kkokkolis Δημοσιεύτηκε Μάιος 21, 2025 Δημοσιεύτηκε Μάιος 21, 2025 1 hour ago, vagkaf said: Και εδώ μια εικόνα για σύγκριση των άνω οπτικών στοιχείων. Νομίζω η εικόνα μιλάει απο μόνη της, για το ποιο αποτελεί κανονικό παράθυρο στο σύμπαν. Θα κάνω αναφορά για οπτικοπορνογραφία! 3 Οὖτιν με κικλήσκουσι My Optics
vagkaf Δημοσιεύτηκε Μάιος 21, 2025 Δημοσιεύτηκε Μάιος 21, 2025 15 minutes ago, kkokkolis said: Θα κάνω αναφορά για οπτικοπορνογραφία! Θα απορριφθεί καθώς απουσιάζει από την παρέα βασικός πρωταγωνιστής. Φακός με πράσινα γράμματα 😅
τσιαγκας προδρομος Δημοσιεύτηκε Μάιος 21, 2025 Δημοσιεύτηκε Μάιος 21, 2025 Ποιον 92° έχεις τον 12 ή 17 ; Καθαρούς ουρανούς
vagkaf Δημοσιεύτηκε Μάιος 21, 2025 Δημοσιεύτηκε Μάιος 21, 2025 1 hour ago, τσιαγκας προδρομος said: Ποιον 92° έχεις τον 12 ή 17 ; Αν πάρεις τον έναν, 99% θα θες και τον άλλον ... με υπομονή καλύτερα να πετύχεις καλή προσφορά.
τσιαγκας προδρομος Δημοσιεύτηκε Μάιος 21, 2025 Δημοσιεύτηκε Μάιος 21, 2025 (επεξεργάστηκε) Σίγουρα η παρακολούθηση της αγοράς επιφέρει ευκαιρίες αγοράς , δεν μου απάντησες όμως ποιο μέγεθος εστιακής έχεις , θα μαντέψω λοιπών από δύο στοιχεία . 1) εχεις 12" dobson άρα 1500 εστιακή άρα ποιο ισορροπημένη μεγέθυνση δίνει το 17mm 2) κυκλοφόρησε στις αγγελίες ένας 17mm 92° στο παρελθόν Ελπίζω να μαντεψα σωστά 😆😆 Το επεξεργάστηκε Μάιος 21, 2025 ο τσιαγκας προδρομος Καθαρούς ουρανούς
vagkaf Δημοσιεύτηκε Μάιος 21, 2025 Δημοσιεύτηκε Μάιος 21, 2025 Και τους δύο, ο ένας έφερε τον άλλον. Έχει κάμποσα χρόνια, πριν τις κρίσεις. Όχι από αγγελία, αλλά σε πολλή καλή προσφορά. Ο 12 πρώτος καθόσον f/5 άρα 2x5=10~12. Πλέον έχω κλείσει από προσοφθαλμια. Ίσως ασχοληθώ ξανά αν βγει νέα εστιακή αλλά οι υποχρεώσεις άλλαξαν και δύσκολα να πάρω κάτι ξανά. Αγαπημένος στόχος πόλης - Σελήνη. 125 μεγέθυνση σε 0.74 μοίρες πεδίο. Χωράει ολόκληρη σε μεγάλη μεγέθυνση με αρκετό φόντο γύρω γύρω και θέαση με μια ματιά. Τώρα δε μπορώ να το περιγράψω αλλά νιώθω ότι είναι σαν να πήρα εισιτήριο διάρκειας για διαστημοπλοιο για πτήση γύρω από τη Σελήνη σε υψόμετρο περιπου 3.000 km. Δε μετανιώνω, μια φορά περνάμε από αυτόν τον κόσμο. Όσα περισσότερα δεις τόσο καλύτερα. Υ.Γ. Ξεφύγαμε λίγο από το αρχικό θέμα 😅 1
vagkaf Δημοσιεύτηκε Μάιος 27, 2025 Δημοσιεύτηκε Μάιος 27, 2025 (επεξεργάστηκε) On 20/5/2025 at 2:00 ΜΜ, τσιαγκας προδρομος said: Μακάρι να αναπτύξουν την σειρά αυτήν , αν και δεν νομίζω ,αν ήταν θα το είχαν κάνει Ίδη, πιθανών ο περιορισμός σε μόνο 2 φακούς είναι απλά μια τακτική του τμήματος πωλήσεων . Υπέβαλλα εκ νέου ερώτημα σε Bresser και ES, γιατί υπήρχε μια ελπίδα, αλλά τελικά αποδείχτηκε φρούδα. Κρίμα, γιατί στα ξένα φόρουμ έκαναν λόγο ότι είναι στα σκαριά τρία ακόμη, ένα κοντά στα 20mm, ένα στα 8.5mm και ένα γύρω στα 5mm μετα απο επικοινωνία με τον Scott W. Roberts. Αυτά κάνουν οι δασμοί - πτώση παγκόσμιας ευημερίας και παρακμή. Το επεξεργάστηκε Μάιος 27, 2025 ο vagkaf
