Jump to content

ΣΤΕΛΙΟΣ

Μέλη
  • Αναρτήσεις

    785
  • Εντάχθηκε

  • Τελευταία επίσκεψη

Όλα αναρτήθηκαν από ΣΤΕΛΙΟΣ

  1. ΣΤΕΛΙΟΣ

    ΠΛΑΝΗΤΗΣ ΟΥΡΑΝΟΣ 15-9-2011

    Αγαπητε φιλε θερμα συγχαρητηρια. Μπραβο.
  2. ΣΤΕΛΙΟΣ

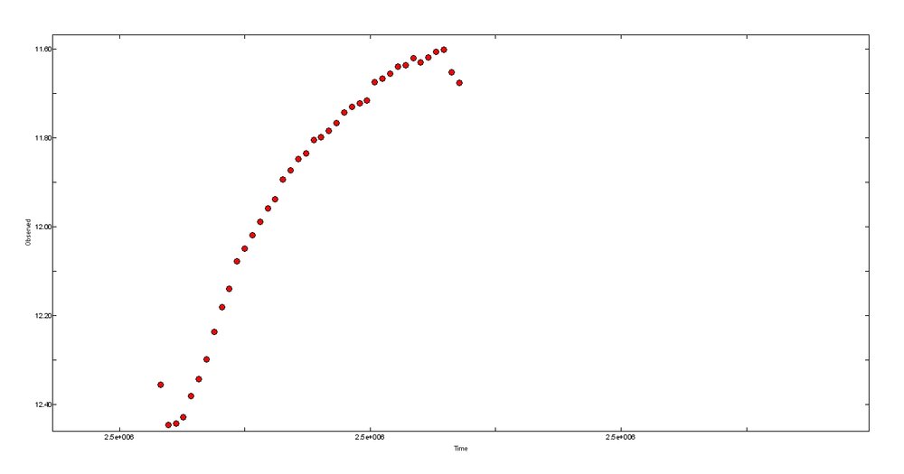
    Fourier αναλυση.

