Δροσος Γεωργιος Δημοσιεύτηκε Αύγουστος 13, 2025 Δημοσιεύτηκε Αύγουστος 13, 2025 Οι μετρήσεις «Μαύρης Τρύπας Καρδιακού Παλμού» της NASA IXPE αμφισβητούν τις τρέχουσες θεωρίες Μια διεθνής ομάδα αστρονόμων που χρησιμοποιεί το IXPE (Imaging X-ray Polarimetry Explorer) της NASA, αμφισβήτησε την κατανόησή μας για το τι συμβαίνει με την ύλη σε άμεση γειτνίαση με μια μαύρη τρύπα. Με το IXPE, οι αστρονόμοι μπορούν να μελετήσουν τις εισερχόμενες ακτίνες Χ και να μετρήσουν την πόλωση, μια ιδιότητα του φωτός που περιγράφει την κατεύθυνση του ηλεκτρικού πεδίου του. Ο βαθμός πόλωσης είναι μια μέτρηση του πόσο ευθυγραμμισμένες είναι αυτές οι δονήσεις μεταξύ τους. Οι επιστήμονες μπορούν να χρησιμοποιήσουν τον βαθμό πόλωσης μιας μαύρης τρύπας για να προσδιορίσουν τη θέση του στέμματος - μιας περιοχής εξαιρετικά θερμού, μαγνητισμένου πλάσματος που περιβάλλει μια μαύρη τρύπα - και πώς παράγει ακτίνες Χ. Τον Απρίλιο, οι αστρονόμοι χρησιμοποίησαν το IXPE για να μετρήσουν έναν βαθμό πόλωσης 9,1% για τη μαύρη τρύπα IGR J17091-3624, πολύ υψηλότερο από ό,τι ανέμεναν με βάση τα θεωρητικά μοντέλα. «Η μαύρη τρύπα IGR J17091-3624 είναι μια εξαιρετική πηγή που σκοτεινιάζει και φωτίζει σαν να χτυπάει η καρδιά, και το IXPE της NASA μας επέτρεψε να μετρήσουμε αυτή τη μοναδική πηγή με έναν εντελώς νέο τρόπο», δήλωσε η Melissa Ewing, επικεφαλής της μελέτης με έδρα το Πανεπιστήμιο του Newcastle στο Newcastle upon Tyne της Αγγλίας.Στα δυαδικά συστήματα ακτίνων Χ, ένα εξαιρετικά πυκνό αντικείμενο, όπως μια μαύρη τρύπα, τραβάει ύλη από μια κοντινή πηγή, συνήθως ένα γειτονικό αστέρι. Αυτή η ύλη μπορεί να αρχίσει να στροβιλίζεται, ισοπεδώνοντας σε μια περιστρεφόμενη δομή γνωστή ως δίσκος συσσώρευσης. Το στέμμα, το οποίο βρίσκεται στην εσωτερική περιοχή αυτού του δίσκου συσσώρευσης, μπορεί να φτάσει σε ακραίες θερμοκρασίες έως και 1,8 δισεκατομμύρια βαθμούς Φαρενάιτ και να εκπέμπει πολύ φωτεινές ακτίνες Χ. Αυτά τα εξαιρετικά θερμά στέμματα είναι υπεύθυνα για μερικές από τις πιο φωτεινές πηγές ακτίνων Χ στον ουρανό.Παρά το πόσο φωτεινό είναι το στέμμα στο IGRJ17091-364, σε απόσταση περίπου 28.000 ετών φωτός από τη Γη, παραμένει πολύ μικρό και μακρινό για να το απαθανατίσουν οι αστρονόμοι. «Συνήθως, ένας υψηλός βαθμός πόλωσης αντιστοιχεί σε μια πολύ πλευρική θέα του στέμματος. Το στέμμα θα έπρεπε να έχει τέλειο σχήμα και να φαίνεται ακριβώς από τη σωστή γωνία για να επιτευχθεί μια τέτοια μέτρηση», δήλωσε ο Giorgio Matt, καθηγητής στο Πανεπιστήμιο Roma Tre στην Ιταλία και συν-συγγραφέας αυτής της εργασίας. «Το μοτίβο εξασθένισης δεν έχει ακόμη εξηγηθεί από τους επιστήμονες και θα μπορούσε να κρατήσει τα κλειδιά για την κατανόηση αυτής της κατηγορίας μαύρων τρυπών». Ο αστρικός σύντροφος αυτής της μαύρης τρύπας δεν είναι αρκετά φωτεινός για να εκτιμήσουν άμεσα οι αστρονόμοι τη γωνία θέασης του συστήματος, αλλά οι ασυνήθιστες αλλαγές στη φωτεινότητα που παρατηρήθηκαν από το IXPE υποδηλώνουν ότι η άκρη του δίσκου συσσώρευσης ήταν στραμμένη απευθείας στη Γη.Οι ερευνητές διερεύνησαν διαφορετικούς τρόπους για να εξηγήσουν τον υψηλό βαθμό πόλωσης. Σε ένα μοντέλο, οι αστρονόμοι συμπεριέλαβαν έναν «άνεμο» ύλης που ανυψώθηκε από τον δίσκο συσσώρευσης και εκτοξεύτηκε μακριά από το σύστημα, ένα σπάνια παρατηρούμενο φαινόμενο. Εάν οι ακτίνες Χ από το στέμμα συναντούσαν αυτήν την ύλη καθ' οδόν προς το IXPE, θα εμφανιζόταν σκέδαση Compton, η οποία θα οδηγούσε σε αυτές τις μετρήσεις. Γρήγορα Γεγονότα Οι μετρήσεις πόλωσης από το IXPE περιέχουν πληροφορίες σχετικά με τον προσανατολισμό και την ευθυγράμμιση των εκπεμπόμενων φωτεινών κυμάτων ακτίνων Χ. Όσο υψηλότερος είναι ο βαθμός πόλωσης, τόσο περισσότερο συγχρονίζονται τα κύματα ακτίνων Χ. Το μεγαλύτερο μέρος της πόλωσης στο στέμμα προέρχεται από μια διαδικασία γνωστή ως σκέδαση Compton, όπου το φως από τον δίσκο συσσώρευσης ανακλάται από το θερμό πλάσμα του στέμματος, αποκτώντας ενέργεια και ευθυγραμμιζόμενο για να δονείται προς την ίδια κατεύθυνση. «Αυτοί οι άνεμοι είναι ένα από τα πιο κρίσιμα κομμάτια που λείπουν για την κατανόηση της ανάπτυξης όλων των τύπων μαύρων τρυπών», δήλωσε ο Maxime Parra, ο οποίος ηγήθηκε της παρατήρησης και εργάζεται πάνω σε αυτό το θέμα στο Πανεπιστήμιο Ehime στο Matsuyama της Ιαπωνίας. «Οι αστρονόμοι θα μπορούσαν να αναμένουν ότι οι μελλοντικές παρατηρήσεις θα αποδώσουν ακόμη πιο εκπληκτικές μετρήσεις βαθμού πόλωσης». Ένα άλλο μοντέλο υπέθεσε ότι το πλάσμα στο στέμμα θα μπορούσε να παρουσιάσει πολύ γρήγορη εκροή. Εάν το πλάσμα ρέει προς τα έξω με ταχύτητες έως και 20% της ταχύτητας του φωτός, ή περίπου 124 εκατομμύρια μίλια ανά ώρα, τα σχετικιστικά φαινόμενα θα μπορούσαν να ενισχύσουν την παρατηρούμενη πόλωση. Και στις δύο περιπτώσεις, οι προσομοιώσεις θα μπορούσαν να αναδημιουργήσουν την παρατηρούμενη πόλωση χωρίς μια πολύ συγκεκριμένη οπτική γωνία. Οι ερευνητές θα συνεχίσουν να μοντελοποιούν και να δοκιμάζουν τις προβλέψεις τους για να κατανοήσουν καλύτερα τον υψηλό βαθμό πόλωσης για μελλοντικές ερευνητικές προσπάθειες. Περισσότερα για το IXPE Το IXPE, το οποίο συνεχίζει να παρέχει πρωτοφανή δεδομένα που επιτρέπουν πρωτοποριακές ανακαλύψεις σχετικά με ουράνια αντικείμενα σε όλο το σύμπαν, είναι μια κοινή αποστολή της NASA και της Ιταλικής Διαστημικής Υπηρεσίας με εταίρους και επιστημονικούς συνεργάτες σε 12 χώρες. Το IXPE διευθύνεται από το Κέντρο Διαστημικών Πτήσεων Marshall της NASA στο Χάντσβιλ της Αλαμπάμα. Η BAE Systems, Inc., με έδρα το Φολς Τσερτς της Βιρτζίνια, διαχειρίζεται τις λειτουργίες των διαστημοπλοίων μαζί με το Εργαστήριο Ατμοσφαιρικής και Διαστημικής Φυσικής του Πανεπιστημίου του Κολοράντο στο Μπόλντερ. Μάθετε περισσότερα για την τρέχουσα αποστολή του IXPE εδώ: https://www.nasa.gov/ixpe Αυτή η απεικόνιση υλικού που στροβιλίζεται γύρω από μια μαύρη τρύπα αναδεικνύει ένα συγκεκριμένο χαρακτηριστικό, που ονομάζεται «στέμμα», που λάμπει έντονα στο φως των ακτίνων Χ. Σε αυτήν την απεικόνιση, το στέμμα μπορεί να φανεί ως μια μωβ ομίχλη που επιπλέει πάνω από τον υποκείμενο δίσκο συσσώρευσης και εκτείνεται ελαφρώς μέσα στην εσωτερική του άκρη. Το υλικό μέσα στον εσωτερικό δίσκο συσσώρευσης είναι απίστευτα καυτό και θα έλαμπε με ένα εκτυφλωτικό μπλε-λευκό φως, αλλά εδώ η φωτεινότητα έχει μειωθεί για να κάνει το στέμμα να ξεχωρίζει με καλύτερη αντίθεση. Το μωβ χρώμα του είναι καθαρά ενδεικτικό, αντικαθιστώντας τη λάμψη των ακτίνων Χ που δεν θα ήταν εμφανής στο ορατό φως. Η στρέβλωση στον δίσκο είναι μια ρεαλιστική αναπαράσταση του πώς η τεράστια βαρύτητα της μαύρης τρύπας λειτουργεί σαν οπτικός φακός, παραμορφώνοντας την άποψή μας για τον επίπεδο δίσκο που την περιβάλλει. Ο πλανήτης μας ειναι το λίκνο της ανθρωπότητας.Αλλα κανείς δεν περνάει ολη του τη ζωή στο λίκνο. Κονσταντίν Εντουάρντοβιτς Τσιολκόφσκι.