τσιαγκας προδρομος Δημοσιεύτηκε Μάιος 27, 2025 Δημοσιεύτηκε Μάιος 27, 2025 (επεξεργάστηκε) 3 hours ago, vagkaf said: Υπέβαλλα εκ νέου ερώτημα σε Bresser και ES, γιατί υπήρχε μια ελπίδα, αλλά τελικά αποδείχτηκε φρούδα. Κρίμα, γιατί στα ξένα φόρουμ έκαναν λόγο ότι είναι στα σκαριά τρία ακόμη, ένα κοντά στα 20mm, ένα στα 8.5mm και ένα γύρω στα 5mm μετα απο επικοινωνία με τον Scott W. Roberts. Αυτά κάνουν οι δασμοί - πτώση παγκόσμιας ευημερίας και παρακμή. Θα ήταν μια πολύ καλή ανάπτυξη των εστιακων μεγεθών αυτές οι επιλογές ~5 , ~9 , ~ 20 και θα κάλυπταν πλήρως τα 12 και 17 αλλά ποιος ξέρει ίσως στο μέλλον , Όμως , ακόμη και να επανέλθει η προσγείωση των οικονομικών πολιτικών καταστάσεων σε φυσιολογικά επίπεδα οι σειρές 82° και 100° θα είναι είναι εκεί , το κόστος της σειράς 92° θα είναι αρκετά υψηλό αν κρίνουμε από τα δύο υπάρχοντα προσοφθάλμια σπρώχνοντας τους λίγους δυστυχώς καταναλωτές ( δεν είναι ποδόσφαιρο ή F1 να έχει πληθώρα funs & καταναλωτες το χόμπι ) στις ήδη υπάρχουσες πολύ καλές σειρές όπου όπως και να έχει ρεαλιστικά ούτε οι 82° είναι λίγες ή με κακή απόδοση και οικονομικά αλλά και οι 100° υπέρ δελεαστικές και ποιοτικές σε απόδοση για τους μερακλήδες του χόμπι ...... Προσωπικά πιστεύω πως η απάντηση με τους δασμούς δεν με πείθει , ίσως ήταν μια δικαιολογία στο ερώτημα , υπήρξαν πολλά και καλά χρόνια χωρίς οικονομικούς πολέμους και υπερδασμους είχαν το χρόνο να τα αναπτύξουν αλλά δεν .. έχουν στήσει της σειρές τους έτσι (ηθελημένα ή όχι ) ώστε να μην ωθεί και πολύ τον καταναλωτή στο πολυ καλό μεν αλλά ακριβό 92° δεν τους βγήκε . Βλέπεις το να αντιγράφει κανείς και να ακολουθεί την υπάρχουσα πολύ ποιοτική televue έχει και κάποια κακα .... Ίσως αν σταματούσαν μια από τις 2 σειρές η επικρατούσα 92° να ήταν μονόδρομος σε συνδιασμό με την improving αίσθηση που δείχνει οπτικά άμεσο πεδίο με την πρώτη ματιά Το επεξεργάστηκε Μάιος 27, 2025 ο τσιαγκας προδρομος Καθαρούς ουρανούς
vagkaf Δημοσιεύτηκε Μάιος 27, 2025 Δημοσιεύτηκε Μάιος 27, 2025 (επεξεργάστηκε) 3 hours ago, τσιαγκας προδρομος said: Θα ήταν μια πολύ καλή ανάπτυξη των εστιακων μεγεθών αυτές οι επιλογές ~5 , ~9 , ~ 20 και θα κάλυπταν πλήρως τα 12 και 17 αλλά ποιος ξέρει ίσως στο μέλλον , Όμως , ακόμη και να επανέλθει η προσγείωση των οικονομικών πολιτικών καταστάσεων σε φυσιολογικά επίπεδα οι σειρές 82° και 100° θα είναι είναι εκεί , το κόστος της σειράς 92° θα είναι αρκετά υψηλό αν κρίνουμε από τα δύο υπάρχοντα προσοφθάλμια σπρώχνοντας τους λίγους δυστυχώς καταναλωτές ( δεν είναι ποδόσφαιρο ή F1 να έχει πληθώρα funs & καταναλωτες το χόμπι ) στις ήδη υπάρχουσες πολύ καλές σειρές όπου όπως και να έχει ρεαλιστικά ούτε οι 82° είναι λίγες ή με κακή απόδοση και οικονομικά αλλά και οι 100° υπέρ δελεαστικές και ποιοτικές σε απόδοση για τους μερακλήδες του χόμπι ...... Προσωπικά