    Aγαπητοι φιλοι. Οπως ειδατε πιστευω,πριν 2 μερες δημοσιευσα μια φωτομετρικη καμπυλη απο τον hip 98737 ή αλλιως ΧΧ Cyg. Προκειται για ενα μεταβλητο με μικρη περιοδο και μεγαλη μεταβολη στην διακυμανση της φωτεινοτητος του.Ο αστερας κατατασεται με βαση απο αυτα που μελετησα στην κατηγορια των αστερων δ scuti. Σε καποια αλλη πηγη ανεφεραν τον αστερα ως τυπου SX Phe type.(Παρακαλω αν καποιος φιλος βρισκει κατι λαθος να με ενημερωσει δημοσια.Νεα αρχη για μενα οι μεταβλητοι και λογικο να κανω λαθη πιστευω.) Η φωτομετρικη καμπυλη μου με ευχαριστησε και πραγματικα με εκστασιασε οταν εκατσα να σκεφτω τι ειναι αυτο που αποτυπωθηκε... Φυσικα απο τεχνικης αποψεως εχω δει και απο Ελληνες αλλα και απο ξενους ερασιτεχνες πολυ καλυτερες.Στην δικη μου δεν καταφερα να αποτυπωσω μια πληρη περιοδο. Ετσι εκανα ακομη μια συνεδρια οπου αυτην την φορα "πετυχα" το υπεροχο αυτο μεταβλητο στην φαση της πτωσεως.Εμεινα με το στομα ορθανοιχτο οταν διαπιστωσα την ταχυτητα με τον οποια εφθηνε η φωτεινοτητα σε σχεση με την ταχυτητα που αυξανονταν.Τα καρε μου ειχαν 200sec διαφορα, και στα σημεια της πτωσεως μοιαζει σαν να μου λειπουν καρε.Κι ομως δεν λειπουν.Με εντυπωσιασε πραγματικα. Και αυτην την φορα ομως δεν κατεγραψα μια πληρη περιοδο. Εκει αρχισα να προβληματιζομαι.Σκεφτηκα οτι θελω παραπανω χρονο.Ισως καμια ωρα παραπανω. Ωραια, αντε και το κανω. Τι γινεται ομως στην περιπτωση οπου θα σκοπευσω σε εναν μεταβλητο οπου η περιοδος του θα ειναι 2 μερες ? 2 μηνες ? 17 ωρες ? κλπ κλπ. Δεν μπορω να τραβαω συνεχομενα καρε για τοσο διαστημα, ουτε φυσικα και να παιρνω τα φωτομετρικα μου δεδομενα και να τα προσθετω κατα προσεγγιση εντελως αυθαιρετα μονος μου. Καποιος τροπος θα υπαρχει. Αρχισα να ψαχνω και τελικα βρηκα οτι μεσα απο μεθοδους οπου εμπλεκεται fourier αναλυση (και οχι μονο) μπορουμε να "ενωσουμε" δεδομενα απο διαφορετικες συνεδριες (με μεγαλα χρονικα κενα μεταξυ τους) και τελικα να παρουμε μια φωτομετρικη καμπυλη που να μας δινει μια πιο ολοκληρωμενη εικονα της περιοδου του μεταβλητου. Κατεβασα λογισμικο απο μια Αυστριακη αστρονομικη ιστοσελιδα και αρχισα τις αναλυσεις. Παρακατω θα δειξω βημα βημα τις καμπυλες μου καθως και το τελικο αποτελεσμα. Με εκπληξη μου διεπιστωσα οτι μετα την αναλυση fourier οπου υπεβαλα τα δεδομενα μου, πηρα μια φωτομετρικη