Δροσος Γεωργιος Δημοσιεύτηκε Αύγουστος 18, 2025 Δημοσιεύτηκε Αύγουστος 18, 2025 To James Webb ίσως εντόπισε την πρώτη μαύρη τρύπα του Σύμπαντοs. Πρόκειται για την αρχαιότερη μελανή οπή που γνωρίζουμε. Με δημοσίευση της στην επιθεώρηση «Astrophysical Journal Letters» ερευνητική ομάδα παρουσιάζει τα ευρήματα των παρατηρήσεων που έκανε με το διαστημικό τηλεσκόπιο James Webb και αναφέρουν ότι εντόπισαν την αρχαιότερη μαύρη τρύπα που έχει βρεθεί ποτέ η ηλικία της οποίας ξεπερνά τα 13 δισεκατομμύρια χρόνια πριν.Η μαύρη τρύπα και ο γαλαξίας στον οποίο ανήκει έλαβαν την κοινή κωδική ονομασία CAPERS-LRD-z9 και σύμφωνα με τους ερευνητές υπήρχαν μόλις 500 εκατομμύρια χρόνια μετά τη Μεγάλη Έκρηξη, το μυστηριώδες φαινόμενο από το οποίο προέκυψε το Σύμπαν πριν από 13,8 δισ. έτη.Τα χαρακτηριστικά του γαλαξία και της μαύρης τρύπας μπορεί να βοηθήσουν τους επιστήμονες να κατανοήσουν πώς ήταν το Σύμπαν κατά την πρώιμη εκείνη εποχή. Η συμβολή του James Webb σε αυτή την προσπάθεια είναι κομβική αφού εντοπίζει συνεχώς αρχέγονους γαλαξίες έχοντας ήδη φέρει επανάσταση στη κοσμολογία υποχρεώνοντας τους επιστήμονες να ξαναγράφουν την ιστορία και εξέλιξη του Σύμπαντος.«Όταν αναζητάς μαύρες τρύπες, αυτό είναι περίπου το πιο μακριά που μπορείς πρακτικά να φτάσεις. Πραγματικά δοκιμάζουμε τα όρια της τρέχουσας τεχνολογίας» δήλωσε ο Άντονι Τέιλορ αστρονόμος στο Πανεπιστήμιο του Τέξας στο Όστιν. Οι κόκκινες κουκκίδες Το CAPERS-LRD-z9 είναι ένας τύπος γαλαξία που ονομάζεται «Μικρή Κόκκινη Κουκκίδα» και ονομάζονται έτσι επειδή είναι μικροί (για γαλαξίες) και φαίνονται να εκπέμπουν ερυθρό φως, όπως ανιχνεύεται από τα πανίσχυρα υπέρυθρα όργανα του James Webb.Αυτές οι Μικρές Κόκκινες Κoυκκίδες λάμπουν έντονα, γεγονός που ίσως υποδηλώνει ότι περιέχουν πολλά άστρα όμως σχηματίστηκαν πολύ νωρίς στο Σύμπαν όταν σύμφωνα με την επικρατούσα κοσμολογική θεωρία δεν υπήρχαν ακόμα πολλά άστρα.«Η ανακάλυψη αυτών των Μικρών Κόκκινων Κηλίδων αποτέλεσε μεγάλη έκπληξη στα πρώτα δεδομένα του James Webb επειδή δεν έμοιαζαν με κανέναν από τους γαλαξίες που είχαμε δει με το διαστημικό τηλεσκόπιο Hubble. Τώρα προσπαθούμε να καταλάβουμε τι είναι και πώς δημιουργήθηκαν» εξηγεί ο Στίβεν Φίνκελστέιν επίσης αστρονόμος στο Πανεπιστήμιο του Τέξας.Οι ερευνητές εξέτασαν τον γαλαξία CAPERS-LRD-z9 με και βρήκαν ένα ξεχωριστό μοτίβο στα μήκη κύματος του φωτός το οποίο προκαλείται όταν αέριο υψηλής ταχύτητας πέφτει μέσα σε μια μαύρη τρύπα.Αν και υπάρχουν μερικά πιο μακρινά αντικείμενα που μπορεί να είναι μαύρες τρύπες, το μοτίβο αυτό κάνει το CAPERS-LRD-z9 την παλαιότερη επιβεβαιωμένη μαύρη τρύπα που έχει βρεθεί έως σήμερα. Επίσης, υποδεικνύει ότι κι άλλες Μικρές Κόκκινες Κηλίδες μπορεί να κρύβουν μαύρες τρύπες στο κέντρο τους.Η μαύρη τρύπα στο κέντρο του CAPERS-LRD-z9 είναι τεράστια έχει μάζα περίπου 38 εκατομμύρια φορές μεγαλύτερη από αυτή του Ήλιου, είναι δηλαδή 10 φορές μεγαλύτερη από τη μαύρη τρύπα στο κέντρο του δικού μας γαλαξία, τον Τοξότη Α*Οι ερευνητές εκτιμούν ότι η μάζα της ισοδυναμεί με περίπου το 5% της συνολικής μάζας των άστρων του γαλαξία, ποσοστό πολύ μεγαλύτερο από αυτό που παρατηρούμε στους σύγχρονους γαλαξίες.«Αυτό ενισχύει την αυξανόμενη ένδειξη ότι οι πρώιμες μαύρες τρύπες μεγάλωσαν πολύ πιο γρήγορα απ’ ό,τι νομίζαμε ή ξεκίνησαν από μάζες πολύ μεγαλύτερες από αυτές που προβλέπουν τα μοντέλα μας» λέει ο Φινκελστέιν. Γιατί είναι τόσο κόκκινος αυτός ο γαλαξίας; Ο γαλαξίας CAPERS-LRD-z9 μπορεί να φαίνεται τόσο κόκκινος λόγω της πυκνής νέφωσης αερίου γύρω από τη μαύρη τρύπα, που μετατοπίζει το φως σε μεγαλύτερα, πιο ερυθρά μήκη κύματος, εξήγησαν οι ερευνητές.Η περαιτέρω μελέτη του CAPERS-LRD-z9 μπορεί να αποκαλύψει ακόμα περισσότερα για τις μαύρες τρύπες και τους γαλαξίες στο πρώιμο Σύμπαν έγραψαν οι ερευνητές στη μελέτη τους.«Αυτό είναι ένα εξαιρετικό αντικείμενο μελέτης για εμάς. Μέχρι πρόσφατα δεν μπορούσαμε να μελετήσουμε την εξέλιξη των πρώιμων μαύρων τρυπών και ανυπομονούμε να δούμε τι μπορούμε να μάθουμε από αυτό το μοναδικό αντικείμενο» εξηγεί ο Τέιλορ. https://www.naftemporiki.gr/techscience/1993637/to-james-webb-isos-entopise-tin-proti-mayri-trypa-toy-sympantos/ Ο πλανήτης μας ειναι το λίκνο της ανθρωπότητας.Αλλα κανείς δεν περνάει ολη του τη ζωή στο λίκνο. Κονσταντίν Εντουάρντοβιτς Τσιολκόφσκι.
Δροσος Γεωργιος Δημοσιεύτηκε Αύγουστος 22, 2025 Δημοσιεύτηκε Αύγουστος 22, 2025 Εντοπίστηκε το πρώτο τριπλό σύστημα μαύρων τρυπών στο Σύμπαν (βίντεο) Παρατηρήθηκαν άγνωστες πτυχές του μυστηριώδους κόσμου των μελανών οπών. Με δημοσίευση τους στην επιθεώρηση «The Astrophysical Journal Letters» κινέζοι αστρονόμοι παρουσιάζουν μια εντυπωσιακή ανακάλυψη, ένα πρωτοφανές τριπλό σύστημα μαύρων τρυπών.Η ομάδα εντόπισε αυτή την «τριάδα», η οποία είναι κλειδωμένη σε έναν περίπλοκο «βαλς», αφού πρώτα ανίχνευσε μια κρυμμένη υπερμεγέθη μαύρη τρύπα στο παρασκήνιο ενός παράξενου γεγονότος βαρυτικών κυμάτων που είχε εντοπιστεί για πρώτη φορά πριν από έξι χρόνια.Το 2019 οι ανιχνευτές λέιζερ Laser Interferometer Gravitational-Wave Observatory (LIGO) στις ΗΠΑ κατέγραψαν μια σειρά από αμυδρές κυματώσεις στον ιστό του χωροχρόνου, γνωστές ως βαρυτικά κύματα. Αυτά φαίνεται να προκλήθηκαν από τη συγχώνευση δύο μαύρων τρυπών σε απόσταση μεταξύ 544 και 912 ετών φωτός από τη Γη. Η κοσμική αυτή σύγκρουση, γνωστή ως GW190814, ήταν ιδιαίτερα αξιοσημείωτη λόγω του μεγέθους των δύο αντικειμένων: η μία μαύρη τρύπα είχε μάζα 23 φορές μεγαλύτερη από αυτή του Ήλιου ενώ η μικρότερη μόλις 2,6.Συνήθως, οι μαύρες τρύπες που συγχωνεύονται έχουν παρόμοιο μέγεθος, καθώς αυτό διευκολύνει τη βαρυτική τριβή που τις φέρνει κοντά. Το GW190814 χαρακτηρίστηκε τότε «ο πιο άνισος λόγος μαζών που έχει μετρηθεί ποτέ μέσω βαρυτικών κυμάτων». Οι επιστήμονες εξεπλάγησαν ιδιαίτερα από το μικρότερο αντικείμενο, το οποίο είναι οριακά αρκετά μεγάλο ώστε να θεωρείται μαύρη τρύπα.Η ερευνητική ομάδα υποστηρίζει ότι αυτή η άνιση συγχώνευση προκλήθηκε από ένα κρυφό τρίτο αντικείμενο, το οποίο έδωσε το απαραίτητο «βαρυτικό σπρώξιμο» ώστε οι δύο άνισες μαύρες τρύπες να συγκρουστούν και να γίνουν μία, παρά τη σημαντική διαφορά μεγέθους.Η ομάδα χρησιμοποίησε προσομοιώσεις για να προβλέψει πώς αυτή η αλληλεπίδραση θα επηρέαζε τα παραγόμενα βαρυτικά κύματα και εντόπισε ένα μοναδικό «αποτύπωμα» σήματος που σχετιζόταν με το κρυμμένο αντικείμενο.Αναλύοντας εκ νέου τα δεδομένα του LIGO από την αρχική ανακάλυψη διαπίστωσαν ότι το αποτύπωμα αυτό υπήρχε πράγματι.«Αυτή είναι η πρώτη διεθνής ανακάλυψη ξεκάθαρης απόδειξης για την ύπαρξη τρίτου συμπαγούς αντικειμένου σε γεγονός συγχώνευσης δυαδικού συστήματος μαύρων τρυπών. Αποκαλύπτει ότι οι δυαδικές μαύρες τρύπες στο GW190814 πιθανότατα δεν σχηματίστηκαν απομονωμένα, αλλά ήταν μέρος ενός πιο περίπλοκου βαρυτικού συστήματος», δήλωσε ο Γουέν- Μπιάο Χαν αστρονόμος στην Κινεζική Ακαδημία Επιστημών.Με βάση τις προσομοιώσεις, οι ερευνητές πιστεύουν ότι το κρυφό αντικείμενο είναι πιθανότατα μια υπερμεγέθης μαύρη τρύπα. Δεν γνωρίζουν ακόμα το ακριβές της μέγεθος, αλλά το κατώτατο όριο για τέτοιες μαύρες τρύπες είναι περίπου 100,000 ηλιακές μάζες. Ο χορός Το ζευγάρι των μικρότερων μαύρων τρυπών πιθανόν σχημάτιζε ένα δυαδικό σύστημα που «χορεύει» γύρω από την υπερμεγέθη μαύρη τρύπα, καθώς συγχρόνως περιστρέφονταν και μεταξύ τους παρόμοια με τον τρόπο που η Γη και η Σελήνη κινούνται μαζί γύρω από τον Ήλιο. Είναι η πρώτη φορά που παρατηρείται τέτοια διαμόρφωση σε σύστημα μαύρων τρυπών.Η νέα, μεγαλύτερη μαύρη τρύπα που προέκυψε από τη συγχώνευση πιθανότατα θα συνεχίσει να «χορεύει» γύρω από την υπερμεγέθη συντρόφισσα της για δισεκατομμύρια χρόνια μέχρι τελικά να απορροφηθεί από αυτήν. Τα ευρήματα αυτά όχι μόνο παρέχουν «σημαντικές γνώσεις για τους τρόπους σχηματισμού δυαδικών συστημάτων μαύρων τρυπών», αλλά ανοίγουν και έναν νέο δρόμο για τον εντοπισμό άλλων κρυμμένων γιγάντων που παραμονεύουν πίσω από παρόμοιες άνισες συγχωνεύσεις, τόνισε ο Χαν. Από το 2015, όταν το LIGO κατέγραψε τα πρώτα βαρυτικά κύματα στην ιστορία, το παρατηρητήριο έχει ανιχνεύσει πάνω από 100 ακόμα γεγονότα τα περισσότερα από συγχωνεύσεις μαύρων τρυπών. Κάθε νέα ανίχνευση προσφέρει πολύτιμα δεδομένα για να αποκαλυφθούν περισσότερα μυστικά για τα πιο γιγαντιαία και αινιγματικά αντικείμενα του Σύμπαντος. https://www.naftemporiki.gr/techscience/1996320/entopistike-to-proto-triplo-systima-mayron-trypon-sto-sympan-vinteo/ Ο πλανήτης μας ειναι το λίκνο της ανθρωπότητας.Αλλα κανείς δεν περνάει ολη του τη ζωή στο λίκνο. Κονσταντίν Εντουάρντοβιτς Τσιολκόφσκι.