πιστεύω πως η απάντηση με τους δασμούς δεν με πείθει , ίσως ήταν μια δικαιολογία στο ερώτημα , υπήρξαν πολλά και καλά χρόνια χωρίς οικονομικούς πολέμους και υπερδασμους είχαν το χρόνο να τα αναπτύξουν αλλά δεν .. έχουν στήσει της σειρές τους έτσι (ηθελημένα ή όχι ) ώστε να μην ωθεί και πολύ τον καταναλωτή στο πολυ καλό μεν αλλά ακριβό 92° δεν τους βγήκε . Βλέπεις το να αντιγράφει κανείς και να ακολουθεί την υπάρχουσα πολύ ποιοτική televue έχει και κάποια κακα .... Ίσως αν σταματούσαν μια από τις 2 σειρές η επικρατούσα 92° να ήταν μονόδρομος σε συνδιασμό με την improving αίσθηση που δείχνει οπτικά άμεσο πεδίο με την πρώτη ματιά Να πούμε οτι ειδικά η σειρά ES 92° δεν αποτελεί σε καμία περίπτωση αντιγραφή των TeleVue. Πρόκειται για μια ξεχωριστή προσέγγιση και καινοτομία αποκλειστικά της ES. Και δεν είναι μόνο αυτά, έχουν πχ και το 25mm 100°, το 9mm 120° και το 30mm 100° 3" εντελώς δικής τους σχεδίασης και μοναδικά στο είδος τους. Το βασικό πλεονέκτημα των 92° είναι το πολύ μεγάλο eye relief, που τα καθιστά ιδιαίτερα άνετα για χρήση ακόμη και με γυαλιά. Σε αντίθεση με άλλα ευρυγώνια προσοφθάλμια η παρατήρηση με τα ES 92° είναι ξεκούραστη για το μάτι και δε χρειάζεται να στρίβεις το κεφάλι. Η κατασκευή τους είναι στιβαρότατη, μπορεί να είναι βαριά και ογκώδη, αλλά αυτό αντικατοπτρίζει και την ποιότητα υλικών και σχεδίασης. Ειλικρινά κορυφαία αίσθηση ποιότητας. Δεν είναι ακριβά για αυτα που προσφέρουν και πωλούνταν κατά περιόδους στα 420 ευρω.. Το πρόβλημα πιστεύω είναι ότι σε εκείνο το επίπεδο τιμής, πολλοί διστάζουν να τα τολμήσουν και προτιμούν να πάνε στα σίγουρα premium TeleVue. Αν η σειρά αποκτήσει και τα άλλα εστιακά μήκη (π.χ. ~5mm, ~9mm, ~20mm), θα μπορέσει να σταθεί πιο ολοκληρωμένα. Το 20mm αν το φτιάξουν ποτέ πιστεύω θα ζυγίζει άνετα 1,5 κιλό και θα θυμίζει μικρό διοπτρικό... Το επεξεργάστηκε Μάιος 27, 2025 ο vagkaf 1
τσιαγκας προδρομος Δημοσιεύτηκε Μάιος 27, 2025 Δημοσιεύτηκε Μάιος 27, 2025 (επεξεργάστηκε) 1 hour ago, vagkaf said: Να πούμε οτι ειδικά η σειρά ES 92° δεν αποτελεί σε καμία περίπτωση αντιγραφή των TeleVue. Πρόκειται για μια ξεχωριστή προσέγγιση και καινοτομία αποκλειστικά της ES. Και δεν είναι μόνο αυτά, έχουν πχ και το 25mm 100°, το 9mm 120° και το 30mm 100° 3" εντελώς δικής τους σχεδίασης και μοναδικά στο είδος τους. Το βασικό πλεονέκτημα των 92° είναι το πολύ μεγάλο eye relief, που τα καθιστά ιδιαίτερα άνετα για χρήση ακόμη και με γυαλιά. Σε αντίθεση με άλλα ευρυγώνια προσοφθάλμια η παρατήρηση με τα ES 92° είναι ξεκούραστη για το μάτι και δε χρειάζεται να στρίβεις το κεφάλι. Η κατασκευή τους είναι στιβαρότατη, μπορεί να είναι βαριά και ογκώδη, αλλά αυτό αντικατοπτρίζει και την ποιότητα υλικών και σχεδίασης. Ειλικρινά κορυφαία αίσθηση ποιότητας. Δεν είναι ακριβά για αυτα που προσφέρουν και πωλούνταν κατά περιόδους στα 420 ευρω.. Το πρόβλημα πιστεύω είναι ότι σε εκείνο το επίπεδο τιμής, πολλοί διστάζουν να τα τολμήσουν και προτιμούν να πάνε στα σίγουρα premium TeleVue. Αν η σειρά αποκτήσει και τα άλλα εστιακά μήκη (π.