καμπυλη οπου φαινεται οχι απλα μια περιοδος αλλα και οι ενδιαμεσες που "εχασα" μεταξυ των συνεδριων. Εαν τα αποτελεσματα των αναλυσεων μου ειναι σωστα, τοτε μαλλον ελυσα το προβλημα του πως θα κανω σωστη μακροπροθεσμη φωτομετρικη καταγραφη. Γι αυτο τον λογο θα προωθησω τα αποτελεσματα σε εναν εξαιρετο επιστημονα που γνωριζω για να τα επεξεργαστει και να τα επιβεβαιωσει. Μεσα σε ολα αυτα εκανα ελεγχο στα αποτελεσματα του mira και με εκπληξη διαπιστωσα οτι σε καποια σημεια οπου οι καμπυλες μου ειναι στην ιδια φαση, το λογισμικο εχει καταγραψει ομοιες εξαιρετικα μικρες διακυμανσεις στην φωτεινοτητα. Διακυμανσεις με ενα "," και αρκετα ψηφια απο πισω.Εαν ειναι οντως ετσι τοτε το RC μου με την atik "πιανουν" αρκετη λεπτομερεια για να προχωρησω στον στοχο μου. Εξωπλανητες. Να ειστε ολοι καλα. Η φωτομετρικη καμπυλη της πρωτης βραδιας. Η φωτομετρικη καμπυλη απο την δευτερη βραδια. Το γραφημα fourier μετα την αναλυση. Το διαγραμμα φασης. Η διορθωμενη καμπυλη απο την πρωτη βραδια. H διορθωμενη καμπυλη απο την δευτερη βραδια. Η τελικη φωτομετρικη καμπυλη οπου διακρινουμε την περιοδικοτητα στην μεταβολη της φωτεινοτητος του ΧΧ Cyg
  3. Θεση (position) ra 20 3.496 / dec 58 59.354 Ημερομηνία καταγραφής (date) 13/9/2011 Έναρξη καταγραφής (start point) 19:35 UT Διάρκεια καταγραφής (duration) 2h 50 min Θερμοκρασία (temperature) 24,5C - 21,9C Θερμοκρασία ccd (ccd temperature) ~ 4C Yγρασία (humidity) 44,5 - 54% r.H. Ταχύτητα ανέμου (wind speed) 0,2 km/h - 0 km/h Πίεση (pressure) 1.003 - 1.003,5 mBar/hPa Λήψεις (frames) 40 Calibration darks-flats-darks for flats - bias Προγραμματα (software) maximdl/phd/mira al Στήριξη (mount) heq5 pro Τηλεσκόπιο (telescope) gso rc 6'' Κάμερα (ccd) atik16ic Οδηγητικό τηλεσκόπιο (guiding telescope) finderscope 9x50 Οδηγητική κάμερα (guiding camera) qhy5 Tοποθεσία (location ) 24,9E 41,8N Drama Greece Aστεροσκοπείο -Ανατολή - observatory Μια φωτογραφηση και προσπαθεια καταγραφης, που απο καιρο ηθελα να κανω.Το "παντρεμα" της atik με το RC ειναι πραγματικα ιδανικο για τετοιες εφαρμογες.Το καταευχαριστηθηκα αν και δεν κατεγραψα ολη την περιοδο. Να σται καλα φιλοι μου.
  4. Χρησταρα ο τηλεφακος εχει παρει φωτια !!! Βαλε κανα ποτηρακι νερο διπλα να τον βουτας ποτε ποτε μεσα να κρυωνει. Μπραβο ρε φιλε.
  5. ΣΤΕΛΙΟΣ