Δροσος Γεωργιος Δημοσιεύτηκε Σεπτέμβριος 3, 2025 Δημοσιεύτηκε Σεπτέμβριος 3, 2025 (επεξεργάστηκε) To James Webb εντόπισε μια μαύρη τρύπα που γεννήθηκε μαζί με το Σύμπαν. Αν η ανακάλυψη επιβεβαιωθεί αλλάζουν όλα στην κοσμολογία. Κάθε ανακάλυψη του διαστημικού τηλεσκοπίου James Webb ανοίγει νέα κεφάλαια στην αστρονομία και την κοσμολογία ενώ σε πολλές περιπτώσεις ξαναγράφει την ιστορία του Σύμπαντος. Το νέο του εύρημα προκαλεί όλες τις θεωρίες σχηματισμού και εξέλιξης του Κόσμου αφού το τηλεσκόπιο πιθανώς εντόπισε μια μαύρη τρύπα που δημιουργήθηκε ταυτόχρονα με τη Μεγάλη Έκρηξη, το μυστηριώδες φαινόμενο από το οποίο προέκυψε το Σύμπαν.Το James Webb εντόπισε ένα κοσμικό σώμα που πιστεύεται ότι είναι μια «πρωταρχική μαύρη τρύπα» μια θεωρητική κατηγορία αντικειμένων που είχε προβλέψει ο Στίβεν Χόκινγκ αλλά ποτέ μέχρι σήμερα δεν είχε παρατηρηθεί. Οι πρωταρχικές μαύρες τρύπες είναι υποθετικές μαύρες τρύπες, μικρότερες από τις αστρικές, που πιστεύεται ότι σχηματίστηκαν από τις έντονες διακυμάνσεις της πυκνότητας του πρώιμου σύμπαντος, λίγο μετά τη Μεγάλη Έκρηξη.Ο Χόκινγκ πρότεινε ότι αυτές οι μικρές μαύρες τρύπες θα μπορούσαν να έχουν… εξατμιστεί με την πάροδο του χρόνου μέσω της ακτινοβολίας Χόκινγκ (ακτινοβολία που εικάζεται ότι εκπέμπεται και απελευθερώνεται από μαύρες τρύπες λόγω των κβαντικών επιδράσεων) εκπέμποντας σωματίδια καθώς πλησιάζουν στο τέλος της ζωής τους.Αν και δεν έχουν παρατηρηθεί άμεσα ανακάλυψη μιας πρωταρχικής μαύρης τρύπας θα ανέτρεπε τις κυρίαρχες θεωρίες για το Σύμπαν. Μέχρι τώρα, η επικρατούσα άποψη ήταν ότι πρώτα σχηματίστηκαν τα άστρα και οι γαλαξίες, και οι μαύρες τρύπες δημιουργήθηκαν αργότερα όταν τα πρώτα άστρα εξαντλήθηκαν και κατέρρευσαν υπό το ίδιο τους το βάρος.Ωστόσο οι τελευταίες παρατηρήσεις του James Webb δείχνουν μια τεράστια μαύρη τρύπα με μια άλω (φωτοστέφανο) γύρω της που χρονολογείται από την αυγή του Σύμπαντος κάτι που φαίνεται να έρχεται σε αντίθεση με τη κρατούσα κοσμολογική θεωρία.«Αυτή η μαύρη τρύπα είναι σχεδόν ‘γυμνή’. Αυτό είναι πραγματικά πρόκληση για τις θεωρίες. Φαίνεται ότι αυτή η μαύρη τρύπα σχηματίστηκε χωρίς να έχει προηγηθεί η παρουσία γαλαξία γύρω της» αναφέρει ο καθηγητής Ρομπέρτο Μαϊολίνο κοσμολόγος στο Πανεπιστήμιο του Κέιμριτζκαι μέλος της ερευνητικής ομάδας. Οι κουκκίδες Οι πρωταρχικές μαύρες τρύπες υποτίθεται ότι σχηματίστηκαν στο πρώτο κλάσμα του δευτερολέπτου μετά τη Μεγάλη Έκρηξη όταν πυκνότερες και θερμότερες περιοχές κατέρρεαν προς τα μέσα. Σε αυτό το σενάριο οι μαύρες τρύπες ενσωματώθηκαν στο «ύφασμα» του Σύμπαντος από σχεδόν την αρχή και λειτούργησαν ως βαρυτικοί «σταθμοί» γύρω από τους οποίους συγκεντρώθηκαν αέριο και σκόνη για να σχηματίσουν τους πρώτους γαλαξίες.Οι νέες παρατηρήσεις επικεντρώνονται σε ένα είδος κοσμικών δομών που αποκαλούνται «μικρές κόκκινες κουκκίδες και αποτελούν ένα τύπος γαλαξία. Ονομάζονται έτσι επειδή είναι μικροί (για γαλαξίες) και φαίνονται να εκπέμπουν ερυθρό φως, όπως ανιχνεύεται από τα πανίσχυρα υπέρυθρα όργανα του James Webb.Αυτές οι μικρές κόκκινες κoυκκίδες λάμπουν έντονα, γεγονός που ίσως υποδηλώνει ότι περιέχουν πολλά άστρα όμως σχηματίστηκαν πολύ νωρίς στο Σύμπαν όταν σύμφωνα με την επικρατούσα κοσμολογική θεωρία δεν υπήρχαν ακόμα πολλά άστρα.Το James Webb στόχευσε μια κόκκινη κουκκίδα γνωστή ως QSO1 η οποία χρονολογείται πριν από περισσότερα από 13 δισεκατομμύρια χρόνια, όταν το Σύμπαν είχε ηλικία μόλις 700 εκατομμύρια χρόνια. Το QSO1 είναι ένα από τα αντικείμενα που το James Webb βρήκε να είναι εξαιρετικά κόκκινα, συμπαγή και φωτεινά, και που εκτιμάται ότι φιλοξενούν πανάρχαιες υπερμεγέθεις μαύρες τρύπες. Τα ευρήματα Μετρώντας την ταχύτητα της περιστροφής του αραιού φωτοστέφανου αερίου και σκόνης γύρω από το QSO1 οι επιστήμονες υπολόγισαν ότι η μάζα της κεντρικής μαύρης τρύπας είναι περίπου 50 εκατομμύρια ηλιακές μάζες με τη μάζα του υλικού γύρω της να είναι λιγότερη από τη μισή. Αυτό έρχεται σε έντονη αντίθεση με τοπικούς γαλαξίες, όπως ο δικός μας, όπου η μαύρη τρύπα στο κέντρο είναι χίλιες φορές μικρότερη από τη μάζα του γαλαξία που τη φιλοξενεί.Επιπλέον η ανάλυση του φωτεινού υλικού γύρω από τη μαύρη τρύπα έδειξε ότι είναι χημικά «παρθένο» σώμα αποτελούμενο σχεδόν αποκλειστικά από υδρογόνο και ήλιο δηλαδή τα στοιχεία που έμειναν από τη Μεγάλη Έκρηξη. Η απουσία βαρύτερων στοιχείων που σχηματίζονται στα άστρα δείχνει ότι στην περιοχή δεν υπήρξε σημαντικός σχηματισμός άστρων.«Αυτά τα αποτελέσματα είναι αλλαγή παραδείγματος. Βλέπουμε μια μαύρη τρύπα να σχηματίζεται χωρίς ουσιαστικά να υπάρχει γαλαξίας γύρω της» λέει ο Μαϊολίνο.Μια εναλλακτική εξήγηση είναι ότι ένα τεράστιο νέφος αερίου κατέρρευσε κατευθείαν σε μαύρη τρύπα, χωρίς πρώτα να σχηματίσει άστρα το λεγόμενο «direct collapse». Όμως αυτό το σενάριο απαιτεί πολύ ειδικές συνθήκες που δεν φαίνεται να ισχύουν εδώ γι’ αυτό και οι επιστήμονες δίνουν μικρό προβάδισμα στο σενάριο της πρωταρχικής μαύρης τρύπας.Στην ένθεση της εικόνας εμφανίζεται η κόκκινη κουκκίδα που μελέτησε το James Webb και περιέχει μια αρχέγονη μαύρη τρύπα. πηγή φωτό. ( JWST/Nasa/Esa/CSA; NIRCam image processing: Lukas Furtak/Rachel Bezanson)Ο καθηγητής Άντριου Πόντζεν κοσμολόγος στο Πανεπιστήμιο του Durham, που δεν συμμετείχε στη μελέτη, δήλωσε: «Μια επιβεβαιωμένη πρωταρχική προέλευση των μαύρων τρυπών θα είχε βαθιές επιπτώσεις στους θεμελιώδεις νόμους της φυσικής».Ωστόσο, πρόσθεσε ότι τα επιχειρήματα βασίζονται σε έμμεσες ενδείξεις και θα χρειαστεί χρόνος για να λυθεί η διαμάχη. «Σε μια δεκαετία, η επόμενη γενιά ανιχνευτών βαρυτικών κυμάτων, ιδανικών για την ανίχνευση μαύρων τρυπών σε όλο το Σύμπαν θα δώσει την οριστική απάντηση». https://www.naftemporiki.gr/techscience/2000553/to-james-webb-entopise-mia-mayri-trypa-poy-gennithike-mazi-me-to-sympan/ Το επεξεργάστηκε Σεπτέμβριος 4, 2025 ο Δροσος Γεωργιος Ο πλανήτης μας ειναι το λίκνο της ανθρωπότητας.Αλλα κανείς δεν περνάει ολη του τη ζωή στο λίκνο. Κονσταντίν Εντουάρντοβιτς Τσιολκόφσκι.