χ. ~5mm, ~9mm, ~20mm), θα μπορέσει να σταθεί πιο ολοκληρωμένα. Το 20mm αν το φτιάξουν ποτέ πιστεύω θα ζυγίζει άνετα 1,5 κιλό και θα θυμίζει μικρό διοπτρικό... Δεν διαφωνώ καθόλου σε οτι λες συμφωνώ και επαυξάνω . Στις αντιγραφές αναφερωμουν στην σειρά 82° και 100° και ξέρουμε όλοι που αντιστοιχούν . Επί αυτού όμως λόγο αυτών των δυο σειρών (και όχι μόνο ) που ακολούθησε η es πατώντας πάνω σε σειρές άλλης γνωστής εταιρίας δεν αφήνει χώρο να ανθίσει ενδιάμεσα η ξεχωριστή σειρά 92° που κατασκεύασε ES πρότυπα , παρότι πολύ καλή σειρά η στάση σε μεμονωμένα μόνο δύο μεγέθη εδώ και αρκετά χρόνια δείχνει ότι δεν θέλουν να την αναπτύξουν άλλο , είτε γιατί δεν πουλάει τόσο όσο θα έπρεπε (λόγο τον άλλος δύο σειρών 82 &100 ) Είτε γιατί δεν θέλουν να περιοριστούν πωλήσεις από την σειρά 100° ; Δεν ξέρω, απλά θέλω να πω πως αν ήταν να την αναπτύξουν θα το είχαν κάνει Ίδη εδώ και πολύ καιρό , κατι τους κρατάει και αυτό το κάτι το ξέρουν αυτοί . Αυτό σαν συμπέρασμα 🤔 Το επεξεργάστηκε Μάιος 27, 2025 ο τσιαγκας προδρομος 1 Καθαρούς ουρανούς
alepohori Δημοσιεύτηκε Ιούνιος 3, 2025 Συγγραφέας Δημοσιεύτηκε Ιούνιος 3, 2025 (επεξεργάστηκε) Ευχαριστώ για τις απαντήσεις σας. Τελικά αποφάσισα να πάρω τον ES 24/68. Αλλά με έχετε βάλει και σε πολλές και αμαρτωλές σκέψεις για τον 17/92. Με μόνη προϋπόθεση να πουλήσω τον TV Radian 18/60 και τον Celestron Ultima 35. Αλλά τον δίνεις τον Radian;;; 12.5mag γαλαξία έχω δει με αυτόν και το νευτώνειο 8" f6. Σε ένα Abell στον Λέοντα, πάνω απο τον Denebola. Ωραίες εποχές.. Το επεξεργάστηκε Ιούνιος 3, 2025 ο alepohori 3 Δημήτρης Καπετανάκης CGCG108-138: Mag 15.5v, να τ'αφήσω; Πολλά τα mag Άρη! Το flickr μου
vagkaf Δημοσιεύτηκε Ιούνιος 4, 2025 Δημοσιεύτηκε Ιούνιος 4, 2025 6 hours ago, alepohori said: Ευχαριστώ για τις απαντήσεις σας. Τελικά αποφάσισα να πάρω τον ES 24/68. Αλλά με έχετε βάλει και σε πολλές και αμαρτωλές σκέψεις για τον 17/92. Με μόνη προϋπόθεση να πουλήσω τον TV Radian 18/60 και τον Celestron Ultima 35. Αλλά τον δίνεις τον Radian;;; 12.5mag γαλαξία έχω δει με αυτόν και το νευτώνειο 8" f6. Σε ένα Abell στον Λέοντα, πάνω απο τον Denebola. Ωραίες εποχές.. Απλά να έχεις υπόψιν σου ότι ο 17/92 είναι 2ιντσος και σαν μικρή οβίδα (1,1 κιλό περίπου). Η ποιότητα κατασκευής όμως είναι άριστη. 1