    Νεφέλωμα το Αετού (m16)

    Πανεμορφη φωτο.Πολυ ωραια και η περιγραφη.Και οσο και για το υδρογονο ειμαι σιγουρος οτι θα το δεσεις αγαπητε φιλε. Και παλι μπραβο.
  6. ΣΤΕΛΙΟΣ

    Sn 2011fe On Messier 101 (pseudocolor)

    Deep δεν ξες ποσες φορες τον μετρησα (και ολη την περιοχη).Λεω αποκλειεται παρα ειναι μεγαλο, θα ανεβασω λαθος φωτο και θα ριξουμε πολυ γελιο.Αλλα τα δεδομενα εδειχναν οτι ειναι οντως αυτο.Μου εκανε εντυπωση κι εμενα.
  7. ΣΤΕΛΙΟΣ

    Sn 2011fe On Messier 101 (pseudocolor)

    mount heq5 pro telescope gso rc 6'' 1370mm f9 camera atik 16ic guiding scope finderscope 9x50 guiding camera qhy5 time 18:25 ut time date 11/9/2011 teperature 25,4C - 24,7C humidity 55,4 % r.H. wind speed 1,2 km/h - 0,4 km/h pressure 1.005,5 - 1.005,4 mBar/hPa frames 5X300 sec calibration frames :flats-bias maximdl (pseudocolor)/phd/photoshop cs Drama Greece "Anatoli Onservatory"
  8. Το σκεπτικο μου ειναι καποιες νυχτες αφιερωμενες μονο για darks. Οσο θα περναει ο καιρος και η θερμοκρασια θα χαμηλωνει θα χρειαζονται νεα set απο darks για εκεινη την περιοδο. Π.χ αυτην την περιοδο παρατηρησα οτι στην εναρξη των καταγραφων μου ειμαι περιπου στους 26-27 βαθμους, ενω στο τελος (κατα τις μια δυο το βραδυ) ειμαι περιπου στους 22-21.Εκει μεσα παιζει. Ξεκινησα μια βραδυα απο νωρις και ανεβηκα πιο πανω (30) και επαιρνα darks μεχρι τους 20 περιπου. Γι αυτη την περιοδο μου κανουν την δουλεια μια χαρα. Οταν δω οτι ειμαι σε μια περιοδο οπου η θερμοκρασια ειναι σε αλλα επιπεδα (ακομη και στους 5-10) που αναφερεις θα κανω παλι το ιδιο.
  9. Αγαπητε φιλε. Αυτο ακριβως που περιγραφεις (καταλαβα τωρα τι εννοεις), το κανω αυτη την περιοδο. Δημιουργω μια βαση δεδομενων με darks. Εκανα καποιες δοκιμες και δουλεψαν 100%. Μεσα απο το προγραμμα του μετεωρολογικου μου σταθμου,μπαινω στην δικη του βαση δεδομενων και καταγραφω την ακριβη θερμοκρασια περιβαλοντος (ο αισθητηρας βρισκεται διπλα στα οργανα μεσα στο αστεροσκοπειο) για το χρονικο διαστημα που πηρα τα darks.Κατοπιν ονομαζω τον φακελο με τα συγκεκριμενα π.χ "DARKS-300SEC-25C/28C".Ετσι οταν φωτογραφιζω και δω οτι τα lighs μου ειναι του ιδιου χρονου εκθεσης (300) και κατα την ληψη τους η θερμοκρασια ηταν μεταξυ 25 και 28 βαθμων κελσιου,τα χρησιμοποιω.Απο καποιες πρωτες δοκιμες που εκανα μου εχει δουλεψει 100%. Για την ακριβεια μια νυχτα οπου ειχε συνεφια, ενεργοποιησα το συστημα και επαιρνα μονο darks παρακολουθωντας ταυτοχρονα την θερμοκρασια. Σε βαθος χρονου πιστευω οτι μπορει να γινει μια αρκετα καλη βαση δεδομενων με darks.
  10. Μια χαρα τα λες Δημητρη. Λογικα θελει κι αλλο κοψιμο για να εστιασει με το διαγωνιο.Εγω στην θεση σου θα το εκοβα κι αλλο.
  11. Aγαπητε φιλε. Με μπερδεψες λιγο. Αν καταλαβα καλα, να κανουμε ενα masterdark π.χ. 200sec αλλα αυτο να περιεχει πληροφορια απο darks 200 sec διαφορετικης ομως θερμοκρασιας ? Το καταλαβα καλα ? Το αναφερω γιατι αυτην την περιοδο φτιαχνω και μια βαση δεδομενων με darks βαση της θερμοκρασιας.Με ενδιαφερει αυτο που εθιξες.
  12. ΣΤΕΛΙΟΣ

    Comet Garradd

    Να σται καλα αγαπητοι φιλοι για τα καλα σας λογια.
  13. ΣΤΕΛΙΟΣ

    Comet Garradd

    Mount :heq5 pro Telescope:gso rc 6'' camera:orion starshoot pro guiding:finderscope 9x50 guiding camera:atik 16ic time : 21:01 UT date : 5/9/2011 temp : 25c ccd temp : ~ -5c humidity : 53% r.H. windspeed : 0-0,5 km/h atm.pressure : 1.018 mBar/hPa site : 41,8'N 24,9'E Drama Greece software : maximdl,phd guiding,photoshop cs exp : 10 x 300 sec bin 2x2 Εν μεσω των προσπαθειων για collimation του RC, αποφασισα να παρω πρωτο φως για το αστεροσκοπειο μου.Πηγα σε bin 2x2 και τεραστιο croped εξαιτιας των προβληματων ευθυγραμισης και φυσικα του σχηματος των αστερων.Ελπιζω να εσωσα κατι. Αυτη ειναι λοιπον η πρωτη φωτο του αστεροσκοπειου "ΑΝΑΤΟΛΗ". Να σται ολοι καλα.
  14. ΣΤΕΛΙΟΣ

    Ic5146 - Cocoon Nebula

    Δεν εχω λογια Σακη. Εξαιρετικη.Οπως παντα.
  15. ΣΤΕΛΙΟΣ

    M45: The Pleiades Star Cluster

    Aγγελε ολα καλα ρε φιλε, ωραια φωτο δεν λεω...αλλα βαζω στοιχημα οτι αυτες δεν ειναι οι Πλειαδες ! Γιατι αν ειναι,τοτε τοσα χρονια εγω αλλες Πλειαδες εβλεπα !!! Δεν θα πω τιποτα αλλο.
  16. ΣΤΕΛΙΟΣ