Δροσος Γεωργιος Δημοσιεύτηκε Σεπτέμβριος 4, 2025 Δημοσιεύτηκε Σεπτέμβριος 4, 2025 Ένα διαφορετικό «Παράδειγμα» από μια αρχέγονη και σχεδόν γυμνή μαύρη τρύπα. … που εντόπισε το διαστημικό τηλεσκόπιο James Webb Όταν στην Φυσική κατά καιρούς προκύπτουν νέα πειραματικά δεδομένα που η καθιερωμένη θεωρία αδυνατεί να ερμηνεύσει, τότε συνήθως προκύπτει η επονομαζόμενη αλλαγή Παραδείγματος (Paradigm shift). Μεταβαίνουμε σε μια νέα θεωρία, όχι συμπληρωματική της προηγούμενης, αλλά ριζικά διαφορετική, που συνοδεύεται από αλλαγή στην αντίληψη θεμελιωδών φυσικών εννοιών. Η αλλαγή Παραδείγματος είναι μια έννοια της φιλοσοφίας της επιστήμης που εισήχθη Αμερικανό φυσικό και φιλόσοφο Thomas Kuhn στο κλασικό βιβλίο «Η δομή των επιστημονικών επαναστάσεων» . Για παράδειγμα, η θεωρία της σχετικότητας του Αϊνστάιν δεν ήταν μια προέκταση της κλασικής θεωρίας του Νεύτωνα, αλλά μια επιστημονική επανάσταση που άλλαξε ριζικά τον τρόπο αντίληψης του κόσμου μας.Μια τέτοια «αλλαγή παραδείγματος» υπαινίσσεται ο Guardian εξαιτίας της μαύρης τρύπας που εντόπισε το διαστημικό τηλεσκόπιο James Webb. Πρόκειται για μια «μικρή κόκκινη κουκκίδα» , γνωστή ως QSO1, που χρονολογείται στα 760 εκατομμύρια χρόνια μετά τη Μεγάλη Έκρηξη (εμφανίζει μετατόπιση στο ερυθρό z=7,04). Η παρατήρηση μιάς τόσο πρώιμης και «σχεδόν γυμνής» μαύρης τρύπας, με αραιή άλω ύλης, θα μπορούσε να ανατρέψει τις θεωρίες μας για το σύμπαν.Αν επιβεβαιωθεί ότι πρόκειται για αρχέγονη μαύρη τρύπα, μια θεωρητική κατηγορία αντικειμένων που προβλέφθηκε από τον Stephen Hawking αλλά δεν είχε παρατηρηθεί μέχρι σήμερα, τότε η ανακάλυψη θα ανατρέψει τις επικρατούσες θεωρίες για το σύμπαν.Μέχρι τώρα, η κυριαρχούσα κοσμολογική άποψη ήταν ότι πρώτα σχηματίστηκαν τα άστρα και οι γαλαξίες, ενώ οι μαύρες τρύπες δημιουργήθηκαν αφού τα πρώτα άστρα εξάντλησαν τα πυρηνικά τους καύσιμα και κατέρρευσαν εξαιτίας της βαρύτητάς τους.Όμως, οι τελευταίες παρατηρήσεις του James Webb δείχνουν πως αυτή η ακολουθία των γεγονότων παραβιάζεται από την γιγάντια μαύρη τρύπα QSO1. «Αυτή η μαύρη τρύπα είναι σχεδόν γυμνή», δήλωσε ο καθηγητής Roberto Maiolino, κοσμολόγος στο Πανεπιστήμιο του Cambridge, μέλος της ομάδας που πραγματοποίησε τις παρατηρήσεις. «Κι αυτό είναι πραγματικά δύσκολο να εξηγηθεί με τις υπάρχουσες θεωρίες. Φαίνεται πως αυτή η μαύρη τρύπα έχει σχηματιστεί χωρίς να έχει προηγηθεί ο σχηματισμός κάποιου γαλαξία γύρω της».Υποτίθεται ότι οι αρχέγονες μαύρες τρύπες σχηματίστηκαν στο πρώτο κλάσμα του δευτερολέπτου μετά τη Μεγάλη Έκρηξη από την αυτοκατάρρευση πυκνότερων και θερμότερων περιοχών του σύμπαντος. Σ’ αυτό το σενάριο, μαύρες τρύπες διαφόρων μεγεθών ήταν ενσωματωμένες στον ιστό του σύμπαντος σχεδόν από την αρχή και λειτουργούσαν ως βαρυτικές θήκες γύρω από τις οποίες άρχισαν να συσσωρεύονται η σκόνη και το αέριο που σχημάτισαν τους πρώτους γαλαξίες. Ο Hawking διατύπωσε αυτή τη θεωρία την δεκαετία του 1970, αλλά χωρίς παρατηρησιακές αποδείξεις στις δεκαετίες που ακολούθησαν, θεωρήθηκε ως άλλη μια εξωτική εικασία. Αλλά, οι τελευταίες παρατηρήσεις που επικεντρώνονται στην «μικρή κόκκινη κουκκίδα» QSO1, η οποία έχει ηλικία μεγαλύτερη από 13 δισεκατομμύρια χρόνια, δείχνουν ότι θα μπορούσε να είναι μια αρχαία υπερμαζική μαύρη τρύπα.Δεδομένου ότι σύμφωνα με τις υπάρχουσες θεωρίες, οι μαύρες τρύπες ξεκινούν μικρές και αυξάνουν την μάζα τους με την πάροδο του χρόνου καταβροχθίζοντας μεσοαστρική ύλη και άστρα, οι φυσικοί προβληματίζονται σχετικά με το πώς αυτή η μαύρη τρύπα έγινε τόσο μεγάλη και τόσο νωρίς στην ιστορία του σύμπαντος.Παρά την ακραία απόσταση του αντικειμένου QSO1, οι αστρονόμοι μπόρεσαν να παρακολουθήσουν την τροχιακή ταχύτητα του στροβιλιζόμενου φωτοστέφανου αερίου και σκόνης. Από αυτή τη μέτρηση υπολογίστηκε η μάζα της κεντρικής μαύρης τρύπας, ίση με 50 εκατομμύρια φορές η μάζα του Ήλιου. Επιπλέον, η συνολική μάζα του περιβάλλοντος υλικού είναι μικρότερη από το μισό αυτής της τιμής, με βάση τα ευρήματα που δημοσιεύτηκαν στην εργασία με τίτλο: «Α direct black hole mass measurement in a Little Red Dot at the Epoch of Reionization.»«Αυτό έρχεται σε πλήρη αντίθεση με ότι γενικά παρατηρούμε στο σύμπαν, όπου οι μαύρες τρύπες στο κέντρο των γαλαξιών [όπως ο Γαλαξίας μας] έχουν περίπου χίλιες φορές μικρότερη μάζα από τον γαλαξία που τις φιλοξενεί», δήλωσε ο Maiolino.Σε μια ξεχωριστή δημοσίευση (A black hole in a near-pristine galaxy 700 million years after the Big Bangστή ανάλυση), το φωτεινό υλικό γύρω από τη μαύρη τρύπα βρέθηκε χημικά «παρθένο», αποτελούμενο σχεδόν αποκλειστικά από υδρογόνο και ήλιο, τα δύο στοιχεία που σχηματίστηκαν μετά τα πρώτα λεπτά μετά την Μεγάλη Έκρηξη. Η απουσία βαρύτερων στοιχείων, τα οποία σφυρηλατούνται στο εσωτερικό των άστρων, ενισχύει την απόδειξη ότι δεν υπάρχει σχηματισμός άστρων στην περιοχή της μαύρης τρύπας.Και σύμφωνα πάλι με τον αστροφυσικό Maiolino, «αυτά τα αποτελέσματα αποτελούν μια αλλαγή Παραδείγματος. Εδώ βλέπουμε μια τεράστια μαύρη τρύπα να σχηματίζεται χωρίς να περιβάλλεται από κάποιον γαλαξία».Ένας άλλος τρόπος με τον οποίο θα μπορούσε να εξηγηθεί ο σχηματισμός αυτής της μαύρης τρύπας, είναι διαμέσου ενός τεράστιου νέφους αερίου και σκόνης στο πρώιμο σύμπαν που κατέρρευσε απευθείας σε μια μαύρη τρύπα αντί να σχηματίσει ενδιαμέσως άστρα (Direct Collapse Black Holes=DCBHs). Ωστόσο, η «άμεση κατάρρευση» απαιτεί πολύ συγκεκριμένες περιβαλλοντικές συνθήκες που δεν είναι εμφανείς στις παρατηρήσεις, οδηγώντας τους επιστήμονες να έχουν μια μικρή προτίμηση στο σενάριο της αρχέγονης μαύρης τρύπας.Ο καθηγητής Andrew Pontzen, κοσμολόγος στο Πανεπιστήμιο του Durham, ο οποίος δεν συμμετείχε στην έρευνα, δήλωσε ότι: «μια επιβεβαιωμένη αρχέγονη προέλευση των μαύρων τρυπών θα είχε βαθιές επιπτώσεις στους θεμελιώδεις νόμους της φυσικής». πηγή: https://www.theguardian.com/science/2025/sep/02/primordial-black-hole-big-bang-james-webb-space-telescope Ο πλανήτης μας ειναι το λίκνο της ανθρωπότητας.Αλλα κανείς δεν περνάει ολη του τη ζωή στο λίκνο. Κονσταντίν Εντουάρντοβιτς Τσιολκόφσκι.
Δροσος Γεωργιος Δημοσιεύτηκε Σεπτέμβριος 16, 2025 Δημοσιεύτηκε Σεπτέμβριος 16, 2025 Βαρυτικά κύματα από την συγχώνευση μαύρων τρυπών δικαιώνουν τον Στίβεν Χόκινγκ …και τον Άλμπερτ Αϊνστάιν Οι κυματισμοί του χωροχρόνου εξαιτίας της συγχώνευσης δύο μαύρων τρυπών στο σύμπαν επιβεβαίωσαν παράξενες πτυχές της φυσικής των μαύρων τρυπών.Υπολογίζοντας τις επιφάνειες δύο μαύρων τρυπών πριν συγχωνευθούν και την επιφάνεια της προκύπτουσας μαύρης τρύπας, οι φυσικοί επαλήθευσαν το θεώρημα εμβαδού του ορίζοντα των γεγονότων μαύρης τρύπας, που διατυπώθηκε από τον Stephen Hawking.Πριν από 1,3-1,4 δισεκατομμύρια χρόνια, όταν στη Γη ζούσαν μόνο μικροοργανισμοί, σε ένα απόμακρο σημείο του σύμπαντος δύο μαύρες τρύπες που κινούνταν σπειροειδώς η μία γύρω από την άλλη, τελικά συγχωνεύθηκαν σε μια μεγάλη μαύρη τρύπα, προκαλώντας κυματισμούς στον χωροχρόνο.Αυτοί οι κυματισμοί που ονομάζονται βαρυτικά κύματα, αφού διάνυσαν απόσταση 1,3 δισεκατομμύρια έτη φωτός, έφτασαν στη Γη τον Ιανουάριο του 2025 και καταγράφηκαν από το Παρατηρητήριο Βαρυτικών Κυμάτων LIGO. Ήταν οι ακριβέστερες μετρήσεις βαρυτικών κυμάτων που έγιναν μέχρι σήμερα. Αυτές οι μετρήσεις επιβεβαίωσαν ένα θεώρημα 54 ετών που διατύπωσε ο Στίβεν Χόκινγκ σχετικά με το πώς οι μαύρες τρύπες αναπτύσσονται όταν αυξάνεται η μάζα τους. Τα κύματα επιβεβαίωσαν επίσης μια παράξενη ιδιότητα των μαύρων τρυπών, γνωστή ως θεώρημα «χωρίς τρίχες». Οι επιστήμονες ανακοίνωσαν τα ευρήματά τους σε εργασία που δημοσιεύτηκε στο Physical Review Letters με τίτλο: «GW250114: Testing Hawking’s Area Law and the Kerr Nature of Black Holes«.