τσιαγκας προδρομος Δημοσιεύτηκε Ιούνιος 4, 2025 Δημοσιεύτηκε Ιούνιος 4, 2025 (επεξεργάστηκε) Καλημέρα , Δεδομένου ότι θέλεις να μείνεις σε προσοφθάλμια 1,25" η επιλογή του es 24mm 68° είναι πολύ Καλή και θα σου κάλυψη άνετα το μεγάλο κενό μεταξύ του 18 & 35 που έχεις , ενδεχόμενος να σε καλύψει από μόνος του και σαν ερευνητικό κατά κάποιο τρόπο μιας και είναι πολύ κοντά στο tfov του Ultima 35mm που έχεις χωρίς όμως να τον ξεπερνάει, (αυτό θα το δεις στην πράξη συγκρίνοντας και εναλλάσσοντας τα δύο προσοφθάλμια στο ίδιο αντικείμενο ) Με βάση των field stop των φακών Ο 24/68 σου δίνει tfov 0,78° και 85Χ O Ultima 35 σου δίνει tfov 0,82° και 58Χ Αυτό σημαίνει ότι ο 35 Ultima με ελάχιστα μεγαλύτερο κομμάτι ουρανού θα έχει μέσα στο πλάνο λίγο μικρότερο το αντικείμενο . Λόγο της φύσης του stc αναγκαστικά έχεις μικρά πεδία θέασης, αν σκεφτείς στο μέλον να επενδύσεις σε 2" προσοφθάλμιο και 2" διαγώνιο τότε θα ανοίξει ο ουρανός στο τηλεσκόπιο αυτό πχ 35mm panoptic 2" ή es 34/68 2" μετά μισά λεφτά ή es 40/68" ή ακόμη ποιο μεγάλο πεδίο με αρκετά € σε Es 20-25/100° .... Παρακάτω παραθέτω μια φωτό κολάζ με 4 προσοφθάλμια για μια ιδέα πως θα φαίνεται περίπου και τι από το 8" stc και μια φωτό με es 25mm 100° 2" στο Μ44 ανοιχτό σμήνος της φάτνης . ΥΓ) αν αποφασίσεις να αποχωρίστεις radian 18 & Ultima 35 τότε αξίζει μια μικρή στροφή σε 2" εκτός και αν αυτές τις ανάγκες των μεγαλύτερων πεδίων τις καλύπτεις με το dobson 8" f6 οπότε και δεν έχει και τόσο νόημα η στροφή 2" στο stc Το επεξεργάστηκε Ιούνιος 4, 2025 ο τσιαγκας προδρομος Καθαρούς ουρανούς
vagkaf Δημοσιεύτηκε Ιούνιος 4, 2025 Δημοσιεύτηκε Ιούνιος 4, 2025 (επεξεργάστηκε) Απλά στα SCT με τα 2ιντσα υπάρχει άλλο θέμα. Παραθέτω την απάντηση του πλανηταριου όταν ήμουν ανάμεσα σε sct η dob όταν αγόρασα το dob μου. Εγώ ήθελα να χρησιμοποιώ και 2ιντσα για μεγάλα πεδία και ρώτησα για την αλλαγή του visual back ώστε να βάζω 2ιντσα. Πρέπει να γίνει μετρηση της εξόδου του τηλεσκοπίου και συγκριση με το Field stop του προσοφθαλμίου καθε φορα. Πολλά 2ιντσα μπορεί να κάνουν (κυρίως από κάποια εστιακή και κάτω) Για παράδειγμα ο Ethos 8mm προσαρμοζεται με βαρελάκι και για 1.25 αλλά και για 2ιντσο εστιαστη. Στον ES 9mm 100 από την άλλη έχει μόνο 2ιντσο βαρελάκι το σωμα του, όμως με το Field stop του θα δούλευε σε sct αν αλλαζε το visual back. Τώρα για τον 17mm θέλει ψάξιμο γιατί είναι μεγαλύτερης εστιακής. Ίσως είναι οριακά. Δε ξέρω ας με διορθώσει κάποιος αν κάνω λάθος. Το επεξεργάστηκε Ιούνιος 4, 2025 ο vagkaf 1
vagkaf Δημοσιεύτηκε Ιούνιος 4, 2025 Δημοσιεύτηκε Ιούνιος 4, 2025 Παραθέτω και μια πιο καλογραμμένη απάντηση από Τεχνητή Νοημοσύνη Ας δούμε αναλυτικά τι συμβαίνει: 🔧 Το θέμα με τα SCT και τα 2" προσοφθάλμια Τα SCT έχουν περιορισμό στο μέγιστο ωφέλιμο πεδίο λόγω του εσωτερικού διαμετρήματος του baffle tube, δηλαδή του σωλήνα μέσα στον οποίο περνά το φως πριν φτάσει στον προσοφθάλμιο. Αυτό λειτουργεί σαν περιοριστικό διάφραγμα και ουσιαστικά καθορίζει πόσο μεγάλο field stop μπορεί να "δει" το τηλεσκόπιο χωρίς να εμφανιστεί vignetting (σκίαση στις άκρες του πεδίου). --- 💡 Τι σημαίνει αυτό πρακτικά; Όταν θες να χρησιμοποιήσεις 2" προσοφθάλμια, ειδικά με μεγάλο field stop (όπως σε χαμηλές εστιακές, π.