    QHY5

    Ολα καλα φιλε. Σε αναμονη για καμια καλη βραδυα για δοκιμη.
  17. ΣΤΕΛΙΟΣ

    QHY5

    Αντε καλοριζικη μου ευχομαι !!! Καλα οδηγηματα. Το ascom 6 "ξεκλειδωσε" την καμερα. Βασιλη να σαι καλα φιλε.
  18. ΣΤΕΛΙΟΣ

    QHY5

    Εχουμε και λεμε. Εκανα ολα τα παραπανω (εκτος απο το βημα για το nebulosity μιας και δεν το εχω ). Στο phd εβγαλε μια επιλογη " ASCOM (LATE) CAMERA" υποθετω οτι αυτη ειναι. Μολις πατησα τα εξης μηνυματα εμφανιστηκαν. "FAILED TO OPEN SUB-KEY CAMERA DRIVERS" press ok "FAILED TO RUN THE SCOPE CHOOSER.SOMETHING IS WRONG WITH ASCOM" press ok "PROBLEM CONNECTING TO CAMERA". Εχω ascom 4.1. Τωρα κατεβαζω την εκδοση 6, μιας και απο ολα αυτα εμενα το μυαλο μου εκει παει. Καμια ιδεα παραπανω κυριοι ? (υγ. κατα την εγκατασταση των παραπανω πουθενα δεν μου ειπε plugin την καμερα,ουτε εκανε reboot μονο του.Ενοειται οτι στο τελος την καμερα την καταλαβαινει.)
  19. ΣΤΕΛΙΟΣ

    QHY5

    Αγαπητε Βασιλη Να σαι καλα φιλε. Παω να τα δοκιμασω.
  20. ΣΤΕΛΙΟΣ

    QHY5

    Oυτε να το συζητας αδερφε. Αυτα δεν ειναι προβληματα. Θα βρεθει η ακρη μεχρι το βραδυ ειμαι σιγουρος. Να σαι καλα !!!
  21. ΣΤΕΛΙΟΣ

    QHY5

    Aγαπητε φιλε τους κατεβασα και τους εγκατεστησα ηδη. Τιποτα. Στο phd βγαζει μια επιλογη ascom v5 μολις την πατας κρασαρει το phd. Στο maxim μολις πατας ascom advanced "run time error" κλπ κλπ.
  22. ΣΤΕΛΙΟΣ

    QHY5

    Αγαπητοι φιλοι. Μολις παρελαβα την QHY5.Δυστηχως ο καλος φιλος δεν μου εστειλε το cd. Κατεβασα οτι βρηκα αλλα δυστηχως το phd και το maxim δεν λενε να δουν την καμερα. Σε ενα δικο της προγραμματακι αναγνωριζεται και συνδεεται κανονικα. Ξερεις κανεις αν χρειαζομαι κανα plugin και απο που ? Να σται καλα.
  23. Αγαπητε Γιωργο. Ειπα "ας ριξω μια ματια στα γρηγορα..." Εδω το πραγμα θελει καλο διαβασμα. Το μεσημερι θα το διαβασω με πολυ μεγαλη προσοχη. Οπως και να εχει χιλια ευχαριστω τουλαχιστον απο μενα, ασχετως αν δουλεψει ή οχι η μεθοδος. Ολοι κατανοουμε ποσο πιεζεσαι για να βαλεις το συστημα σου μπρος για τα καλα και να το τελειοποιησεις. (υγ εχω κι εγω καποια νεα απο πολυ αξιοπιστες και σοβαρες πηγες.Το απογευμα θα γραψω δυο λογια.) Να σαι καλα φιλε. Στελιος
  24. ΣΤΕΛΙΟΣ

    Ic 5070 Ha Rgb με Jupiter 200mm F:4

    Χρηστο τελικα ο φακος σου δουλεψε μια χαρα. Μπραβο φιλε.Πολυ ωραια !
  25. Ζητουνται Ή orion starshoot autoguider ή qhy5 Oποιος πουλαει ας στειλει π.μ.
×
×
  • Δημιουργία νέου...

Σημαντικές πληροφορίες

Όροι χρήσης