Οι μαύρες τρύπες που συμμετείχαν στην σύγκρουση είχαν περίπου 33 και 32 φορές τη μάζα του Ήλιου, αντίστοιχα. Καθώς πλησίαζαν η μία προς την άλλη, για να συγχωνευθούν τελικά, τα προκύπτοντα βαρυτικά κύματα εξαπλώθηκαν στο σύμπαν προς όλες τις κατευθύνσεις. Το κλάσμα που έφτασε στους ανιχνευτές του LIGO ήταν ένα σήμα που οι ερευνητές ονόμασαν GW250114. Η μελέτη των ιδιαίτερων χαρακτηριστικών αυτού του σήματος τους επέτρεψε να προσδιορίσουν τα αρχικά μεγέθη των μαύρων τρυπών, καθώς και το γεγονός ότι η μεγαλύτερη μαύρη τρύπα που προέκυψε ήταν περίπου 62 φορές βαρύτερη από τον Ήλιο. Τα κύματα αποκάλυψαν επίσης ότι οι αρχικές μαύρες τρύπες είχαν συνολική επιφάνεια περίπου 240.000 τετραγωνικών χιλιομέτρων (περίπου η έκταση της πολιτείας του Όρεγκον), ενώ η τελική μαύρη τρύπα είχε έκταση περίπου 400.000 τετραγωνικά χιλιόμετρα (περίπου η έκταση της Καλιφόρνια).Αυτές οι μετρήσεις επιβεβαιώνουν μια πρόβλεψη που έκανε ο Χόκινγκ το 1971 σχετικά με τους ορίζοντες γεγονότων των μαύρων τρυπών – τα όρια πέρα από τα οποία τίποτα, ούτε καν το φως, δεν μπορεί να ξεφύγει από τη βαρυτική τους έλξη. Σύμφωνα με τον David Reitze, o ορίζοντας γεγονότων μιάς μαύρης τρύπας είναι κατά κάποιο τρόπο ένα μέτρο της εντροπίας της – το μέτρο της αταξίας της. Και οι νόμοι της θερμοδυναμικής λένε ότι η εντροπία μπορεί μόνο να αυξηθεί, ποτέ να μειωθεί. Υπάρχει μια βαθιά σύνδεση μεταξύ των μαύρων τρυπών και της θερμοδυναμικής. Το θεώρημα βασικά λέει ότι αν έχετε δύο μαύρες τρύπες που συγχωνεύονται για να σχηματίσουν μια μεγαλύτερη μαύρη τρύπα, η συνολική επιφάνεια της τελικής μαύρης τρύπας πρέπει να είναι τουλάχιστον ίση, αλλά πιθανώς μεγαλύτερη, από το άθροισμα των αρχικών επιφανειών. Τώρα, για πρώτη φορά, οι ερευνητές έχουν ακριβείς μετρήσεις που το αποδεικνύουν. .Οι παρατηρήσεις επιβεβαιώνουν επίσης μια διάσημη ιδέα για τις μαύρες τρύπες που ονομάζεται θεώρημα «χωρίς τρίχες». Αυτή η πρόβλεψη μας λέει ότι οι μαύρες τρύπες είναι θεμελιωδώς απλά αντικείμενα χωρίς «μπιχλιμπίδια» . Μπορούν να περιγραφούν μόνο με δύο αριθμούς: την μάζα και το σπιν τους. Όλες οι μαύρες τρύπες με την ίδια μάζα και ίδιο σπιν πρέπει να είναι εντελώς πανομοιότυπες. Το σύνολο των πληροφοριών σχετικά με το τι έπεσε στη μαύρη τρύπα – οι «τρίχες» – χάνονται πίσω από τον ορίζοντα γεγονότων.«Επειδή μπορούν να περιγραφούν μόνο με δύο αριθμούς, αυτό σημαίνει ότι όλα όσα μπορείτε να μετρήσετε γι’ αυτές πρέπει να περιγράφονται από αυτούς τους δύο αριθμούς», λέει η Κατερίνα Χατζηιωάννου, φυσικός στο Ινστιτούτο Τεχνολογίας της Καλιφόρνια και συν-συγγραφέας της νέας δημοσίευσης. «Αυτό το σήμα μας επέτρεψε, για πρώτη φορά, να μετρήσουμε κάτι που μπορεί να περιγραφεί από αυτούς τους αριθμούς».Το σήμα του βαρυτικού κύματος έδειξε ότι το αντικείμενο που απομένει μετά τη σύγκρουση ταιριάζει ακριβώς σε μια θεωρητική κατασκευή γνωστή ως μετρική Kerr, η οποία περιγράφει μια περιστρεφόμενη μαύρη τρύπα στο πλαίσιο της γενικής θεωρίας της σχετικότητας του Άλμπερτ Αϊνστάιν.Σύμφωνα με τους θεωρητικούς φυσικούς, «αν βρίσκαμε κάποια ένδειξη παραβίασης είτε του θεωρήματος εμβαδού είτε της λύσης Kerr, τότε μία ή και οι δύο υποθέσεις θα έπρεπε να αλλάξουν. Με άλλα λόγια, είτε η γενική σχετικότητα θα έπρεπε να τροποποιηθεί, είτε τα αντικείμενα που μελετήθηκαν δεν ήταν μαύρες τρύπες». Εκτός από το όνομά τους οι μαύρες τρύπες οφείλουν στον John Wheeler και το ρητό που λέει: ότι «οι μαύρες τρύπες δεν έχουν τρίχες!», (για την ακρίβεια η εικασία no-hair διατυπώθηκε για πρώτη φορά από τους John Wheeler και Remo Ruffini τo 1971 στο Physics Today). Αυτό που ήθελε να πει o Wheeler με το ότι «δεν έχουν τρίχες» ήταν ότι οι μαύρες τρύπες δεν έχουν κάποια παρατηρήσιμα χαρακτηριστικά, όπως εξογκώματα, ανομοιομορφίες κ.λπ. Όταν μια μαύρη τρύπα σχηματίζεται από την κατάρρευση ενός άστρου, ο ορίζοντας καταλήγει σε ένα τέλειο σφαιρικό σχήμα χωρίς κανένα χαρακτηριστικό. Οι μαύρες τρύπες χαρακτηρίζονται από την μάζα, την στροφορμή και το ηλεκτρικό φορτίο τους. διαβάστε περισσότερα: 1. New Black Hole Measurements Show More Ways Stephen Hawking and Albert Einstein Were Right – https://www.scientificamerican.com/article/best-yet-measurement-of-merging-black-holes-confirms-einstein-hawking-and/ 2. Landmark Black Hole Test Marks Decade of Gravitational-Wave Discoveries – https://physics.aps.org/articles/v18/160 Ο πλανήτης μας ειναι το λίκνο της ανθρωπότητας.Αλλα κανείς δεν περνάει ολη του τη ζωή στο λίκνο. Κονσταντίν Εντουάρντοβιτς Τσιολκόφσκι.
Δροσος Γεωργιος Δημοσιεύτηκε Σεπτέμβριος 17, 2025 Δημοσιεύτηκε Σεπτέμβριος 17, 2025 (επεξεργάστηκε) Μπορεί να παρατηρηθεί η έκρηξη μιας μαύρης τρύπας; Το σκοτεινό φορτίο και οι εκρήξεις αρχέγονων μαύρων τρυπών Σύμφωνα με τη θεωρία οι μαύρες τρύπες εξατμίζονται εκπέμποντας ακτινοβολία Hawking – φωτόνια και διάφορα υποατομικά σωματίδια – πέρα από τους ορίζοντες γεγονότων τους. Η χαρακτηριστική θερμοκρασία αυτής της εκπομπής, και ο ρυθμός εξάτμισης, είναι αντιστρόφως ανάλογη με τη μάζα της μαύρης τρύπας. Όταν η μάζα μειώνεται στο μηδέν, ακολουθεί ένα εκρηκτικό φινάλε. Η διαδικασία είναι τόσο αργή που οι ελαφριές μαύρες τρύπες που δημιουργήθηκαν στο αρχέγονο σύμπαν θα μπορούσαν τώρα να εισέρχονται στις τελικές τους φάσεις.Τα τωρινά τηλεσκόπια ακτίνων γάμμα θα πρέπει να είναι σε θέση να εντοπίσουν κάποια από αυτές τις εκρηκτικές αρχέγονες μαύρες τρύπες, εφόσον βρίσκονται σε απόσταση περίπου 0,3 ετών φωτός. Αλλά λόγω της υποτιθέμενης σπανιότητας των μαύρων τρυπών, τα ανιχνεύσιμα γεγονότα θα πρέπει να συμβαίνουν μόνο μία φορά κάθε εκατό χιλιάδες χρόνια περίπου. Ο Michael Baker και οι συνεργάτες του στο πανεπιστήμιο της Μασαχουσέτης Amherst έχουν προτείνει ότι ορισμένες θεωρίες πέραν του καθιερωμένου προτύπου, αν είναι σωστές, θα μπορούσαν να δημιουργήσουν έναν πολύ μεγαλύτερο πληθυσμό τέτοιων μαύρων τρυπών. Έτσι, υπάρχει πιθανότητα έως και 90% να παρατηρηθεί μια εκρηκτική μαύρη τρύπα τα επόμενα δέκα χρόνια.Ο αριθμός των εκρήξεων που θα πρέπει να περιμένουμε να δούμε εξαρτάται από το μέγεθος του αρχέγονου πληθυσμού των μαύρων τρυπών, το οποίο δεν μπορεί να υπερβεί το επίπεδο που συνάγεται από το υπόβαθρο. Ο Baker και οι συνεργάτες του υπολόγισαν ότι η ύπαρξη των λεγόμενων σωματιδίων σκοτεινού τομέα, ανάλογα με τα συμβατικά φωτόνια και ηλεκτρόνια, θα μπορούσε να σημαίνει ότι περισσότερες μαύρες τρύπες μπορούν να ταιριάξουν μέσα στα όρια των παρατηρησιακών περιορισμών. Χρησιμοποιώντας ένα απλό μοντέλο σκοτεινής κβαντικής ηλεκτροδυναμικής, υπέθεσαν ότι οι μαύρες τρύπες αποκτούν ένα σκοτεινό ηλεκτρικό φορτίο αμέσως μετά τον σχηματισμό τους. Αυτό το φορτίο καταστέλλει την εκπομπή Hawking, ελαχιστοποιώντας τη συμβολή τους στο υπόβαθρο ακτίνων γάμμα. Επίσης, παρατείνει τη διάρκεια ζωής των μικρών μαύρων τρυπών που διαφορετικά θα είχαν εκραγεί μέχρι τώρα.Επομένως, οι αρχέγονες μαύρες τρύπες θα μπορούσαν να σταθεροποιηθούν από μια σκοτεινή «ηλεκτρομαγνητική» αλληλεπίδραση και να καθυστερήσουν το βίαιο τέλος τους μέχρι την σημερινή εποχή, αυξάνοντας την πιθανότητα ανίχνευσης ενός τέτοιου γεγονότος. Η παρατήρηση μιας εκρηκτικής μαύρης τρύπας θα έδινε την πρώτη άμεση απόδειξη αρχέγονων μαύρων τρυπών, την πρώτη άμεση απόδειξη της ακτινοβολίας Hawking και αξιόπιστες πληροφορίες για τα σωματίδια που υπάρχουν στη φύση. Πηγές: 1. Dark Charge Could Make Exploding Black Holes More Common- https://physics.aps.org/articles/v18/s112 2. Could We Observe an Exploding Black Hole in the Near Future? https://journals.aps.org/prl/abstract/10.1103/nwgd-g3zl Το επεξεργάστηκε Σεπτέμβριος 17, 2025 ο Δροσος Γεωργιος Ο πλανήτης μας ειναι το λίκνο της ανθρωπότητας.Αλλα κανείς δεν περνάει ολη του τη ζωή στο λίκνο. Κονσταντίν Εντουάρντοβιτς Τσιολκόφσκι.