χ. 30-40mm), πρέπει να προσέξεις: 1. Το baffle tube σε τυπικά SCT 8" έχει περίπου 27mm εσωτερική διάμετρο. 2. Αν το field stop του προσοφθαλμίου ξεπερνά αυτό το νούμερο, τότε θα έχεις vignetting. 3. Αν αλλάξεις το visual back και βάλεις 2" διαγώνιο, δίνεις χώρο για να μπει το προσοφθάλμιο, αλλά δεν αλλάζει το "λαιμό" του τηλεσκοπίου. Ο περιορισμός παραμένει. --- 📌 Παραδείγματα από αυτά που ανέφερες: Ethos 8mm: Παρόλο που έχει δυνατότητα και για 2", το field stop του είναι μικρό, οπότε λειτουργεί άνετα ακόμα και σε 1.25" και δεν θα έχεις θέμα vignetting. Explore Scientific 9mm 100°: Έχει μόνο 2" βαρελάκι, αλλά λόγω μικρής εστιακής, το field stop του είναι μέσα στα όρια του baffle tube, άρα δουλεύει καλά σε SCT. ES 17mm ή Ethos 17mm: Εκεί αρχίζει το "οριακά". Έχουν μεγάλο field stop (~22–23mm ή και περισσότερο) και ενδέχεται να αρχίσεις να βλέπεις σκιάσεις ή πτώση φωτεινότητας στην περιφέρεια. --- ✅ Τι να κάνεις πριν αγοράσεις προσοφθάλμιο για SCT: 1. Μάθε τη διάμετρο του baffle tube του τηλεσκοπίου σου (π.χ. ~27mm για SCT 8"). 2. Δες το field stop του προσοφθαλμίου που σκέφτεσαι να αγοράσεις. 3. Αν το field stop > baffle tube, τότε θα έχεις vignetting. Πόσο έντονο θα είναι εξαρτάται από τη διαφορά. 4. Εάν θέλεις μέγιστο πραγματικό πεδίο, το ιδανικό είναι προσοφθάλμια γύρω στα 30–32mm με field stop ~46mm μόνο σε 2" full-light path όπως σε Newtonian ή EdgeHD/RC. --- 🔚 Συμπέρασμα Δεν φτάνει απλώς να βάλεις 2" visual back και διαγώνιο σε ένα SCT – το σύστημα είναι ακόμα περιορισμένο από το αρχικό του design. Πρέπει να ταιριάξεις τον σωστό προσοφθάλμιο για να πάρεις τα μέγιστα χωρίς vignetting. Ένα καλό εργαλείο για αυτό είναι να υπολογίσεις το πραγματικό πεδίο βάσει του field stop και να το συγκρίνεις με τις φυσικές δυνατότητες του οπτικού σου σωλήνα. 2
τσιαγκας προδρομος Δημοσιεύτηκε Ιούνιος 4, 2025 Δημοσιεύτηκε Ιούνιος 4, 2025 36 minutes ago, vagkaf said: Απλά στα SCT με τα 2ιντσα υπάρχει άλλο θέμα. Παραθέτω την απάντηση του πλανηταριου όταν ήμουν ανάμεσα σε sct η dob όταν αγόρασα το dob μου. Εγώ ήθελα να χρησιμοποιώ και 2ιντσα για μεγάλα πεδία και ρώτησα για την αλλαγή του visual back ώστε να βάζω 2ιντσα. Πρέπει να γίνει μετρηση της εξόδου του τηλεσκοπίου και συγκριση με το Field stop του προσοφθαλμίου καθε φορα. Πολλά 2ιντσα μπορεί να κάνουν (κυρίως από κάποια εστιακή και κάτω) Για παράδειγμα ο Ethos 8mm προσαρμοζεται με βαρελάκι και για 1.25 αλλά και για 2ιντσο εστιαστη. Στον ES 9mm 100 από την άλλη έχει μόνο 2ιντσο βαρελάκι το σωμα του, όμως με το Field stop του θα δούλευε σε sct αν αλλαζε το visual back. Τώρα για τον 17mm θέλει ψάξιμο γιατί είναι μεγαλύτερης εστιακής. Ίσως είναι οριακά. Δε ξέρω ας με διορθώσει κάποιος αν κάνω λάθος. Δεν γνώριζα αυτήν την λεπτομέρεια καθώς δεν έχω άμεση εμπειρία από stc , Ερώτηση : Αυτό συμβαίνει όταν το stc έχει στάνταρ εστιαστή 1,25” ; Αν έχει από κατασκευής εστιαστη 2'; Καθαρούς ουρανούς