Δροσος Γεωργιος Δημοσιεύτηκε Σεπτέμβριος 17, 2025 Δημοσιεύτηκε Σεπτέμβριος 17, 2025 Ανιχνευτής βαρυτικών κυμάτων είδε πιο καθαρά από ποτέ μέχρι σήμερα τη φύση των μαύρων τρυπών. Μελετήθηκε μια συγχώνευση μαύρων τρυπών που αποκαλύπτει φαινόμενα που περιγράφονται σε δημοφιλείς κοσμολογικές θεωρίες. Το παρατηρητήριο LIGO γιορτάζει 10 χρόνια πρωτοπορίας στην επιστήμη των βαρυτικών κυμάτων και μια νέα μελέτη που δημοσιεύεται στην επιθεώρηση «Physical Review Letters» επιβεβαιώνει προβλέψεις κορυφαίων φυσικών, όπως ο Άλμπερτ Αϊνστάιν, ο Στίβεν Χόκινγκ και ο Ρόι Κερ ανοίγοντας ενδεχομένως νέους δρόμους προς μια θεωρία κβαντικής βαρύτητας.Η τελευταία επιτυχία του LIGO προέκυψε από την ανίχνευση βαρυτικών κυμάτων, δηλαδή μικροσκοπικών «ρυτιδώσεων» στον χωροχρόνο, που είχαν προβλεφθεί από τον Αϊνστάιν το 1915 με τη Γενική Θεωρία της Σχετικότητας. Τα πρόσφατα ανιχνευμένα κύματα δημιουργήθηκαν από τη σύγκρουση δύο μαύρων τρυπών καθεμιάς περίπου 32 φορές πιο μεγάλης σε μάζα από τον Ήλιο.Στις 14 Σεπτεμβρίου, το LIGO θα γιορτάσει δέκα χρόνια από την πρώτη ανίχνευση βαρυτικών κυμάτων το 2015, το σήμα GW150914, που ταξίδεψε 1,3 δισ. χρόνια μέχρι τη Γη. Εκείνη η ανίχνευση εγκαινίασε μια εντελώς νέα μέθοδο αστρονομίας, την «ακρόαση» του χωροχρόνου αντί της παρατήρησης με ηλεκτρομαγνητική ακτινοβολία. Έκτοτε το LIGO και άλλα αντίστοιχα συστήματα παρατήρησης του (το Virgo στην Ευρώπη και το KAGRA στην Ιαπωνία) έχουν εντοπίσει δεκάδες σήματα, από συγχωνεύσεις μαύρων τρυπών και αστέρων νετρονίων μέχρι σπάνιες «μεικτές» συγχωνεύσεις.Το νέο σήμα, GW250114 είναι το πιο ισχυρό που έχει καταγραφεί. Επιβεβαιώνει την πρόβλεψη του Χόκινγκ το 1971 ότι το συνολικό εμβαδόν του ορίζοντα γεγονότων μετά τη συγχώνευση δεν μπορεί να μικρύνει μόνο να αυξηθεί.Ορίζοντας γεγονότων είναι η περιοχή γύρω από μια μαύρη τρύπα όπου η βαρυτική έλξη είναι τόσο ισχυρή που η ταχύτητα διαφυγής είναι μεγαλύτερη από την ταχύτητα του φωτός. Δεν είναι μια σταθερή επιφάνεια αλλά ένα θεωρητικό όριο στην καμπυλότητα του χωροχρόνου γύρω από την μαύρη τρύπα. Ορίζει ένα σημείο χωρίς επιστροφή: Οτιδήποτε περάσει τον ορίζοντα γεγονότων δεν μπορεί να επιστρέψει στο Σύμπαν ούτε δεδομένα ούτε καν το ίδιο το φως. Οι τόνοι Οι δύο μαύρες τρύπες της συγχώνευσης στη νέα μελέτη είχαν συνολική επιφάνεια 240,000 τ.χλμ. (όσο περίπου η Βρετανία) ενώ η τελική μαύρη τρύπα έφτασε τα 400,000 τ.χλμ. (όσο περίπου η Σουηδία).Επιβεβαιώθηκε επίσης η θεωρία του Κερ: η «φωνή» μιας μαύρης τρύπας (οι συχνότητες του ringdown) εξαρτάται μόνο από δύο παραμέτρους, τη μάζα και την περιστροφή της. Για πρώτη φορά, το LIGO ανίχνευσε δύο τέτοιους «τόνους», προσφέροντας αδιάσειστα στοιχεία ότι οι αστροφυσικές μαύρες τρύπες έχουν τη γεωμετρία που περιέγραψε ο Κερ.Αυτό το επίτευγμα θυμίζει το GW150914 μόνο που τώρα το σήμα ήταν τριπλάσιας έντασης. Οι συνεχείς τεχνολογικές βελτιώσεις επιτρέπουν στο LIGO να μετρά παραμορφώσεις στον χωροχρόνο 10,000 φορές μικρότερες από το πλάτος ενός πρωτονίου. Ο Κιπ Θορν, βραβευμένος με Νόμπελ το 2017 για το LIGO, σχολίασε ότι όταν προτάθηκε η ιδέα το 1972 φαινόταν σχεδόν αδύνατη: «Χρειάστηκε να εφεύρουμε μια εντελώς νέα τεχνολογία για να ξεπεράσουμε τον θόρυβο και να βρούμε το σήμα».Ο Αϊνστάιν πίστευε ότι τέτοιες ανιχνεύσεις θα ήταν αδύνατες. Κι όμως, σήμερα, δέκα χρόνια μετά, το LIGO συνεχίζει να ανοίγει ένα νέο παράθυρο στο Σύμπαν. Καλλιτεχνική απεικόνιση της συγχώνευσης μαύρων τρυπών της νέας μελέτης και των βαρυτικών κυμάτων που δημιουργήθηκαν. https://www.naftemporiki.gr/techscience/2004432/anichneytis-varytikon-kymaton-kategrapse-tin-pio-kathari-eikona-tis-fysis-ton-mayron-trypon/ Ο πλανήτης μας ειναι το λίκνο της ανθρωπότητας.Αλλα κανείς δεν περνάει ολη του τη ζωή στο λίκνο. Κονσταντίν Εντουάρντοβιτς Τσιολκόφσκι.
Δροσος Γεωργιος Δημοσιεύτηκε Σεπτέμβριος 18, 2025 Δημοσιεύτηκε Σεπτέμβριος 18, 2025 Τα μαγνητικά πεδία «χορεύουν» στην πρώτη μαύρη τρύπα που κατάφερε η ανθρωπότητα να φωτογραφήσει απευθείας. Απρόσμενη κοσμική δραστηριότητα παρατηρείται σε αυτό το κοσμικό τέρας. Τον Απρίλιο του 2019 δόθηκε στην δημοσιότητα η πρώτη φωτογραφία μιας κολοσσιαίας μαύρης τρύπας η οποία ήταν προϊόν απευθείας παρατήρησης και λήψης εικόνων. Το επίτευγμα χαιρετίστηκε από τους πάντες και όσοι συμμετείχαν σε αυτή την προσπάθεια κέρδισαν φήμη, πολλά βραβεία και φυσικά τον σεβασμό όλων. Οι επόμενες εικόνες που ελήφθησαν από αυτή τη μαύρη τρύπα δείχνουν αντιστροφή των μαγνητικών πεδίων της ανακάλυψη που ανοίγει νέους δρόμους στη κατανόηση της φύσης των μαύρων τρυπών.Σε απόσταση 55 εκατ. ετών φωτός βρίσκεται ο γαλαξίας M87 στο κέντρο του οποίου βρίσκεται μια μαύρη τρύπα που υπολογίζεται ότι έχει μάζα 6,5 δισ. φορές μεγαλύτερη από αυτή του Ήλιου. Η μαύρη τρύπα έλαβε την ονομασία Μ87* και ερευνητική ομάδα με δημοσίευση της στην επιθεώρηση «Astronomy & Astrophysics» παρουσιάζει τα ευρήματα της μελέτης που έκανε σε απευθείας εικόνες που ελήφθησαν από τη μαύρη τρύπα σε διάστημα 4 ετών από την λήψη της πρώτης φωτογραφίας.Οι ερευνητές αναφέρουν ότι οι εικόνες δείχνουν πώς η πόλωση των μαγνητικών πεδίων δηλαδή η διεύθυνση ή προσανατολισμός των μαγνητικών πεδίων γύρω από τη μαύρη τρύπα αντιστράφηκε σε διάστημα τεσσάρων ετών από την λήψη της πρώτης εικόνας. Οι παρατηρήσεις δείχνουν επίσης τα χαρακτηριστικά σημάδια ενός πίδακα ύλης που εκτοξεύεται από την περιοχή γύρω από τη μαύρη τρύπα με τη βάση του συνδεδεμένη με το φωτεινό δαχτυλίδι γύρω από το εξωτερικό όριό της τον αποκαλούμενο «ορίζοντα γεγονότων».Οι εικόνες αυτές θα μπορούσαν να βοηθήσουν τους επιστήμονες να αναπτύξουν περαιτέρω θεωρίες για το πώς συμπεριφέρεται η ύλη στα ακραία περιβάλλοντα γύρω από υπερμεγέθεις μαύρες τρύπες, αντικείμενα με μάζες εκατομμυρίων ή ακόμη και δισεκατομμυρίων ηλιακών μαζών που βρίσκονται στους πυρήνες όλων των μεγάλων γαλαξιών.Η μελέτη των εικόνων της μαύρης τρύπας Μ87* στη διάρκεια τεσσάρων ετών αποκαλύπτουν την κοσμική της δραστηριότητα. πηγή φωτό. ((Image credit: EHT Collaboration))«Το γεγονός ότι το μοτίβο πόλωσης αντιστράφηκε από το 2017 έως το 2021 ήταν εντελώς απρόσμενο. Αμφισβητεί τα μοντέλα μας και δείχνει ότι εξακολουθούμε να έχουμε πολλά που δεν κατανοούμε κοντά στον ορίζοντα γεγονότων» αναφέρει ο Τζόνγκο Παρκ ερευνητής στο Πανεπιστήμιο Kyunghee στη Νότια Κορέα, μέλος της ερευνητικής ομάδας.Ως «ορίζοντας γεγονότων» αναφέρεται η περιοχή, το όριο, πέρα από το οποίο τίποτα ούτε καν το φως δεν μπορεί να ξεφύγει από τη βαρύτητά μιας μαύρης τρύπας. Μια από τις απευθείας φωτογραφίες της μαύρης τρύπας Μ87* https://www.naftemporiki.gr/techscience/2007027/ta-magnitika-pedia-choreyoyn-sti-proti-mayri-trypa-poy-katafere-i-anthropotita-na-fotografisei-apeytheias/ Ο πλανήτης μας ειναι το λίκνο της ανθρωπότητας.Αλλα κανείς δεν περνάει ολη του τη ζωή στο λίκνο. Κονσταντίν Εντουάρντοβιτς Τσιολκόφσκι.