vagkaf Δημοσιεύτηκε Ιούνιος 4, 2025 Δημοσιεύτηκε Ιούνιος 4, 2025 (επεξεργάστηκε) 10 minutes ago, τσιαγκας προδρομος said: Δεν γνώριζα αυτήν την λεπτομέρεια καθώς δεν έχω άμεση εμπειρία από stc , Ερώτηση : Αυτό συμβαίνει όταν το stc έχει στάνταρ εστιαστή 1,25” ; Αν έχει από κατασκευής εστιαστη 2'; Αν έχει από κατασκευής (π.χ. C14) βάζεις κανονικά και TermiNagler αν θες (31mm 2") Το επεξεργάστηκε Ιούνιος 4, 2025 ο vagkaf
τσιαγκας προδρομος Δημοσιεύτηκε Ιούνιος 4, 2025 Δημοσιεύτηκε Ιούνιος 4, 2025 (επεξεργάστηκε) 58 minutes ago, vagkaf said: Αν έχει από κατασκευής (π.χ. C14) βάζεις κανονικά και TermiNagler αν θες (31mm 2") Οπότε θα πρέπει να ξέρεις από πριν τι διάμετρο έχει ο σωλήνας μέσα στο τηλεσκόπιο πριν το visual bask σωστά; Λογικά ακόμη και στα C8 δεν νομίζω να είναι μόνο 29mm που είναι το μέγιστο για 1,25" απλά θα πρέπει να το μετρήσει κανείς και να ζυγίσει πρακτικά αν τον συμφέρει να πάει σε 2" προσοφθάλμια ή όχι πχ . Ένα televue panoptic 35m έχει field stop 35,7mm αν η εσωτερική διάμετρο του σωλήνα πριν του visual back είναι 33-34mm δεν είναι και απαγορευτική η μετάβαση σε 2" , σίγουρα όχι 100% αξιοποιήσιμη αλλά σημαντικά βελτιωμένη σε σχέση με το 1,25" Το επεξεργάστηκε Ιούνιος 4, 2025 ο τσιαγκας προδρομος 2 Καθαρούς ουρανούς
τσιαγκας προδρομος Δημοσιεύτηκε Ιούνιος 4, 2025 Δημοσιεύτηκε Ιούνιος 4, 2025 Το έχουμε κάνει το θέμα του Δημήτρη λάστιχο 😁😁 . sorry Δημήτρη , αλλά πιστεύω πως από κάθε συζήτηση βγαίνει κέρδος 1 Καθαρούς ουρανούς
Ανταρης Δημοσιεύτηκε Ιούνιος 4, 2025 Δημοσιεύτηκε Ιούνιος 4, 2025 Λοιπόν το τσεκαρα με ΑΙ στο 6" η διάμετρος του baffle tube είναι 27mm .Στο 8" είναι 37mm .Στο 9,25 είναι 45-46 και στα 11"&14" είναι 54 μιλάμε για celestron .Επειδή έχω το 9,25 και θέλω να πάω σε 2 ιντσών διαγώνιο κτλ με βάλατε στη μπριζα και καλά κάνατε όπως λέει παραπάνω και ο Πρόδρομος υπάρχει κέρδος από μια κουβέντα 😁😎 1
vagkaf Δημοσιεύτηκε Ιούνιος 4, 2025 Δημοσιεύτηκε Ιούνιος 4, 2025 (επεξεργάστηκε) 24 minutes ago, Ανταρης said: Λοιπόν το τσεκαρα με ΑΙ στο 6" η διάμετρος του baffle tube είναι 27mm .Στο 8" είναι 37mm .Στο 9,25 είναι 45-46 και στα 11"&14" είναι 54 μιλάμε για celestron .Επειδή έχω το 9,25 και θέλω να πάω σε 2 ιντσών διαγώνιο κτλ με βάλατε στη μπριζα και καλά κάνατε όπως λέει παραπάνω και ο Πρόδρομος υπάρχει κέρδος από μια κουβέντα 😁😎 Καλύτερα μην εμπιστευτείς ΑΙ για τόσο λεπτό ζήτημα. Και εμένα πάνω μου έβγαλε για το 8αρι ότι είναι 27mm. Κάνει (ακόμη) ειδικα στις ελευθερες εκδοσεις λάθη Πρέπει να βρεθεί πιο αξιόπιστη πηγή. Μετά τα προσοφθάλμια είναι ευκολότερο να βρεθούν βάσει field stop και να γίνει η σύγκριση αν μπορουν να δουλέψουν σωστά. 16 hours ago, alepohori said: Ευχαριστώ για τις απαντήσεις σας. Τελικά αποφάσισα να πάρω τον ES 24/68. Αλλά με έχετε βάλει και σε πολλές και αμαρτωλές σκέψεις για τον 17/92. Με μόνη προϋπόθεση να πουλήσω τον TV Radian 18/60 και τον Celestron Ultima 35. Αλλά τον δίνεις τον Radian;;; 12.5mag γαλαξία έχω δει με αυτόν και το νευτώνειο 8" f6. Σε ένα Abell στον Λέοντα, πάνω απο τον Denebola. Ωραίες εποχές.. Με τα 92° (το 12mm πιστεύω σιγουρα κολλαει χωρις vignetting) στο C8 θα έχεις: 12/92: 169x σε 0.54° πεδίο 17/92: 120x σε 0.77° πεδίο Σαφώς και λόγω του f/10 όπου 2x10=20 το 17αρι είναι καλύτερη αρχή για ευρεία γκάμα αντικειμένων. Θα σας πω ακριβώς αύριο τα field stops με μεζούρα που θα έχω πρόσβαση. Το επεξεργάστηκε Ιούνιος 4, 2025 ο vagkaf 1
vagkaf Δημοσιεύτηκε Ιούνιος 4, 2025 Δημοσιεύτηκε Ιούνιος 4, 2025 (επεξεργάστηκε) 51 minutes ago, Ανταρης said: Λοιπόν το τσεκαρα με ΑΙ στο 6" η διάμετρος του baffle tube είναι 27mm .Στο 8" είναι 37mm .Στο 9,25 είναι 45-46 και στα 11"&14" είναι 54 μιλάμε για celestron .Επειδή έχω το 9,25 και θέλω να πάω σε 2 ιντσών διαγώνιο κτλ με βάλατε στη μπριζα και καλά κάνατε όπως λέει παραπάνω και ο Πρόδρομος υπάρχει κέρδος από μια κουβέντα 😁😎 Με το C9.25 το 12mm 92° φαίνεται να δουλεύει. https://www.cloudynights.com/topic/806924-an-easy-92-degrees-12mm-es92-first-look/ Το επεξεργάστηκε Ιούνιος 4, 2025 ο vagkaf 1
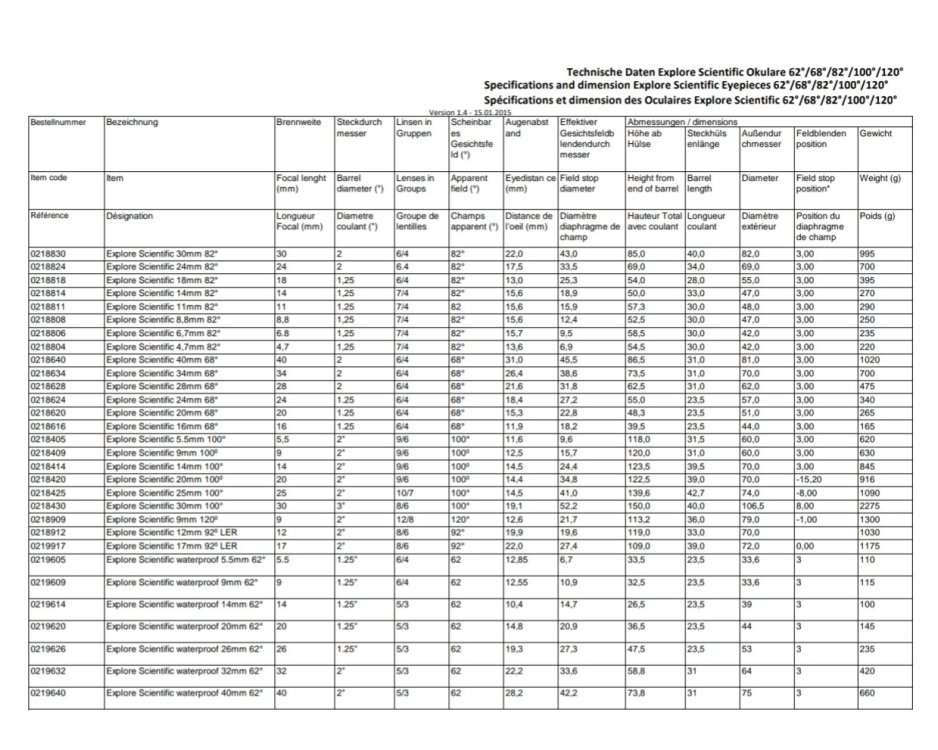
τσιαγκας προδρομος Δημοσιεύτηκε Ιούνιος 4, 2025 Δημοσιεύτηκε Ιούνιος 4, 2025 (επεξεργάστηκε) 39 minutes ago, vagkaf said: Θα σας πω ακριβώς αύριο τα field stops με μεζούρα που θα έχω πρόσβαση. Ελπίζω να είναι αξιόπιστο αυτος ο πίνακας 33mm field srop τo 12 και 39mm το 17 Το επεξεργάστηκε Ιούνιος 4, 2025 ο τσιαγκας προδρομος 1 1 Καθαρούς ουρανούς
vagkaf Δημοσιεύτηκε Ιούνιος 4, 2025 Δημοσιεύτηκε Ιούνιος 4, 2025 (επεξεργάστηκε) Βρήκα ό,τι πιο αξιόπιστο για baffle stop και γενικά για το θέμα μας, από τη μαμά εταιρία https://www.celestron.com/blogs/knowledgebase/i-want-to-use-2-in-eyepieces-with-my-sct-and-or-mak-will-there-be-vignetting-from-the-ota-itself?srsltid=AfmBOoqJmwtiYzLMNABdb1EMYHRxTf6ShpCYCG514XLHcznciiQkeit1 Το επεξεργάστηκε Ιούνιος 4, 2025 ο vagkaf 2
τσιαγκας προδρομος Δημοσιεύτηκε Ιούνιος 4, 2025 Δημοσιεύτηκε Ιούνιος 4, 2025 Σχετικά με το buffel tube https://www.cloudynights.com/topic/482272-sct-baffle-tube-inside-diameters/ Το AI σε ψαχτηρι που του έβαλα να κάνει λέει ότι τα απλά C 8" έχουν 27mm bufflentube ενω τα C8" edge έχουν πάνω από 34 , επίσης αναφέρει πως ακόμη και στο 27mm σωλήνα άμα μπει visual buck διαγώνιο 2" οπτικά δεν θα έχει αισθητό και αντιληπτό βινιεταριαμα όμως στην φωτογραφία θα υπάρχει πρόβλημα , αυτό με κάθε επιφύλαξη ως προς την έρευνα του ΑΙ 1 Καθαρούς ουρανούς
Προτεινόμενες αναρτήσεις
Δημιουργήστε έναν λογαριασμό ή συνδεθείτε για να σχολιάσετε
Πρέπει να είσαι μέλος για να αφήσεις ένα σχόλιο
Δημιουργία λογαριασμού
Εγγραφείτε για έναν νέο λογαριασμό στην κοινότητά μας. Είναι εύκολο!.
Εγγραφή νέου λογαριασμούΣυνδεθείτε
Έχετε ήδη λογαριασμό? Συνδεθείτε εδώ.
Συνδεθείτε τώρα