Δροσος Γεωργιος Δημοσιεύτηκε Σεπτέμβριος 20, 2025 Δημοσιεύτηκε Σεπτέμβριος 20, 2025 Εντοπίστηκε στις εσχατιές του Σύμπαντος μαύρη τρύπα με μάζα ένα δισ. φορές μεγαλύτερη από αυτήν του Ήλιου. Η ανακάλυψη ανοίγει νέα κεφάλαια στην κατανόηση της ύπαρξης και λειτουργίας των μελανών οπών. Μια υπερμεγέθης μαύρη τρύπα στο κέντρο του κβάζαρ RACS J032021.44-352104.1 (ή συντομότερα RACS J0320-35) μεγαλώνει με έναν από τους ταχύτερους ρυθμούς που έχουν καταγραφεί ποτέ σύμφωνα με ανάλυση δεδομένων από επίγεια και διαστημικά τηλεσκόπια.Η μαύρη τρύπα του RACS J0320-35 έχει μάζα περίπου ένα δισεκατομμύριο φορές μεγαλύτερη από αυτήν του Ήλιου.Το σύστημα βρίσκεται περίπου 12,8 δισεκατομμύρια έτη φωτός από τη Γη πράγμα που σημαίνει ότι οι αστρονόμοι το βλέπουν όπως ήταν μόλις 920 εκατομμύρια χρόνια μετά την γέννηση του Σύμπαντος. Παράγει περισσότερες ακτίνες Χ από οποιαδήποτε άλλη μαύρη τρύπα που έχει παρατηρηθεί μέσα στο πρώτο δισεκατομμύριο χρόνια της ιστορίας του Σύμπαντος.Η μαύρη τρύπα τροφοδοτεί αυτό που οι επιστήμονες αποκαλούν κβάζαρ, ένα εξαιρετικά φωτεινό αντικείμενο που λάμπει περισσότερο από ολόκληρους γαλαξίες. Η πηγή ισχύος αυτού του «λαμπερού τέρατος» είναι τεράστιες ποσότητες ύλης που διοχετεύονται γύρω και μέσα στη μαύρη τρύπα.Το κβάζαρ αυτό εντοπίστηκε πριν από περίπου δύο χρόνια αλλά χρειάστηκε αρκετός χρόνος για να μελετηθεί τι συμβαίνει σε αυτό. Τα δεδομένα των ακτίνων Χ δείχνουν ότι η μαύρη τρύπα που τροφοδοτεί το κβάζαρ φαίνεται να μεγαλώνει με ρυθμό που ξεπερνά το κανονικό όριο για τέτοιου είδους αντικείμενα.«Ήταν κάπως σοκαριστικό να βλέπουμε αυτή τη μαύρη τρύπα να μεγαλώνει με άλματα» λέει ο Δρ. Λούκα Ιτζίνα αστρονόμος στο Κέντρο Αστροφυσικής του Harvard & Smithsonian μέλος της ερευνητικής ομάδας που δημοσιεύει τα ευρήματα της στην επιθεώρηση «Astrophysical Journal». Το όριο Όταν η ύλη έλκεται προς μια μαύρη τρύπα, θερμαίνεται και παράγει έντονη ακτινοβολία σε όλο το φάσμα, συμπεριλαμβανομένων ακτίνων Χ και ορατού φωτός. Αυτή η ακτινοβολία ασκεί πίεση στο υλικό που πέφτει. Όταν η ροή ύλης φτάσει σε μια κρίσιμη τιμή, η πίεση ακτινοβολίας εξισορροπεί τη βαρύτητα της μαύρης τρύπας και η ύλη δεν μπορεί να πέσει ταχύτερα. Αυτό το μέγιστο όριο είναι γνωστό ως όριο Eddington.Οι επιστήμονες πιστεύουν ότι οι μαύρες τρύπες που μεγαλώνουν πιο αργά από το όριο Eddington πρέπει να έχουν γεννηθεί με μάζες περίπου 10,000 ηλιακών μαζών ή και περισσότερες ώστε να μπορέσουν να φτάσουν το δισεκατομμύριο ηλιακές μάζες μέσα στο πρώτο δισεκατομμύριο χρόνια μετά τη Μεγάλη Έκρηξη — όπως παρατηρείται στο RACS J0320-35.Μια τόσο μεγάλη αρχική μάζα θα μπορούσε να προκύψει από μια εξωτική διαδικασία: την κατάρρευση ενός τεράστιου νέφους πυκνού αερίου με ασυνήθιστα χαμηλά ποσοστά στοιχείων βαρύτερων από το ήλιο, συνθήκες που μπορεί να είναι εξαιρετικά σπάνιες.Αν το RACS J0320-35 όντως μεγαλώνει με ρυθμό περίπου 2,4 φορές πάνω από το όριο Eddington και το κάνει αυτό για μεγάλο χρονικό διάστημα, τότε η μαύρη τρύπα θα μπορούσε να έχει ξεκινήσει με μια πιο συμβατική μάζα, κάτω από 100 ηλιακές μάζες, προερχόμενη από την κατάρρευση ενός γιγάντιου άστρου.«Γνωρίζοντας τη μάζα της μαύρης τρύπας και υπολογίζοντας πόσο γρήγορα μεγαλώνει, μπορούμε να κάνουμε αναδρομή και να εκτιμήσουμε πόσο μεγάλη ήταν κατά τη γέννησή της. Με αυτόν τον υπολογισμό μπορούμε τώρα να δοκιμάσουμε διαφορετικές ιδέες για το πώς γεννιούνται οι μαύρες τρύπες» λέει ο Δρ. Αλμπέρτο Μορέτι αστρονόμος στο Εθνικό Ινστιτούτο Αστροφυσικής της Ιταλίας και το Αστεροσκοπείο Brera. Καλλιτεχνική απεικόνιση του κβάζαρ και της γιγάντιας μαύρης τρύπας που εκπέμπει ακτινοβολία. https://www.naftemporiki.gr/techscience/2008488/entopistike-stis-eschaties-toy-sympantos-mayri-trypa-me-maza-ena-dis-fores-megalyteri-apo-aytin-toy-ilioy/ Ο πλανήτης μας ειναι το λίκνο της ανθρωπότητας.Αλλα κανείς δεν περνάει ολη του τη ζωή στο λίκνο. Κονσταντίν Εντουάρντοβιτς Τσιολκόφσκι.
Δροσος Γεωργιος Δημοσιεύτηκε Οκτώβριος 9, 2025 Δημοσιεύτηκε Οκτώβριος 9, 2025 Αστρονόμοι εντόπισαν την κολοσσιαία «ουρά» μιας μαύρης τρύπας. Πρόκειται για ένα ίχνος παρόμοιο με αυτό που αφήνουν πίσω τους τα αεροσκάφη με μήκος 20 χιλιάδες έτη φωτός. Με τη βοήθεια του διαστημικού τηλεσκοπίου James Webb και της επίγειας συστοιχίας τηλεσκοπίων ALMA αστρονόμοι παρατήρησαν σε έναν μακρινό γαλαξία ένα γιγάντιο κοσμικό «ίχνος συμπύκνωσης», μια κοσμική δομή από αέριο και σκόνη που πιθανότατα δημιουργήθηκε από τη διέλευση μιας μαζικής μαύρης τρύπας αν και υπάρχουν και άλλες πιθανές εξηγήσεις σύμφωνα με τη μελέτη των ερευνητών.Το φαινόμενο εντοπίστηκε στον σπειροειδή γαλαξία NGC 3627 ο οποίος βρίσκεται περίπου 31 εκατομμύρια έτη φωτός μακριά από το ηλιακό μας σύστημα στον αστερισμό του Λέοντα. Αν και παρόμοια ίχνη έχουν εντοπιστεί και στον γαλαξία μας αυτό του NGC 3627 είναι το πιο καθαρά ορατό και το μεγαλύτερο που έχει βρεθεί ποτέ. Είναι «εντυπωσιακό για το τεράστιο μέγεθός του» όπως εξηγεί η Μένγκε Ζάο διδακτορικός φοιτητής αστρονομίας στο Πανεπιστήμιο Nanjing της Κίνας, μέλος της ερευνητικής ομάδας.Το ίχνος έχει μήκος περίπου 20,000 έτη φωτός δηλαδή το ένα πέμπτο της διαμέτρου του γαλαξία μας και είναι εξαιρετικά στενό (για το μήκος του) μόλις 650 έτη φωτός σε πλάτος. Οι ερευνητές εντόπισαν την «ουρά» κατά την ανάλυση δεδομένων από την έρευνα PHANGS (Physics at High Angular Resolution of Nearby Galaxies) η οποία χρησιμοποιεί τηλεσκόπια όπως το James Webb Space Telescope και το Atacama Large Millimeter/submillimeter Array (ALMA) στη Χιλή για να μελετήσει πώς το αέριο και ο σχηματισμός άστρων επηρεάζουν την εξέλιξη των γαλαξιών.Τα δεδομένα του JWST αποκάλυψαν ότι το ίχνος περιέχει σωματίδια σκόνης ενώ οι παρατηρήσεις του ALMA έδειξαν ότι είναι πλούσιο σε μονοξείδιο του άνθρακα. Το ίχνος φαίνεται ως μια αχνή, γραμμική ουρά αερίου και σκόνης που ξεχωρίζει από τους δύο σπειροειδείς βραχίονες του γαλαξία. Σύμφωνα με το θεωρητικό μοντέλο που ανέπτυξαν οι ερευνητές ένα τεράστιας μάζας συμπαγές αντικείμενο όπως μια μαύρη τρύπα πιθανότατα το δημιούργησε καθώς διέσχισε τον δίσκο του γαλαξία εκτοπίζοντας αέρια και αφήνοντας πίσω του το ίχνος της πορείας του. Η έντονη αναταραχή στο εσωτερικό του ίχνους στηρίζει αυτή την εκδοχή. Τα δεδομένα Οι ερευνητές εκτιμούν ότι το αντικείμενο είχε μάζα περίπου 10 εκατομμύρια Ήλιους και κινούνταν με ταχύτητα 300 χιλιομέτρων το δευτερόλεπτο. Υπολογίζουν επίσης ότι το ίχνος σχηματίστηκε πριν από 20 εκατομμύρια χρόνια, που θεωρείται πολύ πρόσφατο σε κοσμική κλίμακα, για παράδειγμα ο γαλαξίας μας έχει ηλικία πάνω από 13 δισεκατομμύρια χρόνια.Αν και το πιθανότερο είναι να πρόκειται για τεράστια μαύρη τρύπα οι ερευνητές δεν αποκλείουν την περίπτωση να είναι ο πυρήνας ενός νάνου γαλαξία. Οι επιστήμονες σχεδιάζουν περαιτέρω παρατηρήσεις με το ALMA ή μελλοντικές βαθύτερες οπτικές έρευνες που ίσως αποκαλύψουν το διαστημικό σώμα που δημιούργησε αυτό το ίχνος συμπύκνωσης.«Κατανοώντας την εξέλιξή τους και πόσο συχνά συμβαίνουν, μπορούμε να μάθουμε πολλά για τον πληθυσμό των μαζικών σκοτεινών αντικειμένων που διασχίζουν τους γαλαξιακούς δίσκους» λέει o Ζάο. Εικόνα του γαλαξία NGC 3627 στον οποίο εντοπίστηκε η γιγάντια κοσμική δομή που μοιάζει με ουρά μαύρης τρύπας. https://www.naftemporiki.gr/techscience/2017347/astronomoi-entopisan-tin-kolossiaia-oyra-mias-mayris-trypas/ Ο πλανήτης μας ειναι το λίκνο της ανθρωπότητας.Αλλα κανείς δεν περνάει ολη του τη ζωή στο λίκνο. Κονσταντίν Εντουάρντοβιτς Τσιολκόφσκι.
Δροσος Γεωργιος Δημοσιεύτηκε Οκτώβριος 13, 2025 Δημοσιεύτηκε Οκτώβριος 13, 2025 Για πρώτη φορά φωτογραφίζεται το «βαλς» δύο μαύρων τρυπών (βίντεο) Δεν είχε επιτευχθεί εντοπισμός ζευγαριού μελανών οπών σε κατάσταση αλληλεπίδρασης. Μια εικόνα δύο μαύρων τρυπών που περιστρέφονται η μία γύρω από την άλλη καταγράφηκε για πρώτη φορά. Αστρονόμοι εντόπισαν αυτό το κοσμικό ντουέτο στην καρδιά του γαλαξία OJ287 περίπου πέντε δισεκατομμύρια έτη φωτός μακριά από τη Γη.Μέχρι σήμερα, οι επιστήμονες είχαν καταφέρει να απεικονίσουν μόνο μεμονωμένες υπερμεγέθεις μαύρες τρύπες,. Όμως, ερευνητές από το Πανεπιστήμιο του Turku στη Φινλανδία παρείχαν τώρα την πρώτη άμεση απόδειξη ότι οι μαύρες τρύπες μπορούν να υπάρχουν σε ζεύγη.Για δεκαετίες, οι επιστήμονες υποπτεύονταν ότι ο OJ287 φιλοξενούσε δύο μαύρες τρύπες, αλλά δεν υπήρχε τηλεσκόπιο αρκετά ισχυρό για να τις διακρίνει. Συνδυάζοντας τηλεσκόπια στη Γη με έναν δορυφόρο που βρισκόταν στη μέση της απόστασης προς τη Σελήνη ερευνητική ομάδα δημιούργησε ένα ραδιοτηλεσκόπιο 15 φορές μεγαλύτερο από τη Γη.Αυτό επέτρεψε στους ερευνητές να λάβουν μια εικόνα με ανάλυση 100.000 φορές υψηλότερη από ό,τι είχε χρησιμοποιηθεί ποτέ για την παρατήρηση του OJ287. Ο επικεφαλής ερευνητής, καθηγητής Μάουρι Βάλτονεν δήλωσε: «Για πρώτη φορά, καταφέραμε να αποκτήσουμε εικόνα δύο μαύρων τρυπών που περιστρέφονται η μία γύρω από την άλλη». Τι είναι ο OJ287; Ο OJ287 είναι ένα κβάζαρ ένας εξαιρετικά φωτεινός γαλαξιακός πυρήνας που περιέχει μια υπερμεγέθη μαύρη τρύπα. Η ίδια η μαύρη τρύπα δεν εκπέμπει φως, αλλά το αέριο και η σκόνη που πέφτουν μέσα της θερμαίνονται σε τεράστιες θερμοκρασίες, παράγοντας τεράστιες ποσότητες ακτινοβολίας. Παρά το ότι απέχει πέντε δισεκατομμύρια έτη φωτός, ο OJ287 είναι τόσο λαμπρός που ακόμη και ένας ερασιτέχνης αστρονόμος με ένα καλό τηλεσκόπιο μπορεί να τον δει. Ένα μυστήριο δεκαετιών Τη δεκαετία του 1980, οι επιστήμονες παρατήρησαν ότι το φως του κβάζαρ μεταβαλλόταν με έναν σταθερό κύκλο 12 ετών. Ο Valtonen εξηγεί: «Το ξεχωριστό στον OJ287 είναι ότι θεωρείται πως φιλοξενεί όχι μία, αλλά δύο μαύρες τρύπες σε τροχιά 12 ετών, που προκαλούν ένα χαρακτηριστικό μοτίβο φωτεινότητας στο ίδιο χρονικό διάστημα».Αν και οι αστρονόμοι ήταν σχεδόν βέβαιοι για την ύπαρξη των δύο μαύρων τρυπών, χρειάστηκαν δεκαετίες για να το αποδείξουν. Ακόμη και όταν το δορυφορικό τηλεσκόπιο της NASA, TESS, ανίχνευσε φως και από τις δύο το 2021, η εικόνα έδειχνε ακόμη ένα μόνο αντικείμενο, επειδή τα οπτικά τηλεσκόπια δεν είχαν αρκετή ανάλυση. Τι αποκάλυψε η εικόνα Για να “δουν” καθαρά οι επιστήμονες χρησιμοποίησαν μια τεχνική που λέγεται «Παρεμβολή Πολύ Μεγάλης Βάσης» (Very Long Baseline Interferometry – VLBI). Η μέθοδος αυτή συνδυάζει ραδιοτηλεσκόπια διάσπαρτα σε όλη τη Γη και το διάστημα, δημιουργώντας ένα “εικονικό” τηλεσκόπιο γιγαντιαίων διαστάσεων.Προσθέτοντας τον δορυφόρο RadioAstron, που βρισκόταν στη μέση της απόστασης προς τη Σελήνη, οι ερευνητές κατάφεραν να λάβουν ραδιοεικόνα του κβάζαρ με πρωτοφανή ευκρίνεια. Στην εικόνα, οι δύο μαύρες τρύπες εντοπίζονται από τους ισχυρούς πίδακες σωματιδίων που εκπέμπουν. Οι ίδιες είναι εντελώς σκοτεινές, αλλά μπορούν να ανιχνευτούν από το φωτεινό αέριο που τις περιβάλλει. Οι μετρήσεις έδειξαν ότι η μεγαλύτερη μαύρη τρύπα έχει μάζα 18,35 δισεκατομμύρια φορές τη μάζα του Ήλιου ενώ η μικρότερη έχει περίπου 150 εκατομμύρια ηλιακές μάζες και περιστρέφεται γύρω της μία φορά κάθε 12 χρόνια.Η ανακάλυψη αυτή προσφέρει την πιο καθαρή απόδειξη ότι οι μαύρες τρύπες μπορούν να σχηματίζουν ζεύγη, ένα βήμα κρίσιμο για την κατανόηση του πώς συγχωνεύονται οι γαλαξίες και του πώς δημιουργούνται τα βαρυτικά κύματα. «Οι ίδιες οι μαύρες τρύπες είναι τέλεια μαύρες αλλά το φως και τα σωματίδια γύρω τους μας αποκαλύπτουν τον χορό τους στο σκοτάδι» λέει ο καθηγητής Βάλτονεν. Η εικόνα των δύο μαύρων τρυπών να… χορεύουν https://www.naftemporiki.gr/techscience/2018442/gia-proti-fora-fotografizetai-to-vals-dyo-mayron-trypon-vinteo/ Ο πλανήτης μας ειναι το λίκνο της ανθρωπότητας.Αλλα κανείς δεν περνάει ολη του τη ζωή στο λίκνο. Κονσταντίν Εντουάρντοβιτς Τσιολκόφσκι.
Δροσος Γεωργιος Δημοσιεύτηκε Οκτώβριος 17, 2025 Δημοσιεύτηκε Οκτώβριος 17, 2025 Ανακαλύφθηκαν μοναδικά κοσμικά δαχτυλίδια που εντυπωσιάζουν τους επιστήμονες. Πρόκειται για δομές που ίσως κρύβουν στοιχεία για την ύπαρξη γαλαξιών και μαύρων τρυπών. Με τη βοήθεια της κοινότητας των αποκαλούμενων πολιτών-επιστημόνων αστρονόμοι εντόπισαν τον πιο ισχυρό «περίεργο ραδιοκύκλο» (Odd Radio Circle – ORC) που έχει παρατηρηθεί μέχρι σήμερα. Η ανακάλυψη αυτή θα μπορούσε να βοηθήσει τους ερευνητές να κατανοήσουν καλύτερα πώς σχηματίζονται αυτά τα ασυνήθιστα κοσμικά αντικείμενα καθώς και οι γαλαξίες που περικλείουν.«Οι ORC είναι από τις πιο παράξενες και όμορφες κοσμικές δομές που έχουμε δει ποτέ και ενδέχεται να κρύβουν ζωτικά στοιχεία για το πώς οι γαλαξίες και οι μαύρες τρύπες συν-εξελίσσονται», δήλωσε ο Ανάντα Χότα ιδρυτής του RAD@home Astronomy Collaboratory και συν-συγγραφέας της νέας μελέτης που περιγράφει τα ευρήματα.Οι ORC περιγράφηκαν για πρώτη φορά το 2019 από μια ομάδα που χρησιμοποίησε τη συστοιχία τηελσκοπίων Australian Square Kilometer Array Pathfinder. Ουσιαστικά πρόκειται για γιγάντιους, αμυδρούς δακτυλίους πλάσματος που φαίνεται να περιβάλλουν ορισμένους γαλαξίες και να εκπέμπουν ραδιοκύματα. Μέχρι σήμερα έχουν εντοπιστεί μόλις περίπου δώδεκα τέτοια τεράστια αντικείμενα τα περισσότερα από τα οποία είναι 10 έως 20 φορές μεγαλύτερα από το γαλαξία μας. Οι ερευνητές όμως πιστεύουν ότι ο νεοανακαλυφθείς ORC ίσως προσφέρει σημαντικά στοιχεία για τον τρόπο σχηματισμού αυτών των κοσμικών γιγάντων.Αυτός ο ORC είναι μοναδικός για δύο λόγους. Πρώτον, αποτελείται όχι από έναν αλλά από δύο δακτυλίους, αλληλοσυνδεόμενους σαν διάγραμμα Venn κάτι που έχει παρατηρηθεί μόλις μία ακόμη φορά. Δεύτερον είναι ο πιο μακρινός και ισχυρός ORC που έχει εντοπιστεί μέχρι σήμερα. Οι ερευνητές περιέγραψαν τα ευρήματα σε μια μελέτη που δημοσιεύθηκε στην επιθεώρηση «Monthly Notices of the Royal Astronomical Society».Οι νέοι δακτύλιοι εντοπίστηκαν αρχικά από πολίτες–επιστήμονες που συμμετείχαν στο RAD@home Astronomy Collaboratory, μια διεθνή ερευνητική πλατφόρμα πολιτών με έδρα την Ινδία. Η ύπαρξή τους επιβεβαιώθηκε αργότερα από ομάδα αστρονόμων που χρησιμοποίησε το Low-Frequency Array (LOFAR) — ένα δίκτυο ραδιοτηλεσκοπίων στην Ευρώπη — και το αντικείμενο ονομάστηκε RAD J131346.9+500320.«Το γεγονός ότι οι πολίτες–επιστήμονες τους ανακάλυψαν υπογραμμίζει τη συνεχιζόμενη σημασία της ανθρώπινης ικανότητας αναγνώρισης προτύπων, ακόμη και στην εποχή της μηχανικής μάθησης» δήλωσε ο Πράτικ Νταμπχάντεμπ αστρονόμος στο Εθνικό Κέντρο Πυρηνικής έρευνας της Πολωνίας και συν-συγγραφέας της νέας μελέτης.Προηγούμενες έρευνες είχαν υποθέσει ότι οι ORC μπορεί να σχηματίζονται όταν υπερμεγέθεις μαύρες τρύπες συγκρούονται, στέλνοντας κοσμικά κύματα κρούσης στο διάστημα. Ωστόσο, οι δίδυμοι δακτύλιοι του RAD J131346.9+500320 φαίνεται να περιβάλλουν ένα ρεύμα αερίου που μοιάζει με πίδακα. Με βάση αυτή τη δομή ο Νταμπχάντε και η ομάδα του προτείνουν ότι ενδέχεται να έχει σχηματιστεί από «υπερ-ανέμους» που ρέουν από τους σπειροειδείς γαλαξίες που περιέχει. Αυτό το σενάριο μπορεί να ισχύει και για άλλους ORC — αν και απαιτείται περισσότερη έρευνα για να επιβεβαιωθεί. Εκτός από το RAD J131346.9+500320, η μελέτη περιγράφει και δύο ακόμη αντικείμενα που εντοπίστηκαν σε συνεργασία με το RAD@home Astronomy Collaboratory: — ένα γαλαξία με διάμετρο 3 εκατομμύρια έτη φωτός, ο οποίος περιβάλλεται από έναν ραδιοφωνικό δακτύλιο, και — ένα άλλο γαλαξία που διαθέτει δακτύλιο γύρω από έναν από τους τεράστιους πίδακές του. Η μελλοντική έρευνα με το LOFAR και άλλα τηλεσκόπια, όπως το Παρατηρητήριο Vera C. Rubin στη Χιλή, ενδέχεται να βοηθήσει τους επιστήμονες να αποκαλύψουν περισσότερα για τη φύση και τον σχηματισμό αυτών των εντυπωσιακών δομών. Καλλιτεχνική απεικόνιση των δύο κοσμικών δακτυλίων https://www.naftemporiki.gr/techscience/2020950/anakalyfthikan-monadika-kosmika-dachtylidia-poy-entyposiazoyn-toys-epistimones/ Ο πλανήτης μας ειναι το λίκνο της ανθρωπότητας.Αλλα κανείς δεν περνάει ολη του τη ζωή στο λίκνο. Κονσταντίν Εντουάρντοβιτς Τσιολκόφσκι.
Προτεινόμενες αναρτήσεις
Δημιουργήστε έναν λογαριασμό ή συνδεθείτε για να σχολιάσετε
Πρέπει να είσαι μέλος για να αφήσεις ένα σχόλιο
Δημιουργία λογαριασμού
Εγγραφείτε για έναν νέο λογαριασμό στην κοινότητά μας. Είναι εύκολο!.
Εγγραφή νέου λογαριασμούΣυνδεθείτε
Έχετε ήδη λογαριασμό? Συνδεθείτε εδώ.
Συνδεθείτε τώρα